



















Preview text:
MỤC LỤC
ĐẶT VẤN ĐỀ ............................................................................................................ 4
NỘI DUNG................................................................................................................. 6
I.TỔNG QUAN ....................................................................................................... 6
1.Hóa chất bảo vệ thực vật .................................................................................. 6
1.1.Khái niệm ................................................................................................... 6
1.2.Phân loại ..................................................................................................... 6
2.Vai trò của hóa chất bảo vệ thực vật ............................................................... 7
2.1.Vai trò tích cực ........................................................................................... 8
2.2.Vai trò tiêu cực ........................................................................................... 8
II.MỘT SỐ NHÓM HÓA CHẤT BẢO VỆ THỰC VẬT ..................................... 9
1.Nhóm Clor hữu cơ ............................................................................................ 9
1.1.Khái niệm ................................................................................................... 9
1.1.1.DDT và các chất có cấu trúc tương tự ................................................ 9
1.1.2.Một số dẫn xuất của benzen .............................................................. 10
1.1.3Các cyclordien ..................................................................................... 10
1.1.4.Các polycloroterpen ........................................................................... 11
1.2.Cơ chế gây độc .......................................................................................... 11
1.3.Nhiễm độc, triệu chứng ............................................................................ 12
1.3.1.Nguyên nhân nhiễm độc .................................................................... 12
1.3.2.Các triệu chứng .................................................................................. 12
1.3.2.1.Thể lâm sàng ................................................................................ 13
1.3.2.2.Cận lâm sàng ................................................................................ 13
1.4.Chẩn đoán ................................................................................................ 13
1.4.1.Chẩn đoán xác định ........................................................................... 13
1.4.2.Chẩn doán phân biệt .......................................................................... 13
1.5.Xử trí ........................................................................................................ 13
1.5.1.Cách xử trí.......................................................................................... 13
1.5.2.Xử trí trong các trường hợp cụ thể ................................................... 14
1.5.2.1.Trường hợp nhiễm độc qua đường hô hấp, qua da. ................... 14
1.5.2.2.Trường hợp nhiễm độc qua đường tiêu hóa. .............................. 14
2.Nhóm phosphor hữu cơ .................................................................................. 14
2.1.Khái niệm và phân loại ............................................................................ 14 1
2.2.Cơ chế gây độc .......................................................................................... 17
2.3.Nguyên nhân nhiễm độc, triệu chứng và cách xử trí .............................. 18
2.3.1.Nguyên nhân nhiễm độc .................................................................... 18
2.3.2.Triệu chứng ........................................................................................ 18
2.3.2.1.Triệu chứng lâm sàng .................................................................. 18
2.3.2.2.Triệu chứng cận lâm sàng ........................................................... 19
2.3.3.Chẩn đoán ....................................................................................... 19
2.3.3.1.Chẩn đoán xác định ..................................................................... 19
2.3.3.2.Chuẩn đoán phân biệt ................................................................. 20
2.3.4.Xử trí .................................................................................................. 21
2.3.4.1.Nguyên tắc điều trị....................................................................... 21
2.3.4.2.Điều trị ......................................................................................... 21
2.3.5.Biến chứng .......................................................................................... 22
2.3.6.Theo dõi .............................................................................................. 22
3.Nhóm carbamat .............................................................................................. 22
III.HÓA CHẤT BẢO VỆ THỰC VẬT CÓ NGUỒN GỐC SINH HỌC ........... 23
1.Khái niệm ....................................................................................................... 23
2.Allicin và Rotenon .......................................................................................... 25
IV.THUỐC DIỆT CỎ .......................................................................................... 26
1Khái niệm ........................................................................................................ 26
2.Phân loại ......................................................................................................... 27
2.1.Thuốc diệt cỏ dùng trong chiến tranh ..................................................... 27
2.1.1.DIOXIN .............................................................................................. 28
2.1.1.1.Khái niệm ..................................................................................... 28
2.1.1.2.Nguồn gốc ..................................................................................... 29
2.1.1.3.Tính chất ...................................................................................... 29
2.1.1.4.Tồn tại trong môi trường ............................................................. 29
