



















Preview text:
lOMoAR cPSD| 59455093
ĐẠI HỌC BÁCH KHOA HÀ NỘI
TRƯỜNG ĐIỆN - ĐIỆN TỬ
ĐỒ ÁN TỐT NGHIỆP
Tối ưu kế hoạch vận hành của lưới iện
Microgrid có sử dụng Hydrogen và giảm phát thải CO2 Chữ ký của GVHD
TRỊNH HỮU TUẤN VŨ Vu.tht191660@sis.hust.edu.vn
Ngành Kỹ thuật iện
Chuyên ngành Hệ thống iện
Giảng viên hướng dẫn: TS. Lê Thị Minh Châu Bộ môn: Hệ thống iện Trường:
Trường Điện – Điện Tử HÀ NỘI, 6/2024
NHIỆM VỤ ĐỒ ÁN TỐT NGHIỆP
Họ và tên sinh viên Trịnh Hữu Tuấn Vũ Khoa Điện lOMoAR cPSD| 59455093 Khóa K64 Ngành Kỹ thuật iện 1. Tên ề tài
Tối ưu kế hoạch vận hành của lưới iện Microgrid có sử dụng Hydrogen và giảm phát thải CO2
2. Dữ liệu ầu vào
Cấu hình nguồn của hệ thống, dữ liệu về ồ thị phụ tải và dữ liệu dự báo về công suất
phát của năng lượng mặt trời tại thành phố Hà Nội từ 0:00 12/06/2023 ến 23:00
18/06/2023, dữ liệu về các loại chi phí trong hệ thống.
3. Nội dung trình bày
- Xây dựng mô hình toán của bài toán tối ưu hóa vận hành cho lưới microgrid.
- Xây dựng các kịch bản mô phỏng.
- Lập trình bài toán dựa vào mô hình ã xây dựng bằng phần mềm GAMS.
4. Hình thức trình bày - Slide
5. Thời gian nhận ề tài
- Ngày 09 tháng 04 năm 2024
6. Thời gian hoàn thành ề tài
- Ngày 03 tháng 07 năm 2024
Hà Nội, ngày … tháng … năm 2024
CÁN BỘ HƯỚNG DẪN
LÃNH ĐẠO BỘ MÔN Lời cảm ơn
Em xin gửi lời cảm ơn chân thành và sâu sắc ến cô Lê Thị Minh Châu và cô
Nguyễn Hồng Nhung người ã không ngừng tận tâm hướng dẫn, chỉ bảo em trong suốt
quá trình thực hiện ồ án tốt nghiệp. Đặc biệt là cô Nguyễn Hồng Nhung ã luôn hướng
dẫn em nghiên cứu, học tập trong những năm qua. Những kiến thức, kinh nghiệm và sự
ộng viên từ cô là nguồn cảm hứng lớn lao giúp em vượt qua mọi khó khăn và hoàn thành
tốt nhiệm vụ của mình. Em cũng xin cảm ơn Ban giám hiệu và toàn thể các thầy, cô Đại
học Bách khoa Hà Nội nói chung, trường Điện – Điện tử nói riêng ã tạo iều kiện thuận
lợi và cung cấp môi trường học tập tốt nhất ể em có thể học tập và nghiên cứu hiệu quả.
Đặc biệt, em muốn gửi lời tri ân sâu sắc ến gia ình em. Gia ình ã luôn ở bên,
ộng viên, và ủng hộ em không ngừng nghỉ. Sự hy sinh và tình yêu thương của mẹ là
ộng lực to lớn giúp em vượt qua những thử thách trong học tập và cuộc sống. Em cũng lOMoAR cPSD| 59455093
không quên cảm ơn chị gái trong gia ình ã luôn chia sẻ và ồng hành cùng em trong mọi hoàn cảnh.
Cuối cùng, em xin gửi lời cảm ơn chân thành ến tất cả bạn bè thân yêu. Các bạn
ã luôn sát cánh bên em, chia sẻ niềm vui, nỗi buồn, và cùng nhau vượt qua những khó
khăn trong suốt quãng thời gian học tập. Sự hỗ trợ, ộng viên của các bạn ã góp phần
không nhỏ vào thành công của em ngày hôm nay.
Một lần nữa, em xin chân thành cảm ơn tất cả mọi người ã óng góp và hỗ trợ em
trong quá trình hoàn thành ồ án tốt nghiệp. Em mong rằng sự thành công của em hôm
nay sẽ là món quà nhỏ bé gửi ến những người ã luôn tin tưởng và yêu thương em.
Hà Nội, ngày 03 tháng 07 năm 2024 Sinh viên Trịnh Hữu Tuấn Vũ
Tóm tắt nội dung ồ án
Hiện nay, cùng với sự phát triển về kinh tế ở các vùng sâu, vùng xa, hải ảo ngoài
biển là nhu cầu phát triển về năng lượng. Việc lấy iện lưới từ lưới iện quốc gia phải ối
mặt với nhiều thách thức trong ó áng kể nhất ó là về chi phí lắp ặt lưới iện truyền tải
cao, khiến việc này không khả thi về mặt kinh tế. Có những giải pháp như vận hành các
nhà máy iện diesel ể cung cấp cho các phụ tải ã tồn tại nhưng giải pháp này khá tốn kém
và không bền vững; vận hành nhà máy iện diesel và iện mặt trời (PV) thì vẫn khá tốn
kém khi iện mặt trời chỉ có thể phát iện vào ban ngày và phụ thuộc hoàn toàn vào iều
kiện thời tiết. Hiện nay, hydro có thể ược coi như là nguồn năng lượng chính của tương
lai, ặc biệt hydro rất phù hợp với hệ thống lưới iện nhỏ kết hợp năng lượng tái tạo (RES).
