
















Preview text:
ĐƠN ÁNH, TOÀN ÁNH VÀ SONG ÁNH TRONG CÁC BÀI TOÁN VỀ PHƯƠNG TRÌNH HÀM TRẦN NGỌC THẮNG
GV THPT CHUYÊN VĨNH PHÚC I. MỞ ĐẦU
“Toán học không phải là một quyển sách chỉ gói gọn giữa những tờ bìa
mà người ta chỉ cần kiên nhẫn đọc hết nội dung, toán học cũng không phải là
một vùng mỏ quý mà người ta chỉ cần có thời gian để khai thác; toán học cũng
không phải là một cánh đồng sẽ bị bạc màu vì những vụ thu hoạch; toán học
cũng không phải là lục địa hay đại dương mà ta có thể vẽ chúng lại được. Toán
học không có những giới hạn như không gian mà trong đó nó cảm thấy quá
chật chội cho những khát vọng của nó; khả năng của toán học là vô hạn như
bầu trời đầy các vì sao; ta không thể giới hạn toán học trong những quy tắc hay
định nghĩa vì nó cũng giống như cuộc sống luôn luôn tiến hóa”. Sylvester
“Việc quan trọng là không ngừng suy nghĩ. Tính tò mò có lí do riêng của
nó. Con người sẽ bị lo sợ khi suy ngẫm về các bí ẩn của vô tân, đời sống, về cấu
trúc tuyệt vời của thực tế. Nếu người ta mỗi ngày chỉ thấu hiểu một chút về
những bí ẩn này, thì cũng đủ. Hãy đừng bao giờ mất đi sự tò mò thiêng liêng” Abert Einstein
Có thể nói toán học là khoa học của mọi khoa học, toán học là công cụ của
các môn học khác, toán học có vai trò rất quan trọng trong đời sống thực tiễn. Do
đó các lĩnh vực của toán học được quan tâm đặc biệt. Toán học bao gồm nhiều lĩnh
vực khác nhau và nó đều có vai trò và tầm ảnh hưởng khác nhau trong toán học.
Một trong những lĩnh vực rất quan trọng trong toán học đó là lĩnh vực liên quan
đến hàm số, có thể nói hàm số xuất hiện và đóng vai trò quan trọng trong các lĩnh
vực của toán học như: giải tích, hình học, xác suất, phương pháp tính, toán ứng
dụng. .Trong các lĩnh vực liên quan đến hàm số thì các khái niệm về đơn ánh, toàn
ánh và song ánh đóng một vai trò rất quan trọng. Chính vì vậy mà các bài toán về
hàm số liên quan đến song ánh thường xuất hiện trong hầu hết các đề thi olimpiad
của các nước, khu vực và quốc tế. Các bài tập loại này thường rất đa dạng về
phương pháp giải, về mức độ khó, tính mới mẻ. Vì vậy để phân chia thành các
dạng toán cụ thể là rất khó khăn. Tuy nhiên trong bài viết này tôi cố gắng đưa ra
một số bài tập với một số phương pháp giải tương ứng. Do trình độ và thời gian có
hạn bài viết không thể tránh khỏi những sai sót về mặt nội dung và hình thức trình
bày, tôi rất mong muốn nhận được các ý kiến đóng góp từ các thầy cô giáo và các em học sinh.
“Phương trình quan trọng hơn chính trị, vì chính trị cho hiện đại còn
phương trình cho vĩnh cửu” Abert Einstein
Vĩnh Yên, tháng 07-2011 Trần Ngọc Thắng II. NỘI DUNG A. PHẦN LÝ THUYẾT 1. Ánh xạ
1.1. Định nghĩa. Một ánh xạ f từ tập X đến tập Y là một quy tắc đặt tương ứng mỗi
phần tử x của X với một (và chỉ một) phần tử của Y. Phần tử này được gọi là ảnh
của x qua ánh xạ f và được kí hiệu là f(x).
(i) Tập X được gọi là tập xác định của f. Tập hợp Y được gọi là tập giá trị của f.
(ii) Ánh xạ f từ X đến Y được kí hiệu là
(iii) Khi X và Y là các tập số thực, ánh xạ f được gọi là một hàm số xác định trên X (iv) Cho . Nếu
thì ta nói y là ảnh của a và a là nghịch ảnh của y qua ánh xạ f. (v) Tập hợp
gọi là tập ảnh của f. Nói cách khác, tập ảnh
là tập hợp tất cả các phẩn tử của Y mà có nghịch ảnh.
2. Đơn ánh, toàn ánh, song ánh
2.1. Định nghĩa. Ánh xạ
được gọi là đơn ánh nếu với mà thì
, tức là hai phần tử phân biệt sẽ có hai ảnh phân biệt. 2
Từ định nghĩa ta suy ra ánh xạ f là đơn ánh khi và chỉ khi với mà , ta phải có .
2.2. Định nghĩa. Ánh xạ
được gọi là toàn ánh nếu với mỗi phần tử
đều tồn tại một phần tử sao cho
. Như vậy f là toàn ánh nếu và chỉ nếu .
2.3. Định nghĩa. Ánh xạ
được gọi là song ánh nếu nó vừa là đơn ánh
vừa là toàn ánh. Như vậy ánh xạ
là song ánh nếu và chỉ nếu với mỗi
, tồn tại và duy nhất một phần tử để
3. Ánh xạ ngược của một song ánh
3.1. Định nghĩa. Ánh xạ ngược của f, được kí hiệu bởi
, là ánh xạ từ Y đến X
gán cho mỗi phần tử phần tử duy nhất sao cho . Như vậy
3.2. Chú ý. Nếu f không phải là song ánh thì ta không thể định nghĩa được ánh xạ
ngược của f. Do đó chỉ nói đến ánh xạ ngược khi f là song ánh. 4. Ánh xạ hợp
4.1. Định nghĩa. Nếu và và thì ánh xạ hợp được xác định bởi Kí hiệu .