2.1.1.5.Con đường phơi nhiễm ................................................................ 30
2.1.1.6.Cơ chế ........................................................................................... 31
2.1.1.7.Độc tính của dioxin đối với sức khỏe con người ......................... 31
2.1.1.8.Triệu chứng ngộ độc .................................................................... 32
2.1.1.9.Các bước xử trí khi ngộ độc dioxin ............................................. 32
2.1.1.11.Định lượng.................................................................................. 34 2
2.1.2.Thuốc diệt cỏ khác trong chiến tranh ............................................... 35
2.2.Thuốc diệt cỏ khác ....................................................................................... 37
V.TÌNH HÌNH SỬ DỤNG HÓA CHẤT BẢO VỆ THỰC VẬT ........................ 39
1.Trên thế giới ................................................................................................... 39
2.Ở Việt Nam ..................................................................................................... 40
3.Sử dụng hóa chất an toàn và hiệu quả .......................................................... 42
VI.ẢNH HƯỞNG CỦA DƯ LƯỢNG HÓA CHẤT BẢO VỆ THỰC VẬT ...... 43
1.Dư lượng và mức dư lượng tối đa .................................................................. 43
2.Tồn dư hóa chất bảo vệ thực vật ................................................................... 44
VII.ẢNH HƯỞNG CỦA HÓA CHẤT BẢO VỆ THỰC VẬT TỒN LƯU ĐẾN
MÔI TRƯỜNG..................................................................................................... 44
1.Ô nhiễm môi trường đất ................................................................................ 45
2.Ô nhiễm môi trường nước ............................................................................. 47
3.Ô nhiễm môi trường không khí ..................................................................... 47
4.Ảnh hưởng của HCBVTV lên con người và động vật .................................. 48
VIII.PHƯƠNG PHÁP PHÂN TÍCH HÓA CHẤT BẢO VỆ THỰC VẬT ........ 53
1.Các phương pháp xử lý mẫu .......................................................................... 54
1.1.Chiết bằng dung môi (solvent extraction, SE) ........................................ 54
1.2.Chiết siêu tới hạn (Supercritical-fluid extraction, SFE) ......................... 55
1.3.Chiết pha rắn (Solid phase extraction, SPE) .......................................... 55
1.4.Chiết với hệ phân tán pha rắn (matrix solid phase dispersion, MSPD) 56
1.5.Vi chiết pha rắn (solid phase microextraction, SPME) .......................... 57
1.6.Vi chiết pha lỏng (liquid phase microextraction, LPME) ...................... 57
1.7.Sắc ký thẩm thấu gel (gel permeation chromatography, GPC) ............. 57
1.8.Phương pháp QuEChERS ....................................................................... 58
2.Một số kỹ thuật dùng trong phân tích HCBVTV ......................................... 59
2.1.Ứng dụng sắc ký khí trong phân tích HCBVTV .................................... 59
2.2.Ứng dụng của sắc ký lỏng trong phân tích HCBVTV ............................ 60
KẾT LUẬN .............................................................................................................. 62
TÀI LIỆU THAM KHẢO ....................................................................................... 64 3 ĐẶT VẤN ĐỀ
Việt Nam là một quốc gia phát triển đi lên từ nông nghiệp. Trong suốt chiều
dài phát triển của dân tộc, nông nghiệp luôn là ngành có đóng góp tích cực trong
phát triển kinh tế - xã hội của đất nước. Khí hậu nhiệt đới nóng và ẩm của Việt
Nam thuận lợi cho sự phát triển của cây trồng nhưng cũng rất thuận lợi cho sự
phát sinh, phát triển của sâu bệnh, cỏ dại gây hại mùa màng. Do đó vai trò của
công tác bảo vệ thực vật (gọi tắt là BVTV), đặc biệt là việc sử dụng HCBVTV
(gọi tắt là HCBVTV) ngày càng quan trọng đối với sản xuất. HCBVTV đã góp
phần hạn chế sự phát sinh phát triển của sinh vật gây hại, bảo đảm năng suất cho
cây trồng. Vì vậy việc sử dụng HCBVTV để phòng trừ sâu hại, dịch bệnh bảo vệ
mùa màng, giữ vững an ninh lương thực quốc gia là một biện pháp quan trọng và chủ yếu.
Trong những năm của thập kỷ 60 - 90 do sự hiểu biết về HCBVTV còn hạn
chế, chỉ coi trọng về mặt tích cực của nó là phòng và diệt dịch hại và xem nhẹ
công tác môi trường, công tác quản lý còn lỏng lẻo nên để lại nhiều kho, nền kho,
địa điểm lưu giữ HCBVTV. Do lâu ngày không được chú ý đề phòng các bao bì
đựng hoá chất BVTV bị vỡ HCBVTV ngấm vào nền kho, ngấm vào đất hoặc do
điều kiện mưa, lụt đã làm phát tán ra môi trường các loại HCBVTV gây ô nhiễm
môi trường. Bên cạnh đó, khi một số loại HCBVTV bị cấm sử dụng vào đầu
những năm 90, một số nơi đã chôn các loại hóa chất này xuống đất gây ô nhiễm
đất, ảnh hưởng đến nguồn nước và môi trường xung quanh.
HCBVTV đóng vai trò quan trọng để phòng trừ các loại dịch bệnh cho các
sản phẩm nông nghiệp nói chung và các dược liệu nói riêng hiện nay. Khi trồng
hầu hết các loại cây và dược liệu cần phải được sử dụng HCBVTV nhằm chống
sâu bệnh gây hại để tăng năng suất và chất lượng. Khi được sử dụng HCBVTV
có thể tồn dư lại trong sản phẩm. Nếu sử dụng đúng cách, mức tồn dư này có thể
vẫn an toàn cho người sử dụng theo quy định mỗi loại. HCBVTV đều có giá trị
tồn dư tối đa, tuy nhiên việc lạm dụng hoặc sử dụng không đúng cách các loại 4
HCBVTV làm cho tồn dư HCBVTV trong sản phẩm tăng lên, vượt quá MRI Khi
đó HCBVTV sẽ gây ra các tác dụng không mong muốn cho người sử dụng.
Một thực tế hiện nay là việc sử dụng HCBVTV tràn lan không thể kiểm soát,
gây ảnh hưởng xấu đến sức khỏe con người và môi trường sinh thái. Nhiều công
bố trên thế giới đã cảnh báo những rủi ro sức khỏe cho con người khi bị phơi
nhiễm HCBVTV. Mặc dù ở Việt Nam từ năm 1990 đã ban hành lệnh cấm một số
HCBVTV độc hại và đưa vào sản xuất nhiều loại HCBVTV dạng sinh học thân
thiện với môi trường, tuy nhiên con số thống kê về tình hình sử dụng HCBVTV
ở Việt Nam vẫn chưa cụ thể, chỉ rải rác một số nghiên cứu tại một vài địa phương
được khảo sát. Cho đến nay, số lượng nghiên cứu về tình hình sử dụng HCBVTV
ở nước ta và những nguy cơ rủi ro cho người sử dụng này rất hạn chế. Trong khi
đó, dư luận xã hội trong nước đang rất lo ngại về tình trạng thiếu an toàn thực
phẩm và ngộ độc do phơi nhiễm HCBVTV.
