Report tài liệu
Chia sẻ tài liệu
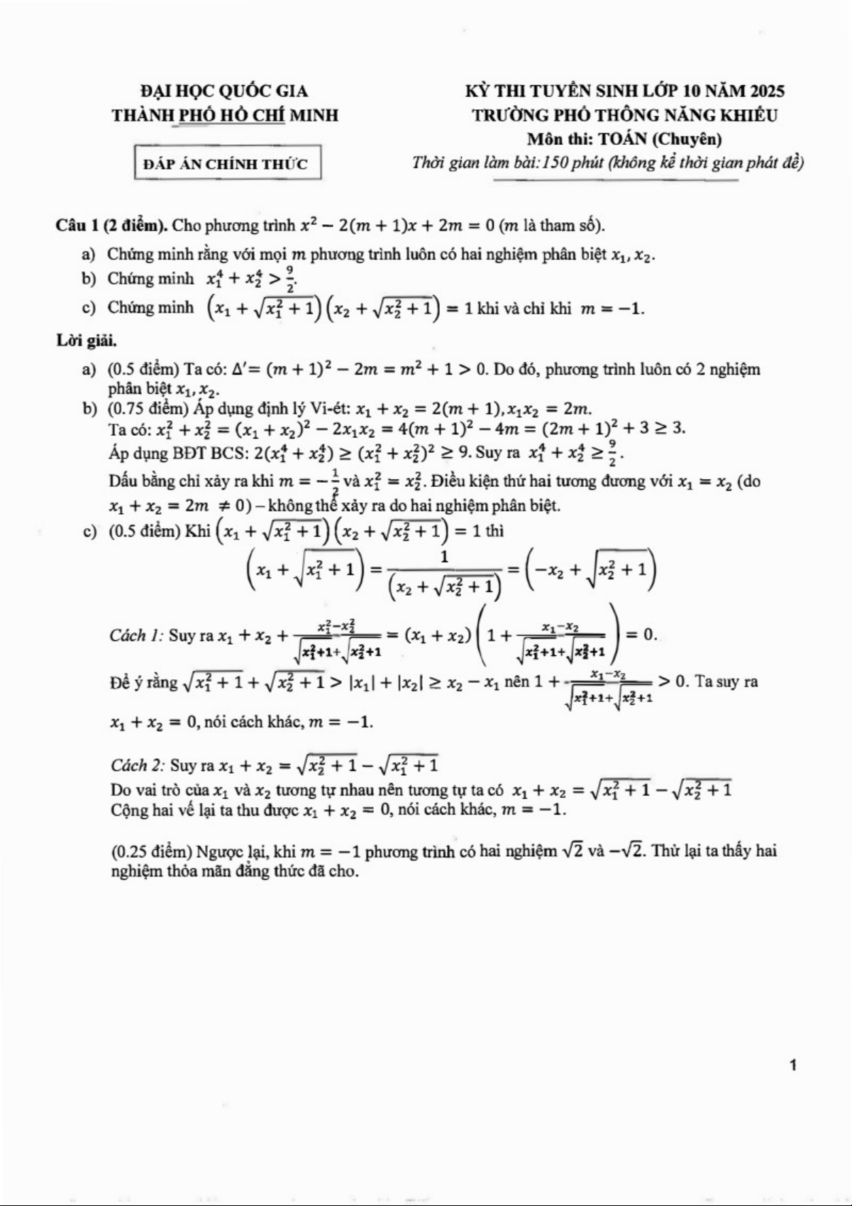
Đề tuyển sinh lớp 10 môn Toán (chuyên) năm 2025 trường PTNK – TP HCM
Giới thiệu đến quý thầy, cô giáo và các em học sinh đề chính thức kỳ thi tuyển sinh vào lớp 10 môn Toán (chuyên) năm 2025 trường Phổ thông Năng khiếu, Đại học Quốc gia thành phố Hồ Chí Minh. Kỳ thi được diễn ra vào ngày 25 tháng 05 năm 2025.
Chủ đề: Đề thi vào 10 môn Toán năm 2025-2026 267 tài liệu
Môn: Môn Toán 1.5 K tài liệu
Tác giả:





Tài liệu khác của Môn Toán
Preview text:
Document Outline
- de-tuyen-sinh-lop-10-mon-toan-chuyen-nam-2025-truong-ptnk-tp-hcm
- de-tuyen-sinh-lop-10-mon-toan-chuyen-nam-2025-truong-ptnk-tp-hcm
- 2025-toan-chuyen-dap-an_1600_pdf.gdrive.vip
Tài liệu liên quan:
-
Đề tuyển sinh lớp 10 THPT môn Toán năm 2024 – 2025 sở GD&ĐT Hà Nội
48 24 -
Đề tuyển sinh vào 10 môn Toán năm 2015 – 2016 sở GD&ĐT Đồng Tháp
123 62 -
Đề tuyển sinh vào 10 chuyên môn Toán cơ sở năm 2015 – 2016 sở GD&ĐT Đồng Tháp
132 66 -
Đề thi thử Toán vào lớp 10 lần 2 năm 2025 – 2026 trường THPT Gang Thép – Thái Nguyên
253 127 -
Đề KSCL vào lớp 10 môn Toán năm 2025 lần 2 phòng GD&ĐT Ninh Giang – Hải Dương
102 51