Vì vậy, sử dụng kết hợp giữa nhà máy iện diesel, iện mặt trời và hydrogen có thể giúp
giảm năng lượng từ máy phát iện diesel, tận dụng tối a nguồn phát của iện mặt trời PV
và từ ó giảm chi phí năng lượng. Bài báo này ã tập trung vào việc tính toán tối ưu chi lOMoAR cPSD| 59455093
phí sản xuất iện có xét ến chi phí phát thải CO2 ược thực hiện trên phần mềm GAMS
và CPLEX. Các kết quả ược phân tích, ánh giá và cho thấy nghiên cứu có thể cung cấp
iện cho người tiêu dùng. Sinh viên thực hiện Ký và ghi rõ họ tên
MỤC LỤC CHƯƠNG 1. GIỚI THIỆU CHUNG
................................................................ 1 1.1
Đặt vấn ề................................................................................................ 1
1.2 Ứng dụng của năng lượng tái tạo và Hydrogen ở các vùng có iện lưới tách biệt 2
Năng lượng tái tạo ở Việt Nam ................................................... 2
Hệ thống Hydrogen .................................................................... 5
Hệ thống Hydrogen kết hợp với lưới iện ................................. 10 1.3
Tìm hiểu về lưới iện siêu nhỏ [7] ......................................................... 11
Sự cần thiết của lưới iện siêu nhỏ ........................................... 12
Các thành phần trong Microgrid cơ bản .................................... 13
Ưu iểm của lưới iện siêu nhỏ ................................................ 15
Khó khăn của mô hình lưới iện siêu nhỏ ................................. 16
Dự án lưới iện siêu nhỏ hiện có .............................................. 17 lOMoAR cPSD| 59455093
CHƯƠNG 2. BÀI TOÁN VẬN HÀNH TỐI ƯU HỆ THỐNG LƯỚI ĐIỆN SIÊU
NHỎ VÀ CÁC PHƯƠNG PHÁP THỰC HIỆN .................................. 20 2.1
Nghiên cứu chung .................................................................................. 20 2.2
Mô hình Stochastic programming .......................................................... 20 2.3
Một vài phương pháp giải mô hình Stochastic Programming ................. 21
Quy hoạch tuyến tính nguyên thực hỗn hợp (mixed integer linear
program-MILP) ......................................................................................... 21
Phương pháp Monte Carlo Simulation ...................................... 24
Phương pháp Heuristic ............................................................. 26
CHƯƠNG 3. XÂY DỰNG CHƯƠNG TRÌNH VẬN HÀNH TÍNH TOÁN TỐI
ƯU CHO LƯỚI ĐIỆN SIÊU NHỎ SỬ DỤNG HYDROGEN ...................... 27 3.1
Lý thuyết của mô hình tối ưu lưới iện siêu nhỏ .................................... 27 3.2
Xây dựng bài toán vận hành tối ưu cho MG ........................................... 27
3.3 Mô hình toán học ................................................................................... 29
Các kí hiệu trong bài toán ......................................................... 29
Hàm mục tiêu ........................................................................... 31
Các ràng buộc ........................................................................... 31
Quy mô bài toán ....................................................................... 33
CHƯƠNG 4. TÍNH TOÁN THỬ NGHIỆM .................................................. 35
4.1 Cấu hình lưới mô phỏng và dữ liệu ồ án ............................................... 35
Cấu hình hệ thống .................................................................... 35
Thông số hệ thống .................................................................... 35 4.2
Đánh giá kết quả .................................................................................... 38
Phân tích kết quả vận hành tối ưu của Microgrid ...................... 39
Các kịch bản vận hành: có/không có PV và Hydrogen .............. 63 lOMoAR cPSD| 59455093 DANH MỤC HÌNH VẼ
Hình 1.1 Sơ ồ khối hệ thống PV kết hợp với diesel ............................................ 4 Hình
1.2 Hoạt ộng cơ bản của hệ thống PV kết hợp diesel ................................. 4 Hình 1.3 Hệ
thống PV ộc lập ............................................................................. 5
Hình 1.4 Minh họa hệ thống Hydrogen ................................................................ 6
Hình 1.5 Hệ thống Hydrogen kết hợp với lưới iện ........................................... 11
Hình 1.6 Số lượng bài báo trên web khoa học (WoS) liên quan ến MG ........... 12
Hình 1.7 Minh họa lưới iện siêu nhỏ (MG) ...................................................... 13
Hình 1.8 Minh họa năng lượng tái tạo ............................................................... 16 Hình
1.9 Phân tích tổng chi phí sử dụng PV toàn cầu ........................................ 17
Hình 1.10 Biểu ồ tỷ lệ sản lượng iện năng từ nguồn năng lượng tái tạo.......... 19
Hình 2.1 Mô phỏng phương pháp Monte Carlo Simulation................................ 25
Hình 3.1 Cấu hình mô phỏng ............................................................................. 28
Hình 3.2 Đồ thị dự báo công suất iện mặt trời trong 1 ngày ............................. 29
Hình 3.3 Mô hình hóa bài toán tối ưu ................................................................ 29 Hình
3.4 Quy trình thực hiện bài toán ................................................................ 34 Hình 4.1 Tỷ
lệ phần trăm của các nguồn phát .................................................... 35
Hình 4.2 Đồ thị phụ tải 1 tuần của thành phố Hà Nội ......................................... 37
Hình 4.3 Đồ thị công suất dự báo iện mặt trời trong 1 tuần .............................. 37
Hình 4.4 Đồ thị so sánh công suất tải và PV trong 1 tuần .................................. 38
Hình 4.5 Chi phí vận hành hệ thống trong 1 tuần ............................................... 39
Hình 4.6 Biểu ồ tỉ lệ tham gia các nguồn từng giờ trong một t ......................... 60
Hình 4.7 Đồ thị cân bằng công suất ngày thứ hai mùa mưa sc2 ......................... 61 Hình
4.8 Đồ thị cân bằng công suất ngày thứ hai mùa mưa sc1 ......................... 62 Hình 4.9
Đồ thị cân bằng công suất ngày thứ ba mùa mưa sc2 .......................... 63
Hình 4.10 Công suất phụ tải ngày thứ 2 (mùa mưa) ........................................... 63
Hình 4.11 Công suất dự báo PV thứ 2 (mùa mưa).............................................. 64
Hình 4.12 Công suất dự báo hệ thống PV bị mây che lấp trong 1 giờ ................ 65
Hình 4.13 Trữ lượng H2 có trong bình chứa ...................................................... 66
Hình 4.14 Lượng H2 xả ra từ hệ thống Hydrogen .............................................. 66
Hình 4.15 Công suất PV cho tải (không có hệ thống Hydrogen) ........................ 67 Hình
4.16 Tổng chi phí vận hành hệ thống trong 1 ngày .................................... 68
Hình 4.17 So sánh chi phí vận hành của các trường hợp .................................... 69
DANH MỤC BẢNG BIỂU Bảng 1.1 Một số dự án hydrogen triển khai tại Việt Nam
.............................................................................. Error! Bookmark not defined.