Chính vì vậy, bài báo cáo này sẽ giúp mọi người hiểu rõ hơn về khái niệm
HCBVTV hay dư lượng HCBVTV, ảnh hưởng của HCBVTV lên sức khoẻ con
người cũng như môi trường, đưa ra phương pháp xác định mức tồn dư HCBVTV
để sàng lọc loại bỏ những sản phẩm không đáp ứng được sự an toàn cho người sử
dụng, cung cấp thông tin về tình hình sử dụng HCBVTV, hiểu rõ hơn về ý thức
và thái độ của người nông dân trong việc sử dụng HCBVTV. Từ đó đưa ra những
nguyên tắc an toàn trong sử dụng HCBVTV, khắc phục ô nhiễm, cải thiện môi
trường các khu vực bị ô nhiễm nói riêng và công tác bảo vệ môi trường nói chung
để bảo vệ sức khỏe cho cộng đồng cũng như bảo vệ môi trường sống của chúng ta. 5 NỘI DUNG I. TỔNG QUAN
1. Hóa chất bảo vệ thực vật 1.1. Khái niệm
HCBVTV được chuyển nghĩa từ thuật ngữ tiếng Anh “pesticide” có nghĩa là
thuốc trừ côn trùng gây hại. Tuy nhiên hiện nay khái niệm này được mở rộng cho
nhiều loại hóa chất được sử dụng trong trồng trọt cả với mục đích ngoài trừ sâu hại.
Theo tổ chức Nông nghiệp và Lương thực của Liên Hiệp Quốc (FAO): Hóa
chất bảo vệ thực vật (HCBVTV) là bất kỳ hợp chất hay hỗn hợp được dùng với
mục đích ngăn ngừa, tiêu diệt hoặc kiểm soát các tác nhân gây hại, bao gồm vật
chủ trung gian truyền bệnh của con người hoặc động vật, các bộ phận không mong
muốn của thực vật hoặc động vật gây hại hoặc ảnh hưởng đến các quá trình sản
xuất, chế biến, bảo quản, vận chuyển, mua bán thực phẩm, nông sản, gỗ và sản
phẩm từ gỗ, thức ăn chăn nuôi hoặc hợp chất được phân tán lên động vật để kiểm
soát côn trùng, nhện hay các đối tượng khác trong hoặc trên cơ thể chúng.
HCBVTV còn được dùng làm tác nhân điều hòa sinh trưởng thực vật, chất làm
rụng lá, chất làm khô cây, tác nhân làm thưa quả hoặc ngăn chặn rụng quả sớm.
Cũng có thể dùng HCBVTV cho cây trồng trước cũng như sau khi thu hoạch để
bảo vệ sản phẩm không bị hỏng trong quá trình bảo quản và vận chuyển”. 1.2. Phân loại Phân loại theo mối nguy
Tổ chức Y tế Thế giới (WHO) phân loại HCBVTV dựa vào các nghiên cứu
về nguy cơ độc hại, chủ yếu là độ độc cấp tính đường uống và đường ngoài da khi
thử nghiệm trên chuột dựa trên LD50.
Phân loại theo công dụng
Dựa vào công dụng của HCBVTV, người ta có thể phân loại như sau:
Hóa chất diệt trừ sinh vật gây hại: 6 - Hóa chất trừ sâu - Hóa chất trừ nấm - Hóa chất trừ cỏ - Hóa chất trừ chuột - Hóa chất trừ ốc sên - Hóa chất trừ nhện
- Hóa chất trừ vi khuẩn
Hóa chất điều hòa sinh trưởng thực vật (PGR- plant growth regulators) là
các hóa chất sử dụng để kích thích, làm chậm hoặc ức chế sự phát triển của thực vật.
Hóa chất dùng trong bảo quản, xử lý hay chế biến sau thu hái
Phân loại theo cấu tạo hóa học
Đây là cách phân loại được sử dụng phổ biến trong việc triển khai xây dựng
các phương pháp phân tích, vì các HCBVTV có cấu tạo tương tự thường có tính
chất giống nhau do đó phương pháp chiết và phân tích cũng giống nhau. Hơn nữa,
từng nhóm HCBVTV tác động đến sinh vật và con người theo các nguyên lý tương tự nhau.
Một số nhóm HCBVTV chính sau:
- HCBVTV nhóm clor hữu cơ: DDT, hexaclorocyclohexan, …
- HCBVTV nhóm phosphor hữu cơ: sarin, tabun…
- HCBVTV nhóm cúc tổng hợp: tetramethrin, resmethrin…
- HCBVTV nhóm carbarmat: aldicarb, carbofuran…
- HCBVTV nhóm neonicotinoid: imidacloprid, acetamiprid…
- HCBVTV nhóm macrocyclic lacton: abamectin, ivermectin…
- HCBVTV vô cơ: hỗn hợp Bordeaux và hỗn hợp Arsen
- HCBVTV có nguồn gốc thực vật: allicin, rotenon…
2. Vai trò của hóa chất bảo vệ thực vật
HCBVTV đã và đang đóng một vai trò không thể thiếu trong nông nghiệp
hiện đại. Chúng giúp bảo vệ mùa màng khỏi sâu bệnh, cỏ dại, nấm bệnh, góp phần 7
tăng năng suất và chất lượng nông sản. Tuy nhiên, việc sử dụng HCBVTV cũng
đi kèm với những hệ lụy đáng kể đối với môi trường và sức khỏe con người. 2.1. Vai trò tích cực
- Ngăn chặn sâu bệnh: HCBVTV giúp tiêu diệt hoặc ngăn chặn sự phát triển
của các loại sâu bọ, nấm bệnh, vi khuẩn và các sinh vật gây hại khác tấn công cây trồng.
