








Preview text:
SỞ GD&ĐT HÀ NỘI
ĐỀ THI THỬ TỐT NGHIỆP THPT NĂM 2020 LẦN 2 Trường THPT Kim Liên
Bài thi: KHOA HỌC TỰ NHIÊN
(Đề thi có 4 trang) MÔN: HÓA HỌC
Thời gian làm bài: 50 phút, không kể thời gian giao đề
Họ và tên thí sinh:..........................................................
Số báo danh:.................................................................... MÃ ĐỀ THI 002
Cho biết nguyên tử khối của các nguyên tố:
H = 1; C = 12; N = 14; O = 16; S = 32; CI = 35,5; Br = 80; He = 4; Na = 23; Mg = 24; Al = 27; K = 39; Ca =
40; Mn = 55; Fe = 56; Cu = 64; Zn = 65; Ag = 108; Ba = 137.
Câu 41. Thủy phân hoàn toàn tinh bột, thu được monosaccarit X. Lên men X (xúc tác enzim) thu được chất
hữu cơ Y và khí cacbonic. Hai chất X, Y lần lượt là A. fructozơ, etanol. B. glucozơ, etanol. C. glucozơ, sobitol.
D. saccarozơ, glucozơ.
Câu 42. Dung dịch của chất nào sau đây làm cho quì tím chuyển sang màu đỏ? A. Glyxin. B. Lysin. C. Alanin. D. Axit Glutamic.
Câu 43. Phát biểu nào sau đây không đúng?
A. Tripeptit Gly- Ala-Gly có phản ứng màu biure với Cu(OH)2.
B. Trong phân tử tripeptit mạch hở có ba liên kết peptit.
C. Protein đơn giản được tạo thành từ các gốc α-amino axit.
D. Tất cả các peptit đều có khả năng tham gia phản ứng thủy phân.
Câu 44. Trong các kim loại Na; Ca; K; Al; Fe, Cu và Zn có bao nhiêu kim loại tan tốt vào dung dich KOH là: A. 3. B. 4. C. 5. D. 6.
Câu 45. Nhiệt phân metan trong lò hồ quang điện ở 1500°C thu được hỗn hợp X gồm metan,axetilen và hiđro.
Tỉ khối của X so với H bằng 5. Dẫn 17,92 lít X (ở đktc) vào dung dịch AgNO 2
3/NH dư thu được m gam kết 3 tủa. Giá trị của m là A. 24. B. 36. C. 48. D. 60.
Câu 46. X là một kim loại nhẹ, màu trắng bạc, được ứng dụng rộng rãi trong đời sống. X là A. Fe. B. Ag. C. Cu. D. Al.
Câu 47. Polime nào được điều chế bằng phản ứng trùng ngưng?
A. Poli (metyl metacrylat). B. Polietilen.
C. Poli(hexametylen ađipamit).
D. Poli (vinyl clorua).
Câu 48. Cho 0,1 mol phenyl axetat tác dụng với 400 ml dung dịch NaOH 1M đun nóng, đến phản ứng hoàn
toàn thu được dung dịch X, cô cạn X thu được m gam chất rắn khan. Giá trị của m là A. 10,8. B. 29,6. C. 20,2. D. 27,8.
Câu 49. Cho phương trình hóa học: BaCl2 + Na2SO4 → BaSO + NaCl 4
. Phương trình hóa học nào sau đây có
cùng phương trình ion rút gọn với phương trình hóa học trên? A. Ba(HCO3) + H 2 2SO → BaSO 4 + 2CO 4 + 2H 2 2O. B. Ba(OH) + Na 2 2SO → BaSO 4 + 2NaOH. 4 C. BaCO + H 3 2SO → BaSO 4 + CO 4 2 + H2O. D. Ba(OH) + H 2 2SO → BaSO 4 4 + 2H2O.
Câu 50. Chất Z có phản ứng với dung dịch HCl, còn khi phản ứng với dung dịch nước vôi trong tạo ra chất kết tủa. Chất Z là A. Ba(NO3) . 2 B. AlCl3. C. NaHCO . 3 D. CaCO . 3
Câu 51. Chất nào sau đây là chất điện li yếu? A. C2H OH. 5 B. NaOH. C. HCl. D. H2O.
Câu 52. Xà phòng hóa hoàn toàn 0,1 mol tristearin (C17H COO) 35 C 3
3H ) bằng dung dịch NaOH dư, đun nóng, 5
thu được m gam glixerol. Giá trị của m là A. 13,8. B. 27,6. C. 4,6. D. 9,2.