Bảng 1.2 Ưu khuyết iểm của các thành phần trong MG ...................................... 14
Bảng 1.3 Những dự án lưới iện siêu nhỏ trên thế giới ......................................... 18 lOMoAR cPSD| 59455093
Bảng 4.1 Thông số ầu vào .................................................................................... 35
Bảng 4.2 Kết quả chạy tối ưu của hệ thống mô phỏng ........................................ 40
Bảng 4.3 Kết quả chạy tối ưu 1 ngày iển hình ..................................................... 70
Bảng 4.4 Công suất phát của hai máy diesel ........................................................ 74 lOMoAR cPSD| 59455093
DANH MỤC VIẾT TẮT EVN
Tập oàn iện lực Việt Nam PVN
Tập oàn dầu khí Việt Nam VPI Viện dầu khí Việt Nam NLTT Năng lượng tái tạo DC
Direct current – Dòng iện một chiều AC
Alternating current – Dòng iện xoay chiều PV
Photovoltaic – Hệ thống iện mặt trời EL
Electrolyser – Máy iện phân FC
Fuel cell – Pin nhiên liệu MG
Micro grid – Lưới iện nhỏ ESS
Energy Storage System – Hệ thống lưu trữ năng lượng bằng pin EMS
Energy Management System – Hệ thống quản lý năng lượng PCC
Point of Comon Coupling – Điểm ghép nối chung
SUC Stochartic Unit Commitment – Bài toán phân chia công suất cho các tổ máy có tính bất ịnh
IRENA Cơ quan năng lượng tái tạo quốc tế IEA
International Energy Agency – Cơ quan năng lượng quốc tế RES
Renewable Ennergy Sources – Nguồn năng lượng tái tạo LCOE
Levelized Cost of electricity – Chi phí iện năng trung bình MILP
Mixed integer linear program – Quy hoạch tuyến tính hỗn hợp LP
Liner Programming – Tuyến tính mở rộng MCS
Monter Carlo Simulation – Thuật toán Monter Carlo PSO
Particle Swarm Optimization- Thuật toán tối ưu tâp hợp RER
Renewable Energy Resources – Nguồn năng lượng tái tạo
DER Distributed Energy Resources – Nguồn năng lượng phân phối DR
Demand Response – Phản ứng theo nhu cầu DGR
Distributed Generation Resources – Tài nguyên iện phân tán
CHƯƠNG 1. GIỚI THIỆU CHUNG 1.1 Đặt vấn ề
Ngành iện là ngành hạ tầng quan trọng và phát triển iện lực là một bước tạo nền
tảng cho phát triển nhanh, bền vững ất nước, xây dựng nền kinh tế ộc lập tự chủ, nâng
cao ời sống nhân dân và ảm bảo an ninh, quốc phòng. Các khu vực xa xôi, biên giới hải
ảo thường không ược kết nối với lưới iện chính của quốc gia do nhiều yếu tố kinh tế và
kỹ thuật. Trước ây, cung cấp iện thường dựa hoàn toàn vào máy phát iện sử dụng nhiên
liệu hóa thạch như dầu diesel, một giải pháp tốn kém và không bền vững. Ngoài chi phí
cao, nhiều khu vực xa xôi trên thế giới phụ thuộc vào dầu diesel ể ảm bảo iện, sưởi ấm
và phục vụ giao thông. Do ó, nền kinh tế của những vùng sâu, vùng xa và hải ảo rất dễ
bị ảnh hưởng bởi biến ộng giá dầu và sự gián oạn trong nguồn cung. Ngoài ra, các khu
vực xa xôi này phải ối mặt với những thách thức môi trường như biến ổi khí hậu. Việc
phát thải khí CO2 ra môi trường ang là vấn ề nhức nhối trên toàn cầu cũng như tại các
nước trong ó có cả Việt Nam. Hậu quả của nguồn khí thải CO2 gây ra vô cùng xấu tới
con người và hệ sinh thái trên trái ất như: hiệu ứng nhà kính, băng tan, nước biển dâng,
biến ổi khí hậu, thiên tai bão lũ, … Các khu vực xa xôi này thường ược bảo vệ khỏi tác
ộng của sự tăng giá bằng các biện pháp trợ cấp từ chính phủ. Tại Việt Nam, ví dụ, giá
iện tại huyện ảo Trường Sa năm 2018 ã lên ến 72,552 ồng/kWh, nhưng dân cư chỉ phải
trả 1,635 ồng/kWh nhờ chính sách hỗ trợ của Nhà nước. Tình hình này ặt ra áp lực lớn
ối với Tổng công ty Điện lực Việt Nam (EVN) trong việc cân ối hiệu quả kinh tế [1].
Đối mặt với sự tăng giá dầu và ể bảo vệ tương lai thì cần những biện pháp lâu dài
nhằm giảm thiểu ô nhiễm môi trường, ảm bảo an ninh năng lượng. Một trong những biện
pháp khả thi nhất mà tất cả các quốc gia ã và ang thực hiện là tìm ra nguồn năng lượng
mới, các nguồn năng lượng mới này sẽ khắc phục ược tối a các tác hại của năng lượng
truyển thống. Chúng sạch hơn, dễ tìm kiếm hơn, và ặc biệt hơn chúng rất sẵn có thể kể
ến như: Năng lượng mặt trời (Solar energy), năng lượng gió (Wind energy), năng lượng
sinh khối (Biomass energy), … Và ở Việt Nam các nguồn năng lượng trên là nguồn năng
lượng tái tạo hiện nay ang và phát triển rất mạnh mẽ, và quy hoạch iện của ngành iện lực
quốc gia quy mô iện năng lượng tái tạo sẽ tạo ra 5000 – 10000 MW (năm 2030) và cũng
dự kiến ến năm 2030 hình thành 2 trung tâm công nghiệp, dịch vụ năng lượng, tái tạo
liên vùng bao gồm sản xuất, truyền tải và tiêu thụ iện; công nghiệp chế tạo thiết bị năng
lượng tái tạo, xây dựng, lắp ặt, dịch vụ liên quan, xây dựng hệ sinh thái công nghiệp năng
lượng tái tạo tại các khu vực có nhiều tiềm năng như Bắc Bộ, Nam Trung Bộ, Nam Bộ
khi có các iều kiện thuận lợi [2]. Công nghệ năng lượng tái tạo chưa bao giờ ược phát
triển mạnh mẽ hơn như bây giờ, giúp giải quyết hiệu quả những thách thức này. Khi chi
phí của năng lượng tái tạo giảm trên toàn cầu, các lựa chọn kinh tế, tài chính và sinh thái
dần dần chuyển từ sử dụng nhiên liệu hóa thạch sang năng lượng ịa phương và bền vững,
trở nên hấp dẫn hơn. Nhờ ó, ở nhiều vùng sâu, vùng xa, việc sử dụng năng lượng tái tạo
có thể giảm chi phí so với các nguồn truyền thống như dầu diesel, mang lại lợi ích kinh
tế to lớn cho chính phủ, các công ty iện nước và người dân trong khu vực.
1.2 Ứng dụng của năng lượng tái tạo và Hydrogen ở các vùng có iện lưới tách biệt
Năng lượng tái tạo ở Việt Nam
1.2.1.1. Tình trạng, tiềm năng năng lượng tái tạo Việt Nam
Đường bờ biển dài hơn 3260 km, tốc ộ gió trung bình 7m/s thuận lợi cho nguồn
năng lượng gió. Việt Nam là ất nước nằm tại vùng nhiệt ới cận xích ạo, các tỉnh Tây
Nguyên, Nam Bộ và Nam Trung Bộ có bức xạ mặt trời cao trung bình 1.378 – 1.534
Kwh /năm nên ó là nguồn năng lượng mặt trời rất phong phú ể khai thác. Bên cạnh lợi
thế về gió, bức xạ mặt trời thì với diện tích rừng lớn, chỉ riêng tại Cà Mau, lượng khai
thác và chế tác cho phép những chế phẩm từ gỗ ạt khoảng 225000 – 300000 tấn/năm
cũng là tiềm năng lớn ể phát triển iện sinh khối.