- Kiểm soát cỏ dại: Cỏ dại cạnh tranh dinh dưỡng và ánh sáng với cây trồng,
làm giảm năng suất. HCBVTV giúp loại bỏ cỏ dại hiệu quả.
- Bảo vệ mùa màng: Nhờ có HCBVTV, nông dân có thể bảo vệ mùa màng khỏi
bị hư hại, giảm thiểu tổn thất kinh tế.
- Tăng năng suất: Bằng cách kiểm soát sâu bệnh và cỏ dại, HCBVTV giúp cây
trồng phát triển tốt hơn, cho năng suất cao hơn.
- Cải thiện chất lượng nông sản: HCBVTV giúp giảm thiểu sự hư hỏng của
nông sản do sâu bệnh gây ra, từ đó nâng cao chất lượng sản phẩm. 2.2. Vai trò tiêu cực
- Ô nhiễm môi trường: HCBVTV có thể xâm nhập vào đất, nước và không khí,
gây ô nhiễm môi trường.
- Ảnh hưởng đến sức khỏe con người: Tiếp xúc với HCBVTV trong thời gian
dài có thể gây ra các vấn đề sức khỏe như ung thư, dị tật bẩm sinh, rối loạn nội tiết.
- Phát triển kháng thuốc: Việc sử dụng quá nhiều và lạm dụng HCBVTV có
thể dẫn đến tình trạng sâu bệnh kháng thuốc, gây khó khăn cho việc kiểm soát dịch hại.
- Ảnh hưởng đến các sinh vật có lợi: HCBVTV không chỉ tiêu diệt sinh vật gây
hại mà còn có thể tiêu diệt các loài côn trùng có lợi như ong, bướm, gây mất cân bằng sinh thái. 8
II. MỘT SỐ NHÓM HÓA CHẤT BẢO VỆ THỰC VẬT 1. Nhóm Clor hữu cơ 1.1. Khái niệm
HCBVTV nhóm clor hữu cơ (organnochlorines) là các hợp chất hữu cơ được
hình thành khi thay thế các nguyên tử hydro của các hydrocarbon và dẫn xuất
bằng các nguyên tử clor. Trong phân tử các hợp chất này có thể tồn tại vòng
benzen hoặc dị vòng (chứa dị tố O, N hay S). Thường alf các dẫn xuất clor của
một số hợp chất hữu cơ như diphenylethan, cyclodien, benzen, hexan…
Về mặt cấu tạo, các HCBVTV nhóm clor hữu cơ được xếp vào 4 nhóm nhỏ:
- Nhóm diphenyl aliphatic: DDT, dicofon, methoxyclor…
- Nhóm dẫn xuất của benzen: hexaclorocyclohexan (HCH, có nhiều đồng
phân trong đó lindan là γ- HCH), pentaclophenol…
- Nhóm hợp chất cyclodien: endrin, dieldrin, heptachlor, aldrin, endosulfan sulfat…
- Nhóm hợp chất polycloroterpen: toxaphen, polyclorocamphen…
1.1.1. DDT và các chất có cấu trúc tương tự
DDT (dicloro diphenyl tricloroethan) là một nhóm các chất hữu cơ cao phân
tử có chứa clor dạng bột màu trắng, mùi rất đặc trưng, không tan trong nước. DDT
được sử dụng như là một loại thuốc trừ sâu có độ bền vững và độc tính cao.
Trong cơ thể DDT dễ dàng bị phân hủy sinh học thành DDE (dicloro
diphenyl dicloroethylen) là một hoạt chất có độc tính cao hơn cả DDT. 9
DDT có tác dụng lên hệ thần kinh của động vật: hệ thần kinh ngoại biên gây
nên các sự rối loạn của hệ thống thần kinh dẫn đến tê liệt. LD50 trên chuột là 113 mg/kg.
Ngoài ra còn có một số hợp chất tương tự như:
- DDD (dicloro diphenyl dicloroethan).
- Methoxychlor (Dimethoxy- DDT, C16H15Cl3O2) ít độc hơn DDT (LD50 trên
chuột là 6000 mg/kg), không gây ung thư, không tích lũy lâu trong mô mỡ (thời
gian mô mỡ của chuột là 2 tuần so với 6 tháng đối với DDT).
1.1.2. Một số dẫn xuất của benzen 1.1.3. Các cyclordien
Mirex là dẫn xuất cyclopantadien, khi vào cơ thể sẽ chuyển hóa thành
clordecon tác động mạnh hơn và đã bị Cục bảo vệ môi trường Hoa Kỳ cấm sử dụng từ năm 1976.
Một số hợp chất khác thuộc nhóm này như Aldrin (LD50 trên chuột, đường
uống là 39-60mg/kg), endrin (LD50 trên chuột đường uống là 3mg/kg), endosulfan
(LD50 trên chuột là 80mg/kg) … có công thức như sau: 10 1.1.4. Các polycloroterpen
Toxaphen là hỗn hợp của khoảng 200 polyclorocamphen được tạo ra qua quá
trinh clor hóa camphen (C10H16) với tổng khối lượng clor chiếm 67–69%. Các hợp
chất này có công thức từ C10H11Cl5 đến C10H6Cl12 (có khối lượng mol khoảng
308-551đvC), với công thức trung bình là C10H10Cl8 (nên còn có tên
octaclorocamphen, khối lượng mol là 414 đvC).
