





Preview text:
SỞ GD – ĐT QUẢNG NINH
KIỂM TRA HỌC KÌ 1
TRƯỜNG THPT CHUYÊN HẠ LONG NĂM HỌC 2024 - 2025 --------------------
MÔN: Hóa học – Lớp 11
(Đề thi có 06 trang)
Thời gian làm bài: 45 phút
(không kể thời gian phát đề)
Họ và tên:...................................................................Lớp:…….. Số báo danh: ...........
PHẦN I. Câu trắc nghiệm nhiều phương án lựa chọn. Thí sinh trả lời từ câu 1 đến câu 18. Mỗi câu hỏi thí
sinh chỉ chọn một phương án.
Câu 1: [Thầy Nguyễn Du] Khi nhiệt kế thủy ngân vỡ, rắc chất bột nào sau đây lên thủy ngân rơi vãi sẽ chuyển
hóa chúng thành hợp chất bền, ít độc hại? A. Than đá. B. Đá vôi. C. Muối ăn. D. Sulfur
Câu 2: [Thầy Nguyễn Du] Để tạo độ xốp cho một số loại bánh, có thể dùng muối nào sau đây làm bột nở? A. (NH4)2SO4. B. NH4HCO3. C. CaCO3. D. NH4NO2.
Câu 3: [Thầy Nguyễn Du] Cặp hợp chất nào sau đây là hợp chất hữu cơ ? A. CO2, CaCO3 B. CH3Cl, C6H5Br C. NaHCO3, NaCN D. CO, CaC2.
Câu 4: [Thầy Nguyễn Du] Hình ảnh sơ đồ thí nghiệm dưới đây dùng để tách và tinh chế hợp chất hữu cơ theo phương pháp nào? A. Chưng cất. B. Chiết. C. Kết tinh. D. Sắc kí cột.
Câu 5: [Thầy Nguyễn Du] Cặp chất nào sau đây là đồng đẳng của nhau?
A. CH3OH, CH3OCH3.
B. CH3OCH3, CH3CHO.
C. HCHO, CH3CHO.
D. CH3CH2OH, C3H5(OH)3.
Câu 6: [Thầy Nguyễn Du] Mưa acid là một thảm họa thiên nhiên toàn cầu, ảnh hưởng đến sự sống của các
sinh vật. Mưa acid là hiện tượng mưa có pH A. < 5,6. B. =7 C. 6 – 7. D. > 8.
Câu 7. [Thầy Nguyễn Du] Trong những cơn mưa dông kèm sấm sét, nitrogen kết hợp trực tiếp với oxygen tạo thành sản phẩm là A. NO. B. N2O. C. NH3. D. NO2.
Câu 8: [Thầy Nguyễn Du] Cho cân bằng hoá học: H2 (g) + I2 (g) ⇌ 2HI (g); ΔrHo298 > 0. Cân bằng không bị chuyển dịch khi
A. tăng nhiệt độ của hệ.
B. giảm nồng độ HI.
C. tăng nồng độ H2.
D. giảm áp suất chung của hệ.
Câu 9: [Thầy Nguyễn Du] Hiện tượng phú dưỡng là một biểu hiện của môi trường ao, hồ bị ô nhiễm do dư
thừa các chất dinh dưỡng, Sự due thừa dinh dưỡng chủ yếu do hàm lượng các ion nào sau đây vượt quá mức cho phép? A. Sodium, potassium. B. Calcium, magnesium. C. Nitrate, phosphate. D. Chloride, sulfate.
Câu 10: [Thầy Nguyễn Du] Phân tử ammonia có dạng hình học nào sau đây? A. Chóp tam giác. B. Chữ T. C. Chóp tứ giác. D. Tam giác đều.
Câu 11: [Thầy Nguyễn Du] Có bao nhiêu hợp chất hữu cơ trong các chất đây có mạch carbon phân nhánh? (1) (2) (3) (4) (5) (6) (7) (8) A. 3. B. 4. C. 5. D. 6.