Theo quy hoạch của Ngành iện tại Việt Nam, nguồn iện năng lượng tái tạo ược ẩy
nhanh phát triển, tiếp tục gia tăng tỷ trọng cơ cấu nguồn iện và iện năng sản xuất cụ thể
có những mục tiêu ược ặt ra như sau:
- Đến năm 2030, công suất iện gió trên bờ ạt 21.880 MW (tổng công suất kỹ thuật
Việt Nam khoảng 221.000 MW). Phát huy tối a tiềm năng iện gió ngoài khơi
(khoảng 600.000 MW) ể sản xuất iện và năng lượng mới.
- Năng lượng gió ngoài khơi ạt khoảng 6000MW và ước tính công suất nguồn iện
gió ngoài khơi ể sản cuất năng lượng mới khoảng 15000MW (2035) và khoảng 240000 MW (2050).
- Nguồn năng lượng mặt trời cũng em lại một tiềm năng rất lớn cho ngành công
nghiệp iện nước ta, tiềm năng mang lại rất lớn vào khoảng 963000 MW (mặt ất
khoảng 837400MW, mặt nước khoảng 77400MW, mái nhà khoảng 48200 MW).
Đến năm 2030 dự kiến sẽ tăng công suất thêm 4100 MW, ịnh hướng ến năm
2050 sẽ ạt tổng công suất vào khoảng 168594 – 189294 MW.
- Nguồn năng lượng iện sinh khối cũng ược khuyến khích phát triển (tiềm năng
khoảng 7000 MW), iện sản xuất từ rác, chất thải rắn (khoảng 1800MW) nhằm
tận dung phụ phẩm nông nghiệp.
1.2.1.2. Những khó khăn của các nguồn năng lượng tái tạo ở Việt Nam
Ngành công nghiệp năng lượng tái tạo ối mặt với nhiều thách thức áng kể. Áp lực
chính trị, các chính sách của chính phủ, sự ảnh hưởng của các doanh nghiệp, cùng với
cơ sở hạ tần cổ iển và thiếu hụt hệ thống pin lưu trữ pin hiệu quả ã góp phần làm chậm
tiến trình mở rông sử dụng toàn cầu của năng lượng tái tạo. Dưới ây là một số iểm cụ thể:
- Khả năng phát triển thấp:
Mặc dù năng lượng tái tạo ang ược phát triển rất nhanh chóng, song việc sản xuất
năng lượng tái tạo vẫn chưa ủ mạnh mẽ ể áp ứng nhu cầu năng lượng của cả thế giới.
Nhu cầu năng lượng ang tăng lên rất nhanh và dự kiến sẽ tiếp tục tăng trong tương lai,
vì vậy cần phải ầu tư nhiều hơn vào phát triển năng lượng tái tạo.
- Chi phí ầu tư ban ầu cao:
Đầu tư ban ầu cho các dự án năng lượng tái tạo thường rất ắt ỏ. Ví dụ, việc lắp ặt
các tấm pin mặt trời ể sản xuất iện mặt trời và trụ iện gió ể sản xuất iện gió ều òi hỏi một
khoản ầu tư lớn ban ầu. Do ó, không phải ai cũng có khả năng thực hiện các dự án này.
- Ảnh hưởng ến sinh vật và a dạng sinh học:
Các công trình năng lượng tái tạo, như các trang trại gió và các nhà máy iện mặt
trời, có thể gây ra tác ộng tiêu cực ến môi trường. Chúng có thể gây ra tiếng ồn, ảnh
hưởng ến các loài chim và ộng vật khác, cũng như làm thay ổi a dạng sinh học và cảnh quan tự nhiên.
- Phụ thuộc vào tình trạng thời tiết:
Là một trong những vấn ề chính của năng lượng tái tạo, ặc biệt là với các nguồn
năng lượng như năng lượng mặt trời và gió. Sự phụ thuộc này ến từ việc các nguồn năng
lượng tái tạo này chỉ có sẵn trong một số thời gian và không thể ược cung cấp liên tục.
1.2.1.3. Một số hệ thống kết hợp năng lương tái tạo
- Hệ thống PV kết hợp với máy phát Diesel
Hệ thống lai PV-diesel là sự tích hợp của hệ thống quang iện với máy phát iện
diesel ể cung cấp tải. Mục ích của công nghệ này là cung cấp iện trong 24 giờ cho
khách hàng nhưng giảm giờ hoạt ộng của máy phát iện diesel một cách tối ưu. Các hệ
thống bao gồm mảng PV, máy phát iện diesel, pin và biến tần. Các hoạt ộng cơ bản ược
kiểm soát bằng cách biết tình trạng tải và pin.
Việc áp dụng công nghệ này cần một số iều kiện tiên quyết như, ất trống ủ ể ịnh
vị các mảng quang iện và pin như một kho lưu trữ năng lượng, và sự sẵn có của tình
trạng tốt của máy phát iện diesel với khởi ộng / dừng tự ộng. Tuy nhiên, sau ó, các nhà
hầu hết các ộng cơ diesel hiện có là cũ và không có ủ không gian cho các mảng PV ó là
gần với máy phát iện diesel. Vì vậy, nó phải là một giải pháp mà công nghệ lai có thể
thích ứng với những tình huống thực tế này.