Các hợp chất polycloroterpen có cấu trúc tổng quát như sau: 1.2. Cơ chế gây độc
Các hợp chất cloro hữu cơ thường được tích lũy trong các tổ chức mỡ. Một
số chất khi vào cơ thể sẽ chuyển hóa thành các chất độc hơn tan trong lipid, một
số khác lại chuyển hóa thành các chất ít độc hơn ở dạng acid tan trong nước và
đào thải quả nước tiểu.
Các HCBVTV nhóm clor hữu cơ nói chung có phổ tác dụng rộng, rất an toàn
với cây trồng ở liều thông dụng nhưng lại độc với các loài động vật máu nóng.
Các chất này có khả năng tích lũy trong cơ thể sinh vật gây độc mạn tính, chúng
cũng rất bền trong môi trường và tồn dư lâu dài.
Cơ chế gây độc phụ thuộc vào cấu trúc của chúng. 11
DDT và các chất tương tự là những chất rất độc trên hệ thần kinh thông qua
ức chế các kênh vận chuyển Na+ qua tế bào thần kinh dẫn đến tê liệt và có thể dẫn đến tử vong.
Các cấu trúc dị vòng hoặc vòng chứa nhiều clor như aldrin, dieldrin,
heptachlor, endrin… tác động thông qua việc gắn với các vùng picrotoxinin của
acid γ-aminobutyric (GABA) dẫn đến ức chế ion Cl- vào trong tế bào thần kinh.
Hậu quả là gây nên trạng thái kích thích thần kinh. Các chất này cũng ức chế hoạt
tính ATPase và một số enzyme khác làm tế bào thần kinh bị nhiễm độc. Côn trùng
khi bị nhiễm độc thần kinh lúc đầu có biểu hiện kích động, sau đó co giật và cuối
cùng là tê liệt rồi chết.
1.3. Nhiễm độc, triệu chứng
1.3.1. Nguyên nhân nhiễm độc
Bệnh sử tiếp xúc với hóa chất trừ sâu: phun thuốc, khuân vác, sản xuất, đóng
gói, vận chuyển, tự tử. 1.3.2. Các triệu chứng
Các triệu chứng sớm tại đường tiêu hóa: Cám giác rát miệng, họng. Buồn
nôn, nôn, đau bụng, ỉa chảy.
Các biểu hiện thần kinh - cơ: Run cơ, run giật, yếu cơ, giảm vận động, giảm động tác thể lực.
Biểu hiện thần kinh trung ương: rối loạn ý thức, nói lẫn lộn, vật vã, kích
động, co giật: co giật kiểu cơn động kinh toàn thể đây là dấu hiệu nặng. Nếu co
giật thường xuất hiện 1-2 giờ sau uống thuốc sâu nếu dạ dày rỗng, nhưng có thể
sau 5-6 giờ nếu BN ăn trước uống thuốc sâu.
Biểu hiện tim mạch: Ngoại tâm thu thất, tổn thương nặng gây cơn nhịp
nhanh, rung thất là dấu hiệu tiên lượng nặng.
Biểu hiện tại gan: tổn thương nặng biểu hiện của bệnh cảnh viêm gan nhiễm độc: vàng da, gan to…
Tiến triển lâm sàng: các biểu hiện lâm sàng giảm đi ở những ngày sau do clo
hữu cơ phân phối vào các mô cơ quan. Làm giảm nồng độ trong máu sau đó lại 12
có sự tái phân bố lại từ các mô vào máu gây ngộ độc chậm nên bệnh cảnh ngộ độc
clo hữu cơ có thể kéo dài, gây co giật sau 2-3 tuần. 1.3.2.1. Thể lâm sàng
Ngộ độc clo hữu cơ đường hô hấp: Sau hít vào đường hô hấp bệnh nhân cảm
thấy rát bỏng tại mũi họng, khí quản, biểu hiện như viêm phế quản cấp, ho do kích
thích niêm mạc phế quản, có thể khó thở kiểu hen do co thắt phế quản. Các triệu
chứng khác đi kèm thường nhẹ.
Ngộ độc clo hữu cơ qua da: Ngộ độc qua da phụ thuộc vào nhóm, diện tiếp
xúc và có thể thấy biểu hiện đau đầu, loạn thần, lẫn lộn có thể co giật.
Ngộ độc mạn: Là giai đoạn sau ngộ độc cấp nặng hoặc do thường xuyên tiếp
xúc với clo hữu cơ. Triệu chứng lâm sàng thường kín đáo, có thể gầy sút, suy
nhược, run, thậm chí co giật… thường phải làm các xét nghiệm cần thiết để xác định. 1.3.2.2. Cận lâm sàng
Trong ngộ độc cấp: tìm clo hữu cơ trong nước tiểu bằng phương pháp sắc
ký lớp mỏng. Tốt hơn có thể xét nghiệm clo hữu cơ bằng sắc ký khí trong huyết
thanh, mô mỡ, nước tiểu.
Trong ngộ độc mạn: Tìm clo hữu cơ trong mô mỡ. 1.4. Chẩn đoán
1.4.1. Chẩn đoán xác định
Dựa vào bệnh sử tiếp xúc hóa chất trừ sâu, các triệu chứng lâm sàng co giật,
rối loạn ý thức… và xét nghiệm tìm thấy clo hữu cơ trong nước tiểu.