Câu 53. Khi đốt than, khí nào sau đây làm cho ta khó thở, gây đau đầu, chóng mặt? A. N2. B. CO. C. O2.D. CO2.
Câu 54. Dung dịch Ala-Gly không phản ứng được với dung dịch nào sau đây? A. NaCl. B. KOH. C. HCl. D. H2SO .4
Câu 55. Hòa tan hoàn toàn 10 gam hỗn hợp gồm hai kim loại trong dung dịch HCl dư thoát ra 2,24 lít H 2
(đktc). Cô cạn dung dịch sau phản ứng thu được lượng muối khan là A. 17,10 gam. B. 1,71 gam. C. 3,42 gam. D. 34,20 gam.
Câu 56. Chất nào sau đây không có tính lưỡng tính? A. Na2CO . 3 B. Al(OH) . 3 C. NaHCO . 3 D. (NH4)2CO . 3
Câu 57. Metyl propionat có công thức cấu tạo là A. CH3COOCH . 3 B. HCOOC2H . 5 C. C2H5COOC2H . 5 D. C2H5COOCH .3
Câu 58. Hợp chất nào của canxi được dùng để đúc tượng, bó bột khi gãy xương?
A. Vôi sống (CaO). B. Thạch cao nung (CaSO4.H O). 2 C. Đá vôi (CaCO ). 3
D. Thạch cao sống (CaSO4.2H2O).
Câu 59. Cho m gam glucozơ tác dụng với H2 (xúc tác Ni, t°, hiệu suất 80%) thu được 36,4 gamsobitol. Giá trị của m là A. 45,0. B. 45,5. C. 36,0. D. 40,5.
Câu 60. Có thể phân biệt 3 dung dịch: KOH, HCl, H2SO4 (loãng) bằng một thuốc thử là A. Al. B. giấy quỳ tím. C. Zn. D. BaCO .3
Câu 61. Phát biểu nào sau đây đúng?
A. Cho Fe2O tác dụng với dung dịch HNO 3 thu được khí NO 3 .2
B. Hỗn hợp gồm Mg, Fe, Zn có thể tan hết trong HNO đặc nguội. 3
C. Hỗn hợp gồm Cu và Fe(NO3)2 có thể tan hết trong dung dịch H2SO4 loãng.
D. Hỗn hợp gồm Ag3PO và AgCl có thể tan hết trong dung dịch HNO 4 loãng. 3
Câu 62. Nhận xét nào sau đây sai?
A. Nguyên tắc điều chế kim loại là oxi hóa ion kim loại thành nguyên tử.
B. Những tính chất vật lí chung của kim loại chủ yếu do các electron tự do trong mạng tinh thể kim loại gây ra.
C. Tính chất hóa học chung của kim loại là tính khử.
D. Nguyên tử của hầu hết các nguyên tố kim loại đều có ít electron ở lớp ngoài cùng.
Câu 63. Cho m gam hỗn hợp X gồm ba este đều đơn chức tác dụng tối đa với 400 ml dung dịch NaOH 1,5M;
thu được hỗn hợp Y gồm hai ancol cùng dãy đồng đẳng và 54,6 gam hỗn hợp muối Z. Đốt cháy hoàn toàn y,
thu được 11,2 lít khí CO (đktc) và 12,6 gam H 2 O. Giá trị của m là 2 A. 44,8. B. 32,2. C. 46,4. D. 41,2.
Câu 64. Cho 7,2 gam etylamin vào dung dịch HNO loãng dư, sau khi kết thúc phản ứng thu được m gam 3 muối. Giá trị của m là A. 17,28. B. 12,88. C. 13,04. D. 17,12.
Câu 65. Cho 0,15 mol H2NC3H5(COOH)2 (axit glutamic) vào 175 ml dung dịch HCl 2M, thu được dung dịch
X. Cho 350 ml dung dịch NaOH 2M vào dung dịch X. Sau khi các phản ứng xảy ra hoàn toàn, cô cạn dung dịch
thu được m gam chất rắn khan. Giá trị gần nhất của m là A. 62 gam. B. 57 gam. C. 49 gam. D. 51 gam.
Câu 66. Tiến hành các thí nghiệm sau:
(a) Cho Mg vào dung dịch Fe2(SO4) dư. 2
(b) Sục khí Cl vào dung dịch CuSO 2 4 dư.
(c) Dẫn khí CO dư qua bột CuO nung nóng.
(d) Cho Ba vào dung dịch CuSO4 dư.
(e) Nung hỗn hợp Cu(OH) và (NH 2 4)2CO . 3
(g) Đốt FeS trong không khí. 2
Sau khi kết thúc các phản ứng, số thí nghiệm thu được kim loại là: A. 5. B. 3. C. 2. D. 4.