Hệ thống hybrid PV-Diesel phải ược hoàn thành với hệ thống iều khiển với khả
năng chạy toàn bộ thành phần trong một iều kiện nhất ịnh. Các nguồn năng lượng từ
mảng quang iện và máy phát iện diesel phải ược tối ưu cung cấp năng lượng tải hàng
ngày. Sơ ồ khối và hoạt ộng cơ bản có thể ược nhìn thấy trong hình dưới:
Hình 1.1 Sơ ồ khối hệ thống PV kết hợp với diesel
Hình 1.2 Hoạt ộng cơ bản của hệ thống PV kết hợp diesel
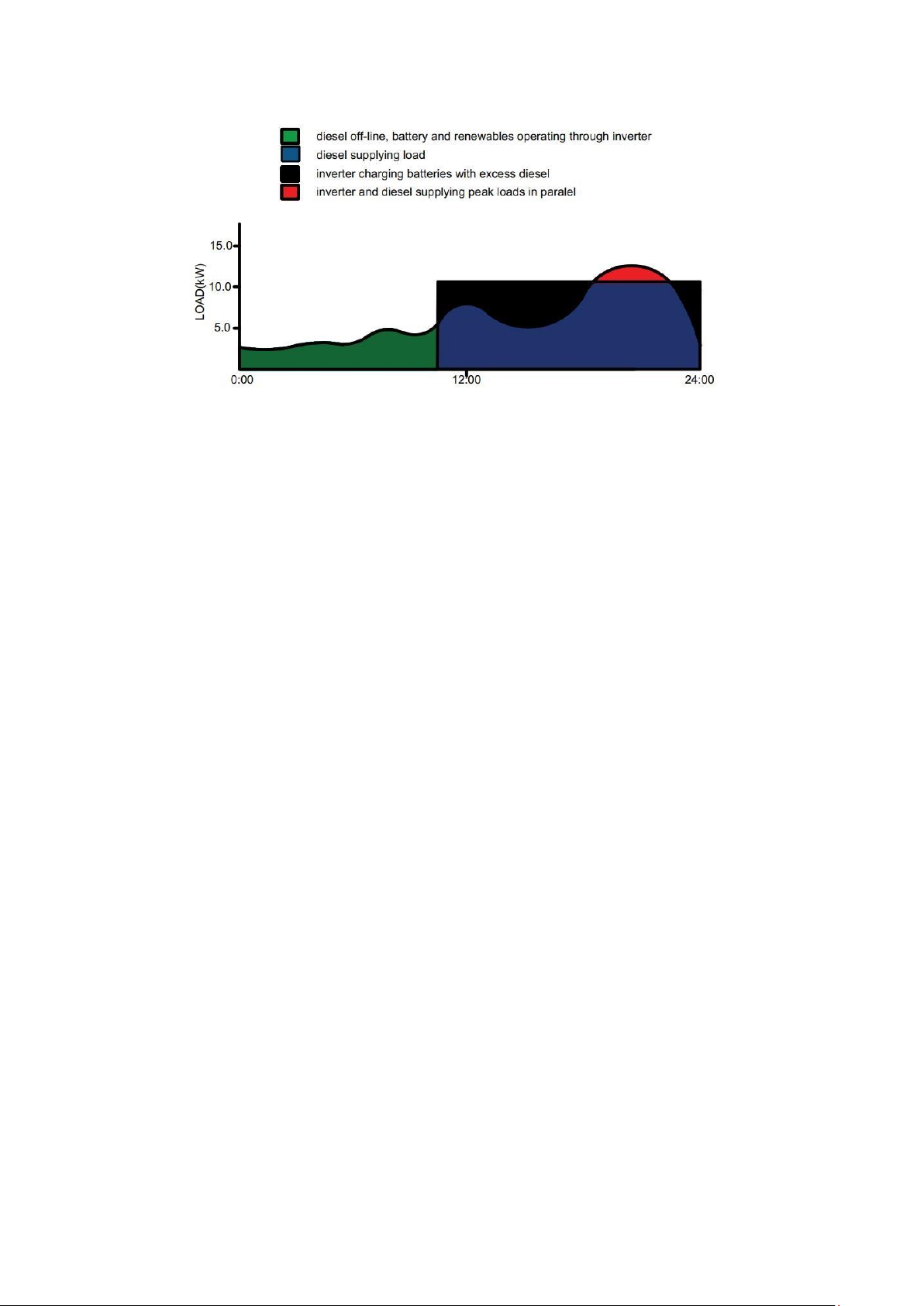
Hoạt ộng cơ bản của hệ thống lai quang iện có thể ược chia thành 3 iều kiện tải,
ó là tải trọng thấp, tải trọng trung bình và tải trọng cao iểm.
Trong iều kiện tải thấp, máy phát iện diesel bị tắt và năng lượng tải ược cung cấp
bởi năng lượng PV thông qua biến tần. Máy phát iện diesel sẽ hoạt ộng ở tải tối ưu ể
cung cấp tải, và nó sẽ sạc pin nếu có năng lượng dư thừa ở tải trung bình. Ở iều kiện tải
cao iểm máy phát iện diesel chạy ở tải tối ưu song song với biến tần. Biến tần ang chuyển
ổi nguồn DC từ pin thành nguồn AC.
- Hệ thống PV ộc lập
Trong thời kỳ phát triển của năng lượng tái tạo thì hệ thống lưu trữ năng lượng
mặt trời là không thể thiếu bởi nguồn cung cấp rất dồi dào từ mặt trời. Bởi thế cho nên
hệ thống PV ọc lập cũng cần ược phát triển, bao gồm cả các thiết bị lưu trữ, mang lại sự
linh hoạt cho các nhà vận hành hệ thống phân phối. Hệ thống ược tổ chức theo các chức
năng khác nhau và ược triển khai thành hai phần: quản lý năng lượng trung tâm của lưới
iện siêu nhỏ và quản lý năng lượng cục bộ ở phía khách hàng, quy hoạch nguồn iện ược
thiết kế theo dự báo sản lượng iện mặt trời và dự báo phụ tải. Các hệ thống quản lý trung
tâm và ịa phương trao ổi dữ liệu và trật tự thông qua mạng truyền thông. Bên cạnh ó là
sự kết hợp của hệ thống EMS.
Hình 1.3 Hệ thống PV ộc lập
Các tấm quang iện ược liên kết với một hệ thống lưu trữ bao gồm một bộ pin làm
thiết bị lưu trữ và một bộ siêu tụ iện làm bộ iều chỉnh năng lượng ộng nhanh. Chúng
ược ghép nối thông qua một bus iều chỉnh bằng máy cắt và ược kết nối với lưới iện
siêu nhỏ bằng bộ biến tần ba pha.
Hệ thống Hydrogen
1.2.2.4. Tiềm năng của Hydrogen
a) Tiềm năng phát triển Hydrogen trên thế giới
Tính ến ầu năm 2023, ã có hơn 40 quốc gia ban hành Chiến lược quốc gia về năng
lượng hydrogen cùng các chính sách hỗ trợ về tài chính lớn nhằm hình thành và phát
triển ngành công nghiệp hydrogen.
Một số quốc gia iển hình i ầu có thể kể ến EU, Đức, Đan Mạch, Hà Lan, Úc,
Canada, Mỹ... Trong ó, EU ã ặt mục tiêu ạt 13-14%, Nhật Bản và Hàn Quốc lần lượt là
10% và 33% về tỉ lệ năng lượng hydrogen trong cơ cấu năng lượng vào năm 2050.
Hình 1.4 Minh họa hệ thống Hydrogen
Mới ây, Mỹ ã công bố chiến lược phát triển hydrogen với mục tiêu ạt 10 triệu tấn
hydrogen sạch/năm vào năm 2030 ể loại bỏ cacbon trong các lĩnh vực sản xuất amoniac
và lọc dầu, sẽ tăng lên 50 triệu tấn/năm ể mở rộng phạm vi ứng dụng hydrogen vào năm 2050.
b) Tiềm năng phát triển hydrogen tại Việt Nam [3]–[6]
Thực trạng của nguồn hydrogen tại Việt Nam: Dầu mỏ tuy phổ biến về mức ộ,
quan trọng với nền kinh tế nhưng ở thời iểm hiện tại cũng như tương lai nguồn năng
lượng này ang dần cạn kiệt và con người phải thay thế vào ó là những nguồn năng lượng
mới như NLTT, năng lượng xanh iển hình là nguồn hydrogen. Đây là nguồn năng lượng
ang ược khai thác và sử dụng khá nhiều. Nguồn năng lượng sạch này ược ứng dụng vào
các loại xe chạy bằng hơi nước, pin lưu trữ hydro, các loại ộng cơ chạy bằng hơi
nước,….Theo thông tin tại:” Dự thảo Chiến lược về sản xuất năng lượn hydrogen ến năm
2030, tầm nhìn ến năm 2050’’ Bộ công thương tuyên bố, hydrogen ược sản xuất dựa trên
quá trình hóa dầu và sản xuất phân ạm ể phục vụ cho chính hoạt ộng các ngành công
nghiệp này ể loại bỏ các tạp chất N, O, kim loại,… ra khoải dòng nguyên liệu và bán
thành phẩm, khử xúc tác kim loại oxide và trong quá trình hydrogen hóa.