1.4.2. Chẩn doán phân biệt
- Ngộ độc cấp phospho hữu cơ: có hội chứng Muscarin, giảm hoạt tính cholinesterase.
- Các bệnh lý nội khoa gây co giật: động kinh, viêm não, tai biến mạch não…
- Ngộ độc các HCBVTV gây co giật khác. 1.5. Xử trí 1.5.1. Cách xử trí 13
- Chống toan huyết bằng uống hay tiêm dung dịch kiềm.
- Hồi sức, hỗ trợ hô hấp, tuần hoàn, đặt nội khí quản (nếu cần).
- Chống co giật bằng các barbituric, diazepam, tiêm calci gluconat…
- Ăn ít chất béo, giàu protein và đường.
- Giữ ấm, tránh lạnh đột ngột, đề phòng phù phổi.
1.5.2. Xử trí trong các trường hợp cụ thể
1.5.2.1. Trường hợp nhiễm độc qua đường hô hấp, qua da.
- Đưa nạn nhân ra khỏi nơi nhiễm độc, cởi bỏ quần áo, tắm với nhiều nước và xà phòng.
- Nếu dính vào mắt rửa bằng nước muối sinh lý (NaCl 0,9%) hay nước sạch. - Cho thở oxy nếu cần.
1.5.2.2. Trường hợp nhiễm độc qua đường tiêu hóa.
- Gây nôn hay rửa dạ dày hoặc cho uống thuốc tẩy muối, để bệnh nhân nằm yên tĩnh cho thở oxy.
- Không được dùng thuốc tẩy dầu, không uống sữa, dầu ăn hay rượu. 2. Nhóm phosphor hữu cơ
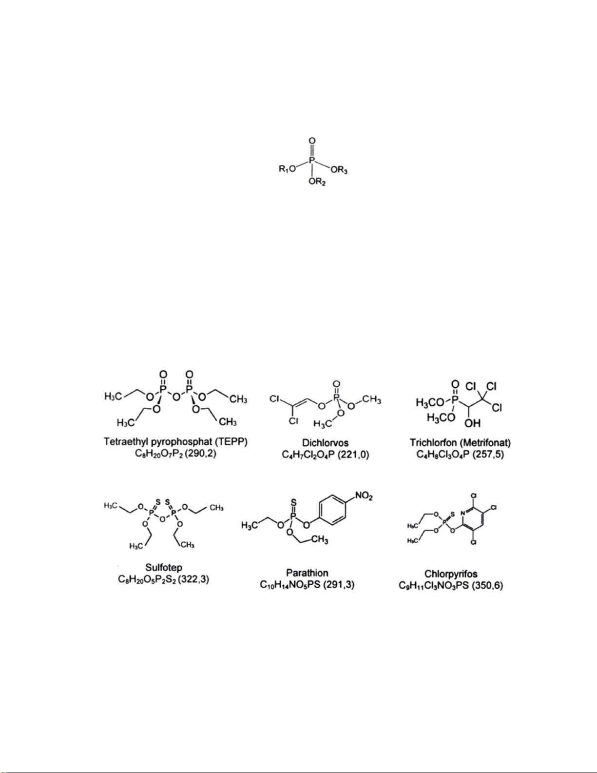
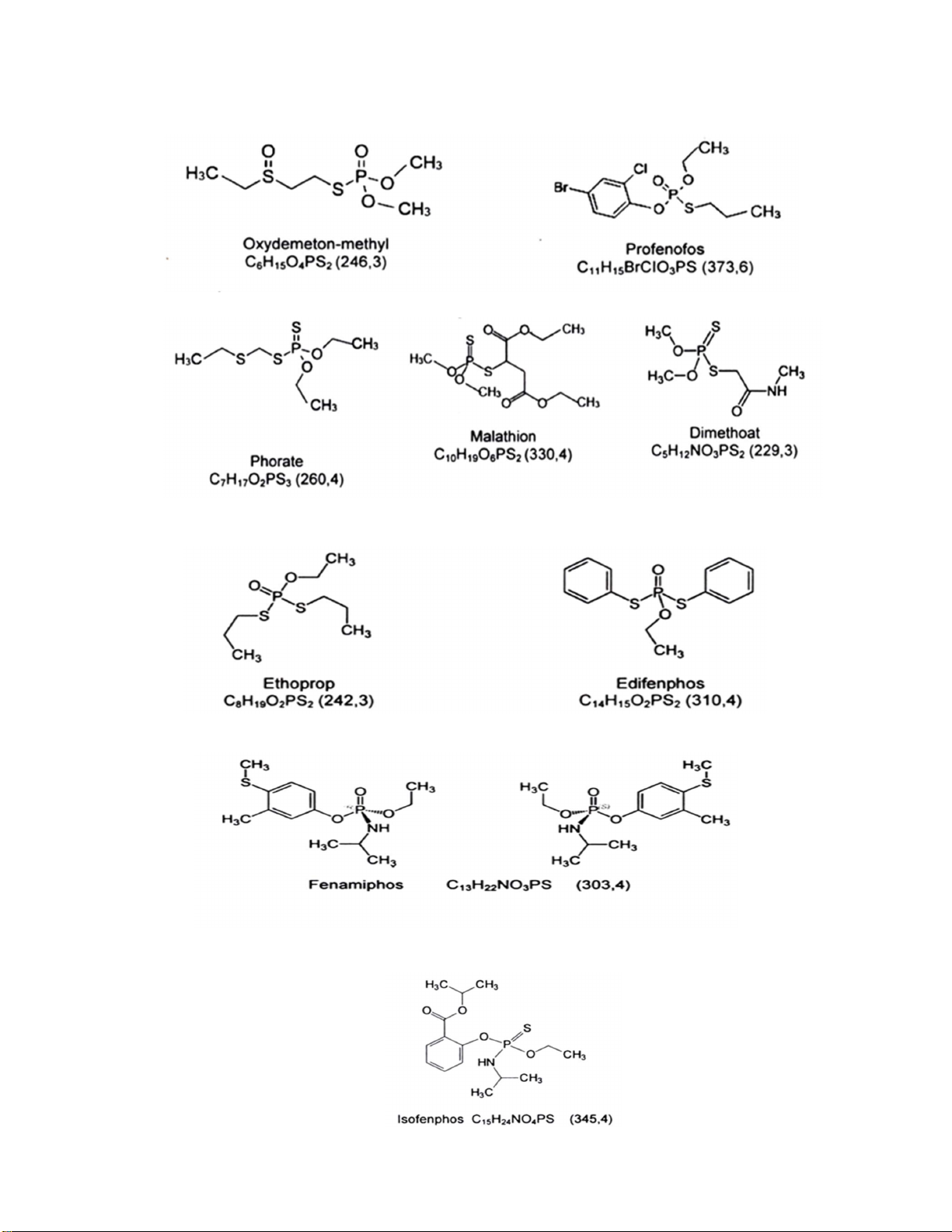
2.1. Khái niệm và phân loại
Các hợp chất photpho hữu cơ (organophosphorus) được nghiên cứu sản xuất
từ năm 1942, khởi đầu như các vũ khí hóa học. Một số chất được sử dụng làm vũ
khí hóa học như: sarin, tabun.