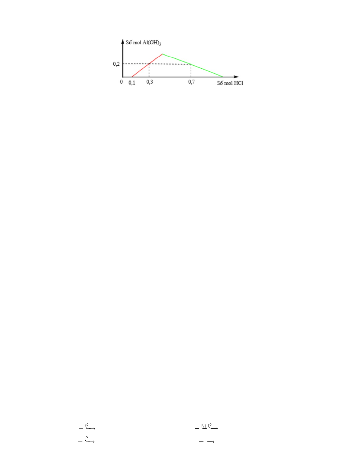
Câu 67. Khi nhỏ từ từ đến dư dung dịch HCl vào dung dịch hỗn hợp gồm x mol Ba(OH) và y mol 2
Ba[Al(OH)4]2 [hoặc Ba(AlO2) ], kết quả thí nghiệm được biểu diễn trên đồ thị sau: 2
Giá trị của x và y lần lượt là: A. 0,10 và 0,15. B. 0,10 và 0,30. C. 0,05 và 0,15. D. 0,05 và 0,30.
Câu 68. Cho V lít dung dịch NaOH 0,5M vào 200ml AlCl 1,5M thu được 15,6 gam kết tủa. Giá trị lớn nhất 3 của V là: A. 1,8. B. 1,2. C. 2. D. 2,4.
Câu 69. Hòa tan hoàn toàn 20 gam hỗn hợp X gồm Mg, Fe2O3 bằng dung dịch H2SO loãng dư thấy thoát ra V 4
lít H2 (đktc) và thu được dung dịch Y. Thêm từ từ NaOH đến dư vào dung dịch Y. Kết thúc thí nghiệm, lọc lấy
kết tủa đem nung nóng trong không khí đến khối lượng không đối thu được 28 gam chất rắn. V có giá trị A. 5,6. B. 33,6. C. 22,4. D. 11,2 .
Câu 70. Tiến hành thí nghiệm phản ứng của glucozơ với Cu(OH) theo các bước sau đây: 2
Bước 1: Cho vào ống nghiệm 5 giọt dung dịch CuSO4 5% và 1 ml dung dịch NaOH 10%.
Bước 2: Lắc nhẹ, gạn bỏ lớp dung dịch, giữ lấy kết tủa.
Bước 3: Thêm 2 ml dung dịch glucozơ 10% vào ống nghiệm, lắc nhẹ. Cho các nhận định sau: .
(a) Sau bước 1, trong ống nghiệm xuất hiện kết tủa màu xanh.
(b) Thí nghiệm trên chứng minh phân tử glucozơ có nhiều nhóm OH liền kề.
(c) Ở thí nghiệm trên, nếu thay glucozơ bằng saccarozơ thì thu được kết quả tương tự.
(d) Ở bước 3, kết tủa bị hòa tan, dung dịch chuyển sang màu tím. Số nhận định đúng là A. 4. B. 1. C. 2. D. 3.
Câu 71. Đốt cháy hoàn toàn 25,7 gam X gồm ba este (no, mạch hở) cần dùng 1,155 mol O , thu được 16,02 2
gam H O. Đun nóng 25,7 gam X với dung dịch NaOH vừa đủ, thu được hỗn hợ 2
p gồm hai muối của hai axit có
mạch không phân nhánh và 11,6 gam hỗn hợp hai ancol (gồm một ancol đơn chức và một ancol hai chức có
cùng số nguyên tử cacbon). Phần trăm khối lượng của este đơn chức trong hỗn hợp X là A. 2,89%. B. 4,19%. C. 3,42%. D. 7,47%.
Câu 72. Criolit (còn gọi là băng thạch) có công thức phân tử Na3AlF , được thêm vào Al 6 2O trong quá trình 3
điện phân Al2O nóng chảy để sản xuất nhôm. Crioli 3
t không có tác dụng nào sau đây?
A. Làm giảm nhiệt độ nóng chảy của Al2O .3
B. Làm tăng độ dẫn điện của Al2O3 nóng chảy.
C. Bảo vệ điện cực khỏi bị ăn mòn.
D. Tạo lớp ngăn cách để bảo vệ Al nóng chảy.
Câu 73. Cho các phát biểu sau:
(1) Mỡ lợn hoặc dầu dừa được dùng làm nguyên liệu để sản xuất xà phòng
(2) Phản ứng thủy phân hoàn toàn este trong dung dịch kiềm là phản ứng một chiều
(3) Lên men glucozơ thu được etanol và khí cacbonic.
(4) Muối mononatri của axit glutamic được sử dụng sản xuất mì chính.