Hydrogen sản xuất ược là hydrogen xám và hydrogen nâu với tổng sản lượng sản
xuất ạt khoảng 500 nghìn tấn/năm (KTA), giá khoảng từ 1 – 2,5 USD/kg. Trong ó, nhu
cầu hydrogen của PVN năm 2020 cung cấp cho các nhà máy sản xuất phân ạm, khoảng
316.000 tấn hydrogen, các nhà máy lọc dầu Dung Quất và Nghi Sơn tiêu thụ lần lượt là
39.000 tấn và 139.000 tấn/năm. Tổng nhu cầu hydrogen dự kiến sẽ tăng lên khoảng 4.000 KTA vào năm 2050.
Về hạ tầng vận chuyển, Việt Nam hiện có một số công ty sản xuất và cung cấp
hydrogen ở quy mô nhỏ bằng xe bồn dạng ống (tube): Gas Việt Nhật, công suất 1.000
Nm3/h; Công ty Tam Long, 500 Nm3/h; Linder Gas, 1.000 Nm3/h…Nhu cầu của năng
lượng hydrogen cũng ang phát triển rất mạnh ở các nước tiên tiến như Hàn Quốc, Nhật
Bản, Mỹ, Liên minh Châu Âu,… trọng tâm là chiến lược ể giảm thiểu tối a lượng cac-
bon hiện tại ang phát thải trong nhu cầu sản xuất công nghiệp và ời sống.
Theo Bộ Công Thương, trên thế giới, năng lượng hydrogen ược xem là nguồn
năng lượng sạch, không thể thiếu trong cơ cấu năng lượng của nhiều quốc gia ể thực
hiện mục tiêu trung hòa cacbon vào năm 2050.
Chính phủ Việt Nam ặt mục tiêu phát triển mạnh các nguồn NLTT phục vụ công
tác sản xuất iện, ạt tỷ lệ khoảng 30.9% - 39.2% vào năm 2030, hướng tới tỷ lệ năng lượng
tái tạo ạt tới 47% với iều kiện các cam kết theo Tuyên bố chính trị thiết lập quan hệ ối
tác chuyển ổi năng lượng công bằng(JETP) với Việt Nam ược các ối tác quốc tế thực
hiện ầy ủ, ịnh hướng ến năm 2050, tỷ lệ năng lượng tái tạo lên ến 67,5 – 71,5%.
Viện Dầu khí Việt Nam (VPI) cho biết ang triển khai chương trình nghiên cứu và
phát triển tiềm năng của hydrogen. Chương trình ã ược ưa ra ể bàn luận trong cuộc hội
thảo với chủ ề:’’ Tiềm năng phát triển hydrogen xanh trong lĩnh vực iện’’ ược tổ chức tại
Hà Nội ngày 4/7/2023 với sự phối hợp của Đại sứ quán Pháp và Hydrogene de France SA (HDF energy).
Và theo báo tuổi trẻ thì Bộ Công Thương ề xuất Việt Nam ạt mục tiêu sản xuất
ược 100000 – 500000 tấn hydrogen vào năm 203, và ạt 20 – 30 triệu tấn vào năm 2050.
Qua ó cho thấy tiềm năng của năng lượng Hydrogen là khá lớn và ang ược rất quan tâm.
Có rất nhiều hội thảo ề cập ến nguồn năng lượng hydrogen xanh cho thấy tầm
quan trọng và tiềm năng rất lớn của nguồn năng lượng này, và tầm nhìn ến những năm
2030 nguồn năng lượng hydrogen xanh chiếm tỷ trọng lớn trong ngành năng lượng sạch
trên toàn thế giới cũng như tại Việt Nam.
Tại Hội thảo “Đánh giá tổng thể về sản xuất hydro xanh từ các nguồn năng lượng
mặt trời và năng lượng gió và tiềm năng sử dụng ở Việt Nam”. Hydro xanh sản xuất từ
iện phân nước chỉ óng 0,03% sản lượng hydrogen trong năm 2020. Tuy nhiên, cải thiện
các công nghệ iện phân và chi phí năng lượng tái tạo thấp có thể giúp hydro xanh có giá
cạnh tranh trong năm 2030. Quan trọng hơn, các quốc gia với tiềm năng năng lượng tái
tạo lớn, các mối quan hệ thương mại ưu ãi, chính trị ổn ịnh và gần các nhà xuất khẩu lớn
ở khu vực châu Á - Thái Bình Dương như Việt Nam sẽ hưởng lợi, ặc biệt trong bối cảnh
ịnh giá giới hạn carbon có thể sẽ có vai trò quan trọng. Hydro xanh ược ứng dụng rộng
rãi, không chỉ giới hạn trong hàng hải, vận tải, công nghiệp chế tạo thép và hóa chất…
Sản xuất và sử dụng hydro xanh vẫn còn là lĩnh vực mới ở Việt Nam, nhưng chủ ề năng
lượng trung gian ang ngày càng thu hút sự quan tâm.
Theo ó ngành năng lượng lĩnh vực hạ tầng thiết yếu của nền kinh tế, ược dự báo
có mức phát thải CO2 là 101 triệu tấn vào năm 2050, chiếm trên 70% lượng phát thải
quốc gia, do ó ây là lĩnh vực có vai trò ặc biệt quan trọng trong quá trình thực hiện những
cam kết quốc tế của Việt Nam về biến ổi khí hậu.
Việt Nam ã nhận thức sâu sắc của tác ộng từ biến ổi khí hậu và nỗ lực thực hiện
các giải pháp thông qua cam kết ạt phát thải ròng bằng 0 vào năm 2050 tại COP26, gần
ây liên tục gia tăng công suất năng lượng mặt trời và gió; Đồng thời, công bố Đối tác
chuyển dịch năng lượng công bằng trị giá 15,5 tỷ USD với liên minh các ối tác quốc tế
(JETP), một vài ại diện của các ối tác khác.
1.2.2.5. Ưu iểm của hydrogen a) Dễ tiếp cận:
Hydrogen là một nguyên tố cơ bản của Trái Đất và phổ biến. Tách khí hydrogen
từ các hợp chất bạn ồng thời mất thời gian. Tuy nhiên, kết quả tạo ra một nguồn năng
lượng giàu và sạch sẽ.
b) Không phát thải gây hại:
Khi ốt cháy, hydrogen không sản xuất bất kỳ hợp chất ộc hại nào. Nó kết hợp với
oxy mà không ốt cháy và có năng lượng có thể tạo ra iện cho ộng cơ iện. Như các nguồn
năng lượng khác, nó không phát thải khí carbon dioxide khi ốt cháy.
c) An toàn cho môi trường:
Đối với một nguồn nhiên liệu, iều này là không thường xuyên vì nó không ộc hại.