Sarin ((2-Fluoro-methylphosphoryl) oxypropan hay isoprpoyl methyl
fluorophosphat), còn được gọi là GB (theo NATO), là một chất độc cực mạnh.
Việc sản xuất và tích trữ Sarin đã bị cấm theo Hiệp định vũ khí hoá học năm 1993. 14
HCBVTV nhóm phosphor hữu cơ chủ yếu là các hợp chất của phosphor hóa
trị 5, chúng là các ester hoặc amid của acid phosphoric (H3PO4) hoặc dẫn xuất.
Công thức cấu tạo chung của các hợp chất phosphor hữu cơ như sau:
Trong đó R1, R2, R3 có thể là nhóm alkyl, aryl, amino, hay các hợp chất thơm,
dị vòng. Các nguyên tử O trong phân tử có thể được thay thế bằng S hay N để tạo
ra các dẫn xuất thiophosphat, amidat và cũng được xếp vào nhóm này.
Tùy theo sự thay thế các O bởi S, N và gốc ester hay amid mà có thể chia
thành một số nhóm như: phosphat, phosphorothionat, phosphorthinothioltat,
phosphorodithiolat, phosphoroamidat, phosphoroamidothiolat, phosphoroamido – thionat…
Một số HCBVTV thuộc nhóm Phosphat:
Một số nhóm HCBVTV thuộc nhóm Phosphorothionat: 15
Một số nhóm HCBVTV thuộc nhóm Phosphothiolat:
Một số nhóm HCBVTV thuộc nhóm Phosphorothionathiolat:
Một số nhóm HCBVTV thuộc nhóm Phosphodithionat:
Một số nhóm HCBVTV thuộc nhóm Phosphoroamidat:
Một số nhóm HCBVTV thuộc nhóm Phosphoroamidothionat: 16
Một số nhóm HCBVTV thuộc nhóm Phosphoroamidothiolat: 2.2. Cơ chế gây độc
Các HCBVTV nhóm phosphor hữu cơ có đặc điểm chung là phổ tác dụng
rộng, an toàn với cây trồng, diệt được nhiều sâu hại, tác dụng diệt côn trùng nhanh,
có độc tính cao với động vật máu nóng, nhưng không tích lũy lâu dài thường được
thải trừ hóa nhanh qua nước tiểu và thời gian tồn dư trong môi trường không dài.
Quá trình chuyển hóa của các HCBVTV nhóm Phosphor hữu cơ rất khác nhau,
sản phẩm chuyển hóa có thể là một HCBVTV khác của nhóm hữu cơ:
HCBVTV phospho hữu cơ tác động vào thần kinh của côn trùng và người
bằng cách ngăn cản sự tạo thành men cholinestase (ChE) làm cho thần kinh hoạt
động kém, làm yếu cơ, gây choáng váng và chết. Các chất nhóm phospho hữu cơ
gây phosphorin hóa enzym acetylcholinesterase. ChE có tác dụng phân giải
acetylcholin trong cơ chế dần truyền xung động thần kinh qua synap. Khi ChE bị
ức chế, làm ứ đọng acetylcholin, gây rối loạn dẫn truyền cholinergic, làm ức chế
dẫn truyền các xung thần kinh tới các tế bào cơ, tuyến, não và hạch. Nhiễm độc 17
xảy ra cấp tính có thể gây nôn, co thắt ruột, nhức đầu, mệt mỏi, chóng mặt, co
giật, suy hô hấp, hôn mê và tử vong.
Tác dụng gây độc chủ yếu tại chỗ (tác dụng lên phổi do hít phải, tác dụng lên
da, mắt do tiếp xúc…), thường hít phải tác dụng nhanh hơn uống.
Các HCBVTV nhóm phospho hữu cơ được sử dụng phổ biến từ những năm
80 của thế kỉ XX, nhưng do độc tính cao nên rất nhiều chất trong nhóm này đã bị
cấm hoặc hạn chế sử dụng ở Việt Nam và nhiều quốc gia trên thế giới.