Câu 12: [Thầy Nguyễn Du] Cho hình vẽ và các mệnh đề sau:
(1) Thí nghiệm trên chứng tỏ NH3 tan nhiều trong nước.
(2) Thí nghiệm trên chứng tỏ NH3 có tính base.
(3) Nước phun vào bình do NH3 tan mạnh trong nước làm tăng áp suất trong bình.
(4) Nước ở trong bình chuyển từ không màu sang màu xanh. Số mệnh đề đúng là A. 1. B. 2. C. 3. D. 4.
Câu 13: [Thầy Nguyễn Du] Trong dung dịch nitric acid (bỏ qua sự phân li của H2O) có những phần tử nào? A. H+, NO - - 3 . B. H+, NO3 , H2O. C. H+, NO - - 3 , HNO3.
D. H+, NO3 , HNO3, H2O.
Câu 14: [Thầy Nguyễn Du] Cho phổ hồng ngoại (IR) của chất hữu cơ như hình dưới tương ứng chất nào sau đây : A. HCOOH. B. CH3OH. C. CH3COCH3. D. HCHO.
Câu 15: [Thầy Nguyễn Du] Khi nung nóng hỗn hợp bột gồm 6,4 gam sulfur và 5,6 gam iron trong ống
nghiệm kín, không chứa không khí, sau khi phản ứng hoàn toàn thu được rắn Y. Thành phần của rắn Y là A. Fe. B. Fe và FeS. C. FeS. D. S và FeS.
Câu 16: [Thầy Nguyễn Du] Chuẩn độ dung dịch NaOH chưa biết chính xác nồng độ (biết nồng độ trong
khoảng gần với 0,1 M) bằng dung dịch chuẩn HCl 0,1 M với chỉ thị phenolphthalein.
Tên của các dụng cụ thí nghiệm trong phương pháp chuẩn độ acid – base ở các vị trí (1), (2), (3) và (4) tương
ứng trong hình sau đây lần lượt là
A. Bộ giá đỡ burette, pipette, khóa burette và bình tam giác.
B. Bộ giá đỡ burette, burette , khóa burette và bình tam giác.