Những nơi khác như than á, năng lượng hạt nhân và xăng dầu thì ộc hại hoặc có thể ược
tìm thấy trong tình huống nguy hiểm. Hydrogen có thể ược sử dụng trong các cách mà
các nhiên liệu khác không thể sánh kịp vì nó có lợi cho môi trường.
d) Có thể sử dụng làm nhiên liệu tên lửa:
Nó có sức mạnh và hiệu suất. Đủ ể cung cấp năng lượng cho các thiết bị quan
trọng như tàu vũ trụ. Ngoài ra, nó là một lựa chọn an toàn hơn so với các nguồn nhiên
liệu khác vì nó thân thiện với môi trường. Hydrogen mạnh hơn ba lần so với xăng dầu
và các nhiên liệu hóa thạch khác, iều này cho thấy nó có thể làm ược nhiều việc hơn với
lượng nhiên liệu ít hơn.
e) Tiêu thụ nhiên liệu thấp:
Nó có hiệu suất tiêu thụ nhiên liệu cao hơn áng kể so với dầu diesel hoặc xăng vì
nó có thể tạo ra nhiều năng lượng hơn cho mỗi pound nhiên liệu. Điều này có nghĩa là
một chiếc xe chạy bằng hydrogen có thể i xa hơn một chiếc sử dụng một nguồn nhiên
liệu truyền thống khác trong khi mang cùng một iểm. Các tế bào nhiên liệu chạy bằng
hydrogen có hiệu suất gấp ôi so với các phương pháp ốt cháy truyền thống. Ví dụ, một
nhà máy iện chạy bằng ốt cháy truyền thống thường sản xuất iện với hiệu suất từ 33 ến
35%. Lên ến 65% iện năng ược sản xuất bởi tế bào nhiên liệu hydrogen ược tạo ra một cách hiệu quả. f) Nó tái tạo ược:
So với các nguồn khí hóa không tái tạo khác, nó có thể ược sản xuất lặp i lặp lại.
Do ó, hydrogen là một nguồn nhiên liệu có lượng năng lượng hữu hạn. Nói cách khác,
năng lượng hydrogen có thể ược tạo ra bất cứ khi nào cần thiết.
1.2.2.6. Hạn chế của hydrogen a) Chi phí cao
Năng lượng hydrogen ắt ỏ trong khi rộng rãi tiếp cận. Sự thật rằng việc tách
nguyên tố này khỏi các nguyên tố khác mất rất nhiều thời gian là lý giải ủ cho iều này.
Nếu quá trình này thực sự ơn giản, nhiều người sẽ có thể hoàn thành nó một cách dễ
dàng, nhưng không phải vậy. Mặc dù hiện nay các xe hybrid ược sử dụng bởi các tế bào
hydrogen, nhưng vẫn cần phải là một nguồn nhiên liệu thực tế cho mọi người. Năng
lượng hydrogen chỉ sẽ là một lựa chọn ắt ỏ nếu công nghệ ược tạo ra có thể làm cho toàn
bộ quá trình trở nên ơn giản hơn nhiều. b) Lưu trữ
Di chuyển hydrogen khá phức tạp. Dầu là một chất có thể ược vận chuyển qua
ường ống. Khi nói về than á, có thể ược vận chuyển trên lưng của xe tải một cách dễ
dàng. Việc chuyển hydrogen tốn rất nhiều tiền, ngay cả với số lượng nhỏ. Vận chuyển
và lưu trữ một chất hóa học như vậy ược ánh giá là không thực tế vì lý do ó mà mà.
c) Khó thay thế cơ sở hạ tầng hiện tại
Ngày nay, xăng vẫn thường ược sử dụng. Hơn nữa, cơ sở hạ tầng hiện nay cần
phải ược xây dựng ể tạo iều kiện cho việc sử dụng hydrogen làm nhiên liệu. Vì vậy, việc
xem xét việc thay thế xăng trở nên ắt ỏ ngay cả khi có sẵn cơ sở hạ tầng. Hơn nữa, cần
phải thay ổi các phương tiện ể có chỗ cho nhiên liệu hydrogen.
d) Sử dụng nhiên liệu hóa thạch là cần thiết
Mặc dù năng lượng hydrogen thân thiện với môi trường và tái tạo, nhưng phải
ược tách từ oxy bằng cách sử dụng các nguồn tài nguyên không tái tạo như than, dầu và
khí tự nhiên. Mặc dù việc chuyển sang hydrogen ược dự kiến sẽ loại bỏ việc sử dụng
nhiên liệu hóa thạch, nhưng vẫn cần chúng ể sản xuất nhiên liệu hydrogen.
1.2.2.7. Một số dự án hydrogen tại Việt Nam
Hiện tạo trên ất nước Việt Nam ang rất quan tâm ến nguồn năng lượng xanh, cho
nên các dự án ề xuất triển khai tại Việt Nam:
Bảng 1.1 Một số dự án hydrogen triển khai tại Việt Nam Tên dự án Nhà thầu Quy mô Mức ầu Thời gian tư Dự án ầu tư Tập oàn 2.000MW 5 tỷ USD 2022-2030 Thăng Long năng lượng Wind 2 Enterprize (TLW2) Energy và các nhà ầu
(mũi Kê Gà, tư từ Châu tỉnh Âu Bình Thuận) Dự án Nhà Tập
oàn Hydrogen (24.000 tấn Chưa biết Khởi công máy sản The Green /năm 3/2023 xuất khí Solutions Ammonia (150.000 – hydrogen Group 180.000 tấn/năm) khí xanh Trà Oxy (195 H2.000 Vinh (xã tấn/năm) Đông Hải, huyện Duyên Hải, tỉnh Trà Vinh) Nhà máy sản Công ty 2 giai oạn: 19.500 tỷ Khởi công xuất TNHH TGS +, Giai oạn 1: ồng 5/2022 hydrogen Green 24.000 tấn xanh Bến Hydro hydrogen/năm;
Tre (xã Bảo (Thành viên 150.000 tấn Thuận, Tập oàn ammonia/năm195.000 huyện
Ba The Green tấn khí oxy/năm. Tri) Solutions) +, Giai oạn 2 60.000 tấn hydrogen/năm; 375.000 tấn ammonia/năm; 490.000 tấn oxy/năm
Bên cạnh những doanh nghiệp, tập oàn dầu khí Việt Nam (PVN) và ngân hàng Phát triển
Châu Á cũng ã ký biên bản ghi nhớ (MOU) về xây dựng ối tác chiến lược 2021-2024
nhằm thúc ẩy phát triển năng lượng sạch, ạt ược các mục tiêu về chuyển ổi năng lượng xanh.