2.3. Nguyên nhân nhiễm độc, triệu chứng và cách xử trí
2.3.1. Nguyên nhân nhiễm độc
- Vô tình: có thể do hít phải (như trong các vụ cháy) hay do tiếp xúc qua da
(mang vác, đùa nghịch phun vào nhau, rửa tay không sạch sau khi nhau) hoặc qua
đường tiêu nhau (uống nhầm ăn rau quả xử lý bằng các HCBVTV nhóm phospho
hữu cơ ngắn ngày trước khi thu hái…)
- Chú ý: trong các vụ tự tử hay do được pha vào rượu để tăng độ rượu. 2.3.2. Triệu chứng
2.3.2.1. Triệu chứng lâm sàng
Mùi hơi thở, chất nôn hay chất thấm vào quần áo nạn nhân có mùi hắc như mùi tỏi.
Hội chứng cường cholinergic cấp bao gồm: Hội chứng Muscarinic (M) - Da lạnh, ẩm.
- Tăng tiết (mồ hôi, nước bọt, dịch ruột, dịch phế quản...).
- Đồng tử co nhỏ < 2mm.
- Mạch chậm < 70 lần/phút. - Khó thở, nặng ngực.
- Phổi có ran ẩm, ngáy, rít.
- Đau bụng, buồn nôn, nôn ói, tiêu chảy Hội chứng Nicotinic (N)
- Rung giật cơ, máy cơ, co cứng cơ, liệt cơ (bao gồm cả các cơ hô hấp). 18
- Tăng phản xạ gân xương
- Da lạnh, xanh tái, mạch nhanh, huyết áp tăng, vã mồ hôi, dãn đồng tử.
Hội chứng thần kinh trung ương - Điểm Glasgow giảm. - Rối loạn ý thức. - Co giật
Ngoài ra ngộ độc phospho hữu cơ có thể gây liệt và được chia thành 3 loại:
- Loại I được mô tả là liệt cấp tính do sự khử cực tiếp diễn tại chỗ nối thần kinh cơ.
- Loại II (hội chứng trung gian) xuất hiện sau 72 giờ bắt đầu ngộ độc, liên
quan đến sự yếu của các nhóm cơ gốc chi, cơ gấp cổ và các cơ hô hấp. Hội chứng
trung gian kéo dài 4-18 ngày, có thể cần thông khí cơ học và có thể nặng hơn do
nhiễm trùng hoặc loạn nhịp tim.
- Loại III hay bệnh đa dây thần kinh xảy ra 2-3 tuần sau khi tiếp xúc với liều
lượng lớn phospho hữu cơ với đặc điểm yếu cơ ngọn chi nhiều hơn nhóm cơ gốc
chi. Hồi phục có thể mất đến 12 tháng.
2.3.2.2. Triệu chứng cận lâm sàng
Các xét nghiệm cận lâm sàng:
- Tìm độc chất trong nước tiểu, trong dịch dạ dày, trong máu.
- Xét nghiệm men cholinesterase hàng ngày để theo dõi tiến triển của bệnh,
phân loại độ nặng và làm căn cứ điều chỉnh liều PAM dùng cho bệnh nhân. Các xét nghiệm khác:
- Đo ECG và theo dõi trên monitor để phát hiện rối loạn nhịp.
- Công thức máu, BUN, creatinin, ion đồ, ALT, AST, Amylase máu. 2.3.3. Chẩn đoán
2.3.3.1. Chẩn đoán xác định
- Có bệnh sử uống hoặc tiếp xúc thuốc trừ sâu nhóm phospho hữu cơ.
- Có hội chứng cường cholinergic cấp (một trong ba hội chứng: M, N, TKTW) . 19
- Nồng độ men cholinesterase giảm < 50% giá trị bình thường. Đo
cholinesterase trên màng hồng cầu phản ánh chính xác hơn sự ức chế
Acetylcholine esterase trong hệ thần kinh, nhưng cholinesterase huyết tương dễ
xét nghiệm hơn và đang được sử dụng để đánh giá đáp ứng điều trị tại BV Chợ
Rẫy. Chú ý: nồng độ cholinesterase huyết tương có thể giảm trong các trường
hợp: rối loạn chức năng gan, các bệnh lý tân sinh, phản ứng quá mẫn, sử dụng
một số loại thuốc (ví dụ: succinylcholine, codeine, morphine), mang thai, thiếu hụt di truyền.
- Xét nghiệm độc chất nước tiểu hoặc trong máu, dịch dạ dày (+). Sự thủy
phân các hợp chất phospho hữu cơ trong cơ thể thành alkyl phosphat và phenol
có thể được phát hiện trong nước tiểu khi vừa ngộ độc và kéo dài khoảng 48 giờ.
Tìm para-nitrophenol trong nước tiểu thường gặp ở các loại thuốc thuốc rầy có parathion, chlorthion.
- Chẩn đoán mức độ nặng theo hội chứng lâm sàng và nồng độ men cholinesterase.
Bảng phân loại mức độ ngộ độc phospho hữu cơ:
2.3.3.2. Chuẩn đoán phân biệt
- Ngộ độc thuốc trừ sâu carbamate: thường nhẹ hơn, đáp ứng với vài chục
mg atropin. BN thường hồi phục hoàn toàn sau 48-72 giờ. Không dùng PAM để
điều trị ngộ độc carbamate.
- Ngộ độc thuốc trừ sâu Clo hữu cơ: ChE thường giảm ít hay bình thường,
có tình trạng ngấm atropin rất nhanh sau vài mg. 20