C. Bộ giá đỡ burette, ống hút nhỏ giọt, khóa burette và bình tam giác.
D. Khóa burette, burette, bộ giá đỡ burette và bình tam giác.
Câu 17: [Thầy Nguyễn Du] Cho sơ đồ chuyển hóa nitrogen trong khí quyển thành phân đạm: N ⎯⎯ +O ⎯ 2 → NO ⎯⎯ +O ⎯ 2 → NO ⎯⎯ + 2 O ⎯ +H2 ⎯ O→ HNO → - NO 2 2 3 3
Số phản ứng thuộc loại oxi hóa – khử trong sơ đồ là A. 3. B. 1. C. 4. D. 2.
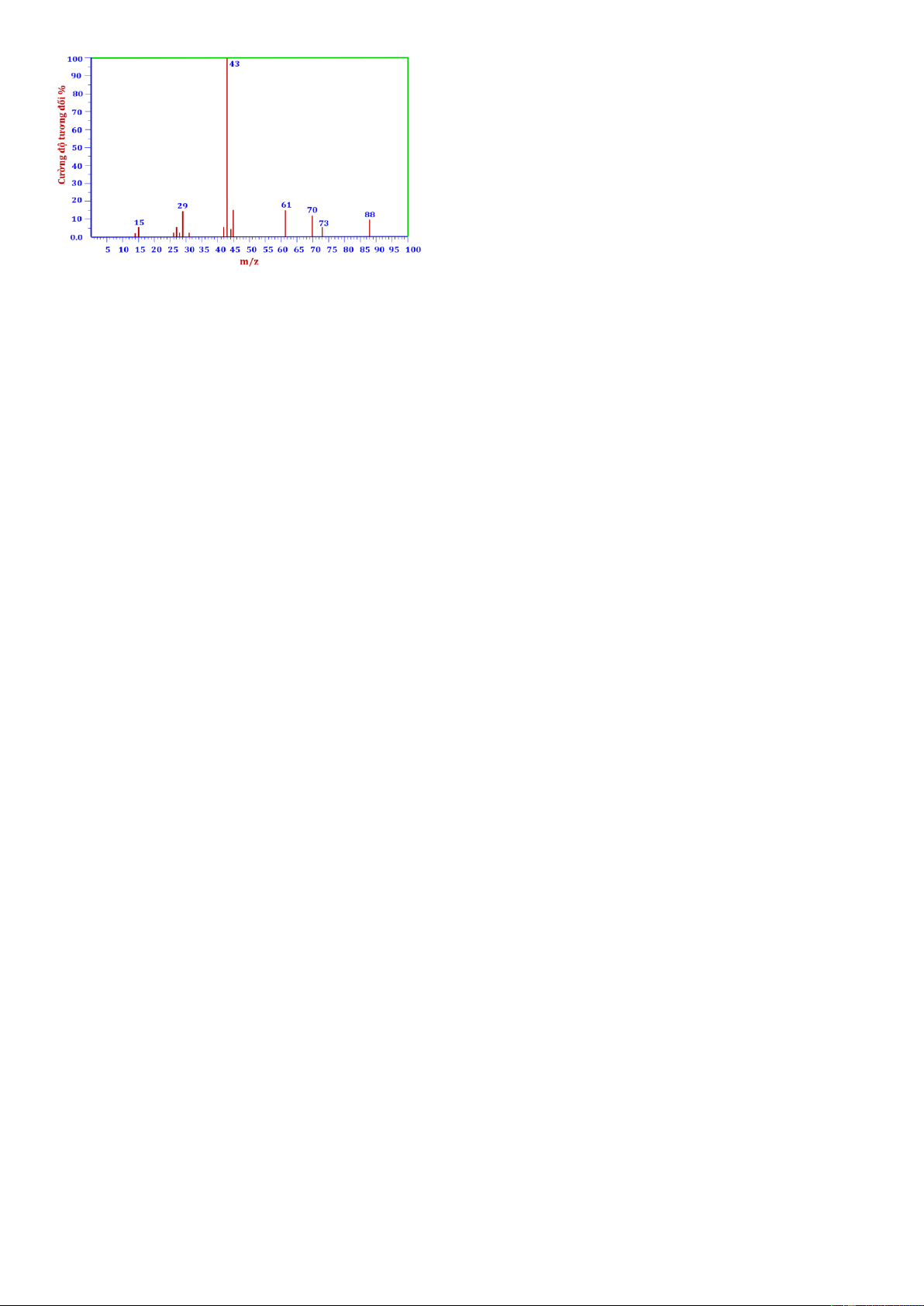
Câu 18: [Thầy Nguyễn Du] Hợp chất hữu cơ X chứa C, H và O. Phân tích X thu được phần trăm khối lượng
của C và O lần lượt là 54,54%; 36,37%. Phổ khối lượng của X như sau:
Phát biểu nào sau đây không đúng về X?
A. Phân tử khối của X là 88.
B. Tỉ lệ nguyên tử C : H : O = 1 : 2 : 1.
C. Công thức phân tử của X là C4H8O2.
D. Phần trăm khối lượng của oxygen trong X là 63,6%.
PHẦN II. Câu trắc nghiệm đúng sai. Thí sinh trả lời từ câu 1 đến câu 4. Trong mỗi ý a), b), c), d) ở mỗi
câu, thí sinh chọn đúng hoặc sai.
Câu 1. [Thầy Nguyễn Du] Xét các hệ cân bằng sau trong một bình kín:
CO(g) + H2O(g) ⇌ CO2(g) + H2(g) ΔrHo298 = - 41 kJ
a) Phản ứng trên là phản ứng thu nhiệt.
b) Tăng nhiệt độ cân bằng chuyển dịch theo chiều nghịch.
c) Thêm khí H2 vào hệ cân bằng chuyển dịch theo chiều nghịch.
d) Tăng áp suất chung bằng cách nén cho thể tích của hệ giảm xuống cân bằng chuyển dịch theo chiều thuận.