Hệ thống Hydrogen kết hợp với lưới iện
Hệ thống hydrogen nhắm vào việc phát triển một hệ thống hoàn chỉnh ể cung cấp
năng lượng cho cả các tải iện và nhiệt, sử dụng sự kết hợp linh hoạt giữa hệ thống lưu
trữ hydrogen và fuel cell. Chúng ta không chỉ ơn thuần là cung cấp năng lượng cho các
tải, mà còn tối ưu hóa quá trình này ể giảm thiểu chi phí vận hành hàng ngày của hệ thống.
Hình 1.5 Hệ thống Hydrogen kết hợp với lưới iện
Trong hệ thống này, chúng ta sử dụng một bộ phân giải nước ể tạo ra hydrogen
từ nước, cho phép lưu trữ iện dưới dạng hydrogen. Điều này mang lại khả năng linh hoạt
áng kể khi cung cấp năng lượng cho các tải nhiệt và fuel cell. Các tải iện ược liên kết
trực tiếp với lưới iện, nhưng vào các giờ cụ thể, chúng có thể chuyển sang sử dụng năng
lượng từ tế bào nhiên liệu thay vì lưới iện, ặc biệt khi giá iện tăng cao.
Một phần quan trọng của hệ thống hydrogen là khả năng ối phó với sự không chắc
chắn trong việc dự oán các tải nhiệt và iện. Chúng ta sử dụng kỹ thuật lập kế hoạch ngẫu
nhiên ể mô hình hóa và ịnh hình những biến ộng này.
Hệ thống hydrogen ã cho thấy rằng hệ thống ược ề xuất không chỉ giảm thiểu chi
phí vận hành hàng ngày một cách áng kể, mà còn mang lại khả năng linh hoạt cao và khả
năng tích hợp với lưới iện hiện tại. Điều này sẽ óng góp vào việc xây dựng những hệ
thống năng lượng hiệu quả và bền vững trong tương lai.
1.3 Tìm hiểu về lưới iện siêu nhỏ [7]
Mạng lưới phân phối iện trên toàn cầu ang trải qua quá trình chuyển ổi, ược thúc
ẩy bởi sự xuất hiện của các nguồn năng lượng phân tán (DER) mới, bao gồm cả lưới iện
siêu nhỏ (MG). MG là tiềm năng ầy hứa hẹn cho cơ sở hạ tầng iện hiện ại hóa. Thuật
ngữ “lưới iện siêu nhỏ” ề cập ến khái niệm một số lượng nhỏ DER ược kết nối với một
hệ thống iện phụ duy nhất. DER bao gồm cả tài nguyên tái tạo và/hoặc tài nguyên thông
thường. Lưới iện không còn là hệ thống một chiều từ thế kỷ 20. Một loạt công nghệ năng
lượng phân tán ang mở ường cho MG. Nó có thể hoạt ộng như một thực thể cấp lưới duy
nhất ược quản lý tốt ể cung cấp hoạt ộng ộc lập hoặc kết nối lưới. Nó có khả năng cải
thiện chất lượng iện năng, tăng cường an ninh năng lượng cho các phụ tải quan trọng và
tối a hóa hiệu suất tổng thể của hệ thống. MG ã trở nên phổ biến trong những năm gần
ây nhờ những cải tiến công nghệ trong sản xuất iện quy mô nhỏ. Trong khi ó, những lo
ngại về môi trường về việc sản xuất iện tập trung là lý do thúc ẩy sự phát triển của MG.
Thị trường MG dự kiến sẽ tiếp tục phát triển, mặc dù thực tế là tính năng quan trọng nhất
của công nghệ MG không ược thể hiện một cách hiệu quả bằng thuật ngữ tiền tệ: Khả
năng thu hồi vốn. Nhiều triển khai MG hoặc thử nghiệm hiện tại ang diễn ra trên khắp
thế giới ể hiểu rõ hơn về cách thức hoạt ộng của MG. Với nhiều mục ích khác nhau,
nhiều công nghệ và cấu trúc liên kết ã ược nghiên cứu. Một số thử nghiệm chỉ ược thực
hiện cho mục ích nghiên cứu và phát triển, trong khi những thử nghiệm khác ược thực
hiện trên ảo hoặc vùng sâu vùng xa. Vì khái niệm MG rất linh hoạt nên việc cài ặt và
mục tiêu thử nghiệm có thể rất a dạng. Phần lớn MG trên thế giới hiện ược ặt tại Bắc Mỹ
và Châu Á Thái Bình Dương, trong ó Cộng hòa Nhân dân Trung Hoa cung cấp phần lớn
công suất ở Châu Á-Thái Bình Dương. Mặc dù không có cơ quan ăng ký trung tâm nhưng
tính ến quý 4 năm 2017, một cơ quan theo dõi nửa năm ước tính có 1869 MG với tổng
công suất là 20,7 gigawat (GW). MG ược dự oán sẽ tăng trưởng áng kể trong những năm
tới, ặc biệt là ở Châu Á - Thái Bình Dương và Bắc Mỹ, với chi phí lắp ặt công suất hàng
năm dự kiến sẽ tăng gấp 5 lần từ năm 2018 ến năm 2027. MG dự kiến sẽ trở nên phổ
biến hơn ở những khu vực có cơ sở hạ tầng iện không ủ hoặc xuống cấp , cũng như các
hoạt ộng kinh doanh từ xa như hầm khai thác mỏ. MG có thể sẽ trở thành một phần ngày
càng quan trọng của ngành năng lượng khi có những thách thức hiện tại và tương lai.
MG cũng ã thu hút nhiều sự chú ý trong cộng ồng học thuật toàn cầu. Hình dưới cho thấy
số lượng bài báo trên web khoa học (WoS) liên quan ến MG từ năm 2000 ến năm 2021.
Những số liệu thống kê này thúc ẩy các tác giả tiến hành một nghiên cứu chuyên sâu
trong lĩnh vực này ể làm rõ hiện trạng kiến thức và xác ịnh nghiên cứu cần thiết.
Hình 1.6 Số lượng bài báo trên web khoa học (WoS) liên quan ến MG
Sự cần thiết của lưới iện siêu nhỏ
Lưới iện siêu nhỏ (Microgrid - MG) là hệ thống bao gồm các nguồn năng lượng
có công suất nhỏ và phát iện phân tán (Distributed Energy Resources – DER) như: nguồn
pin mặt trời, pin nhiên liệu, turbine gió, microturbine …. Ngoài ra còn có các hệ thống o
lường và các phụ tải. Công nghệ iều khiển cho lưới iện siêu nhỏ có thể hoạt ộng ộc lập
hoặc tích hợp chúng vào lưới iện phân phối, thông qua hệ thống iều khiển và giám sát,
nhằm hướng ến phát triển lưới iện thông minh và iều khiển có thể nối lưới linh hoạt.
Với quy trình tạo một lưới iện siêu nhỏ ược tối ưu hóa hoàn toàn ể cắt giảm chi phí
năng lương, giảm lượng khí thải carbon, ảm bảo ộ tin cậy về iện.