(5) Các polime sử dụng làm chất dẻo đều được tổng hợp từ phản ứng trùng ngưng. Số phát biểu đúng là A. 1. B. 3. C. 4. D. 5.
Câu 74. Số đồng phân amin bậc 2 có công thức phân tử C4H N l 11 à A. 4. B. 5. C. 2. D. 3.
Câu 75. Chất hữu cơ X mạch hở có công thức phân tử C8H12O . Từ X thự 4
c hiện các phản ứng sau: (a) X + 2NaOH Y + Z + T (b) X + H2 E. (c) E + 2NaOH 2Y + T (d) Y + HCl NaCl + F Cho các phát biểu sau:
(1) F có đồng phân hình học.
(2) T hòa tan được Cu(OH) tạo thành dung dịch màu xanh lam. 2
(3) X là este no, 2 chức, mạch hở.
(4) Khối lượng mol của Y là 96 g/mol. Số phát biểu đúng là A. 2. B. 3. C. 4. D. 1.
Câu 76. Thủy phân hoàn toàn a mol triglixerit X trong dung dịch NaOH vừa đủ, thu được glixerol và m gam
hỗn hợp muối. Đốt cháy hoàn toàn a mol X thu được 1,375 mol CO và 1,275 mol H 2 O. Mặt khác, a mol X tác 2
dụng tối đa với 0,05 mol Br trong dung dịch. Giá trị của m là 2 A. 20,15. B. 23,35. C. 22,15. D. 20,60.
Câu 77. Điện phân 2 lít dung dịch chứa Fe2(SO4) 0,05M; CuSO 3 0,09M và FeSO 4 0,06M đến khi dung dịch 4
giảm 30,4 gam thì ngừng điện phân. Tách lấy hết dung dịch sau điện phân, sau đó cho dung dịch NaNO vào thì 3
thấy có khí NO (sản phẩm khử duy nhất) thoát ra và thu được dung dịch X có chứa 79,64 gam chất tan. Cho 4
gam Mg vào dung dịch X, thu được khí Y gồm hai khí NO và H , tỉ khối của Y đối với He bằng 6,625 và (1,5a 2
- 11,28) gam hỗn hợp kim loại. Giá trị của a là: A. 12,48 gam. B. 18,24 gam. C. 21,12 gam. D. 16,32 gam.
Câu 78. Đốt cháy hoàn toàn 0,02 mol hợp chất hữu cơ X (C, H, O, N) bằng 0,175 mol O (vừa đủ), rồi dẫn toàn 2
bộ sản phẩm cháy vào nước vôi trong dư, thấy có 14 gam kết tủa và khối lượng dung dịch giảm 4,78 gam; đồng
thời có 0,672 lít khí thoát ra (đktc). Cho 6,69 gam X tác dụng vừa đủ với 90 ml dung dịch NaOH 1M, thu được
dung dịch chứa m gam ba muối (gồm một muối của axit hữu cơ đơn chức và hai muối của hai amino axit có
phân tử khối hơn kém nhau 14 đvC). Giá trị của m là A. 8,70. B. 9.24. C. 9,78. D. 10,29.
Câu 79. Cho hỗn hợp X gồm 0,01 mol Al và a mol Fe vào dung dịch AgNO , đến khi phản ứng hoàn toàn thu 3
được m gam chất rắn Y và dung dịch Z chứa ba cation kim loại. Cho Z phản ứng với dung dịch NaOH dư trong
điều kiện không có không khí, thu được 1,97 gam kết tủa T. Nung T trong không khí đến khối lượng không đổi,
thu được 1,6 gam chất rắn chỉ chứa một chất duy nhất. Giá trị của m là: A. 6,48 gam. B. 9,72 gam. C. 3,24 gam. D. 8,64 gam
Câu 80. Hòa tan hết 27,04 gam hỗn hợp X gồm Mg(NO3) , Al 2
2O , Mg và Al vào dung dịch chứa NaNO 3 và 3
2,16 mol HCl. Sau khi kết thúc phản ứng thu được dung dịch Y chỉ chứa các muối và 6,272 lít hỗn hợp khí Z (ở đktc) gồm N O và H 2
. Tỉ khối của Z so với He bằng 5. Dung dịch Y tác dụng tối đa với dung dịch chứa 2,28 2
mol NaOH thu được kết tủa. Lấy kết tủa nung ngoài không khí tới khối lượng không đổi thu được 19,2 gam
rắn. Khối lượng của Al có trong hỗn hợp X gần nhất với giá trị nào sau đây? A. 6,45. B. 7,82. C. 6,34. D. 7,79.