Câu 2. [Thầy Nguyễn Du] Hãy cho biết các phát biểu sau là đúng hay sai?
a) Ammonia lỏng được dùng làm chất làm lạnh trong thiết bị lạnh.
b) Khi cho quỳ tím ẩm vào lọ đựng khí NH3, quỳ tím chuyển thành màu đỏ.
c) Để làm khô khí NH3 có lẫn hơi nước, có thể dẫn khí NH3 đi qua bình đựng dung dịch H2SO4 đặc.
d) Nitrogen lỏng được dùng để bảo quản máu và các mẫu vật sinh học.
Câu 3. [Thầy Nguyễn Du] Sucrose là loại đường được tạo thành từ một glucose và fructose liên kết với nhau
bằng liên kết 1,2-glucoside. Sucrose là loại đường được lấy từ củ cải đường hoặc mía đường. Trái cây và rau
quả cũng chứa sucrose tự nhiên. Kết quả phân tích sucrose cho thấy phần trăm khối lượng của nguyên tố
carbon là 42,10%, hydrogen là 6,43% còn lại là oxygen. Phân tử khối của sucrose được xác định thông qua
phổ khối lượng với peak ion phân tử có giá trị m/z lớn nhất là 342. Phát biểu nào sau đây đúng hay sai?
a) Công thức phân tử của sucrose là C12H22O11
b) Tỉ lệ số nguyên tử H và O trong sucrose là 2 : 1.
c) Công thức đơn giản nhất của sucrose là CH3O.
d) Phần trăm khối lượng của oxygen là 54,46%.
Câu 4: [Thầy Nguyễn Du] Khí SO2 do các nhà máy thải ra là nguyên nhân chính trong việc gây ô nhiễm môi
trường. Theo quy chuẩn kĩ thuật quốc gia về chất lượng không khí xung quanh (QCVN 05:2013/ BTNMT)
thì nếu lượng SO2 vượt quá 350 µg/m3 không khí đo trong 1 giờ ở thành phố thì coi như không khí bị ô nhiễm
a) Số oxi hóa của sulfur trong phân tử SO2 là +6.
b) SO2 và NO2 là những nguyên nhân chính gây ra hiện tượng mưa acid.
c) Sulfur dioxide vừa có tính khử và vừa có tính oxi hoá.
d) Người ta lấy 50 lít không khí trong 1 giờ ở một thành phố và phân tích thấy có 0,012 mg SO2 , cuối cùng
kết luận không khí ở đó bị ô nhiễm.
PHẦN III. Câu trắc nghiệm yêu cầu trả lời ngắn. Thí sinh trả lời từ câu 1 đến câu 6.
Câu 1: [Thầy Nguyễn Du] Cho các chất dưới đây: HClO4, HClO, HF, HNO3, H2S, H2SO3, NaOH, NaCl,
CuSO4, CH3COOH. Số chất thuộc loại chất điện li mạnh là?
Câu 2: [Thầy Nguyễn Du] Cẩm tú là loài hoa được trồng nhiều nhất tại Sa Pa hay Đà Lạt. Màu của loại hoa
này có thể thay đổi tùy thuộc vào pH của thổ nhưỡng nên có thể điều chỉnh màu hoa thông qua việc điều chỉnh độ pH của đất trồng pH đất trồng < 7 = 7 > 7 Hoa sẽ có màu Lam Trắng sữa Hồng (1) (2) (3)
Khi trồng loài hoa trên, nếu ta bón thêm 1 ít vôi sống CaO trên muôi trường đất trung tính và chỉ tưới nước
thì khi thu hoạch hoa sẽ có màu gì? (1 hay 2 hay 3)
Câu 3: [Thầy Nguyễn Du] Cho các chất: Cu, CuO, BaSO4, Mg, KOH, C, Na2CO3. Có bao nhiêu chất tác
dụng với dung dịch H2SO4 đặc, nóng ?
