Report tài liệu
Chia sẻ tài liệu
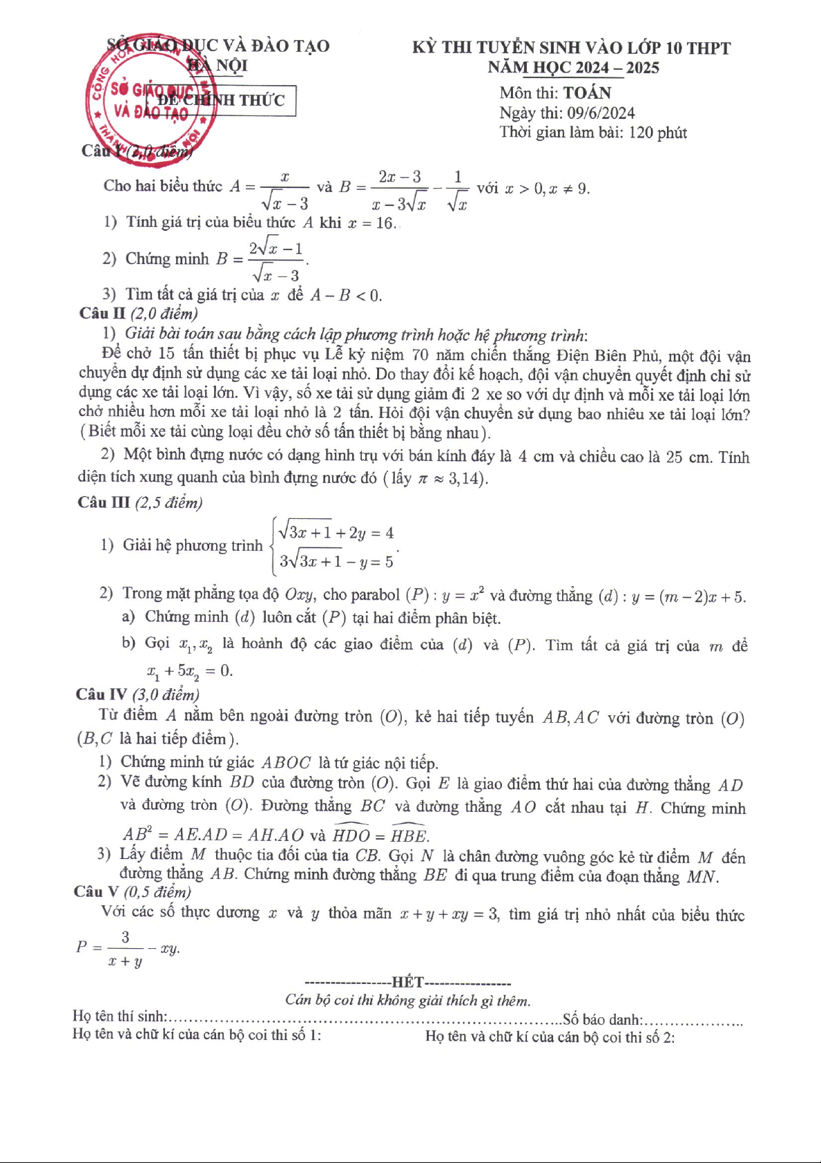
Đề tuyển sinh lớp 10 THPT môn Toán năm 2024 – 2025 sở GD&ĐT Hà Nội
Giới thiệu đến quý thầy, cô giáo và các em học sinh lớp 9 đề chính thức kỳ thi tuyển sinh vào lớp 10 THPT môn Toán năm học 2024 – 2025 sở Giáo dục và Đào tạo thành phố Hà Nội; kỳ thi được diễn ra vào sáng Chủ Nhật ngày 09 tháng 06 năm 2024.
Chủ đề: Đề thi vào 10 môn Toán năm 2025-2026 278 tài liệu
Môn: Môn Toán 1.6 K tài liệu
Tác giả:



Tài liệu khác của Môn Toán
Preview text:
Document Outline
- detoan_136202413
- dapantoan_136202413
Tài liệu liên quan:
-
Đề thi minh họa vào 10 THPT năm học 2025-2026 môn Toán
53 27 -
Đề thi chính thức kì thi tuyển sinh vào lớp 10 THPT năm học 2025-2026 môn Toán | Sở GD&ĐT Nghệ An
58 29 -
Đề tuyển sinh lớp 10 môn toán vòng 2 chuyên Đại học Vinh
47 24 -
Đề thi tuyển sinh và lớp 10 năm học 2025-2026 | môn Toán | Sở GD&ĐT tỉnh Quảng Nam
41 21 -
Đề thi tuyển sinh lớp 10 năm học 2025 - 2026 môn Toán của Sở GD&ĐT tỉnh Thái Nguyên
52 26