Câu 4: [Thầy Nguyễn Du] Khi đốt cháy các hợp chất hữu cơ có chứa sulfur thì thu được sản phẩm cháy có
chứa khí sulfur dioxide. Lượng khí SO2 này có thể được xác định bằng phản ứng với hydrogen peroxide: H2O2 + SO2 → H2SO4.
Sau đó, H2SO4 được chuẩn độ với dung dịch NaOH:
H2SO4 + 2NaOH → Na2SO4 + H2O.
Nếu đốt cháy hoàn toàn 1,302 gam mẫu than, sau đó dẫn sản phẩm cháy qua dung dịch hydrogen peroxide.
Kết thúc phản ứng, lấy dung dịch thu được đem chuẩn độ, kết quả thấy vừa hết 28,44 ml dung dịch NaOH
0,1M. % khối lượng sulfur có trong mẫu than là x%. Xác định x. (Kết quả làm tròn đến hàng phần mười)
Câu 5: [Thầy Nguyễn Du] Cho các hợp chất: CH3COOH (C2H4O2), HOCH2CH2CHO (C3H6O2) và
CH3CH2COOCH3 (C4H8O2), HOCH2CH2OH (C2H6O2), HCHO (CH2O) , HCOOCH3 (C2H4O2). Có bao nhiêu
chất có cùng công thức đơn giản nhất?
Câu 6: [Thầy Nguyễn Du] Geraniol là nguyên liệu chính để tổng hợp dầu dưỡng hoa hồng, cấu trúc của
Geraniol như hình bên dưới
Phần trăm khối lượng nguyên tố Oxygen có tronng Geraniol là x%. Xác định x (Kết quả làm tròn đến hàng phần mười)
PHẦN IV: Tự luận. Thí sinh trả lời từ câu 1 đến câu 6.
Câu 1: [Thầy Nguyễn Du] Ammonia (NH3) được điều chế bằng phản ứng: N2(g) + 3H2(g) ⇌ 2NH3(g)
Ở toC, nồng độ các chất ở trạng thái cân bằng là: [N2] = 0,45 M; [H2] = 0,14 M; [NH3] = 0,62 M.
Tính hằng số cân bằng KC của phản ứng trên tại toC.
Câu 2: [Thầy Nguyễn Du] Tính pH của dung dịch NaOH 0,001M.
Câu 3: [Thầy Nguyễn Du] Có 4 mẫu sau: dung dịch NaOH, dung dịch HCl, dung dịch H2SO4 và H2O được
kí hiệu bằng các chữ cái A, B, C và D (không theo trình tự trên). Kết quả của những thí nghiệm nhận biết
những mẫu này được ghi trong bảng sau: Thuốc thử Mẫu Quỳ tím Dung dịch BaCl2 A Đỏ Kết tủa trắng B Xanh Không kết tủa C Tím Không kết tủa D Đỏ Không kết tủa
Câu 4: [Thầy Nguyễn Du] Hai hợp chất A và B có cùng công thức thực nghiệm là CH2O. Phổ MS cho
thấy A và B có các tín hiệu sau: Chất A Chất B m/z
Cường độ tương đối (%) m/z
Cường độ tương đối (%) 29 19 31 100 31 100 59 50 60 38 90 16
Xác định công thức phân tử của A và B. Biết mảnh [M+] có giá trị m/z là lớn nhất.
Câu 5: [Thầy Nguyễn Du] Cho 11 gam hỗn hợp bột aluminium và bột iron tác dụng hoàn toàn với bột sulfur
trong điều kiện không có không khí, thì thấy lượng sulfur tham gia phản ứng là 12,8g. Tính khối lượng sắt có trong hỗn hợp đầu.
Câu 6: [Thầy Nguyễn Du] Đốt cháy hoàn toàn 18 gam hợp chất hữu cơ A cần vừa đủ 16,8 lít O2 (đktc). Hỗn
hợp sản phẩm cháy gồm CO2 và H2O theo tỉ lệ thể tích VCO2:VH2O= 3 : 2. Xác định công thức phân tử của A là (biếtdA/H2 = 36).