5. Một số kí hiệu : Tập các số tự nhiên
: Tập các số nguyên dương : Tập các số hữu tỷ
: Tập các số hữu tỷ dương : Tập các số nguyên
: Tập các số nguyên dương : Tập các số thực
: Tập các số thực dương.
B. PHẦN BÀI TẬP MINH HỌA
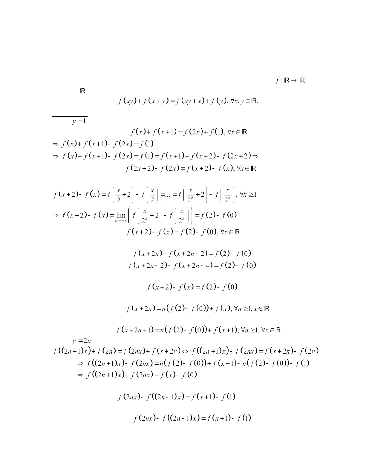
BÀI T11/409 (THTT, THÁNG 07-2011). Tìm tất cả các hàm số , liên tục trên và thỏa mãn điều kiện (1) LỜI GIẢI Thay vào (1) ta được: (2) . Do đó ta thu được: . Từ đó suy ra: (3)
Với n là số nguyên dương và đẳng thức (3) ta thu được: . . . . . . .
Cộng từng vế các đẳng thức trên ta được: (4) Tương tự ta có: (5) Thay
vào (1) và kết hợp với đẳng thức (4) ta được: (6)
Tương tự ta có đẳng thức: (7)
Từ các đẳng thức (6) và (7) ta có: 4 . . . . . . .
Cộng từng vế các đẳng thức trên ta được:
. Kết hợp với đẳng thức (2) ta được: (8) Trong (8) thay ta được: Đặt
. Khi đó với mỗi số nguyên dương n và từ đẳng thức (8) ta được: Với mỗi số hữu tỷ
luôn biểu diễn dưới dạng , trong đó nên
theo đẳng thức (8) và các đẳng trên ta được: (9) Với mỗi
, tồn tại dãy số hữu tỷ
hội tụ đến nên từ đẳng thức (9) và tính liên tục của suy ra
. Thử lại thấy thỏa mãn.
Bài 1 (IMO 1988). Tìm tất cả các hàm thỏa mãn đẳng thức: , với mọi .
Lời giải. Thay
vào đẳng thức trên ta được (1), và từ đẳng thức này ta có: nếu hay suy ra là đơn ánh. Ta có , và do là đơn ánh nên (2).
Từ đẳng thức (2) ta có: , suy ra ; trong đó . Thay
vào phương trình ban đầu ta được . Vậy .
Nhận xét. Bằng cách làm tương tự bài trên ta giải được các bài tập sau:
Bài 2 (Canada 2008). Tìm tất cả các hàm số thỏa mãn đẳng thức: , Với mọi
Bài 3 (Mở rộng Canada 2008). Tìm tất cả các hàm số thỏa mãn đẳng thức: , Với mọi
Bài 4 (Balkan MO 2009). Kí hiệu
là tập hợp các số nguyên dương. Tìm tất cả các hàm thỏa mãn đẳng thức: , Với mọi
Lời giải. Nếu sao cho , suy ra hay là đơn ánh. Dế thấy với mọi ta có: .
Từ đẳng thức kết hợp với phương trình đã cho ta được: , do là đơn ánh nên ta có: (1)
Từ đẳng thức (1) ta có: 6
Cộng từng vế của các đẳng thức trên ta được: (2)
Từ đẳng thức (2) ta suy ra có dạng: (3)
Mặt khác phương trình ban đầu cho ta được: (4)
Từ (3) và (4) ta thu được . Vậy , với mọi .
Nhận xét. Bằng cách làm tương tự ta giải được bài toán sau:
Bài 5 (HSG Lớp 10 Vĩnh Phúc 2011). Kí hiệu
chỉ tập hợp các số tự nhiên. Giả sử
là hàm số thỏa mãn các điều kiện và , với mọi . Tính các giá trị của và .
Bài 6 (Indonesia TST 2010). Xác định tất cả các số thực sao cho có một hàm số thỏa mãn: với mọi . Lời giải. Dễ thấy nếu không thỏa mãn. Do đó , thay vào đẳng thức trên ta được: (1) Từ đẳng thức (1) suy ra
là một toàn ánh nên tồn tại sao cho . Khi
đó từ phương trình ban đầu ta có:,vớimọi (2)
Từ đẳng thức (2) thì sẽ xẩy ra hoặc . +) Nếu
thì không thỏa mãn phương trình ban đầu. +) Nếu thì lấy , với mọi thỏa mãn bài toán. Vậy .
Bài 7 (MEMO 2009). Tìm tất cả các hàm số thỏa mãn đẳng thức: , Với mọi . Lời giải +) Nếu với mọi
, thử vào phương trình đã cho ta thấy thỏa mãn. +) Nếu tồn tại
sao cho f a 0 . Khi đó với sao cho ,
từ phương trình trên thay bởi và lần lượt bởi ta được: (1) và (2). Từ (1) và (2) ta được . Vậy là một đơn ánh. Thay
vào phương trình ta được: ,
sử dụng là đơn ánh ta được . Mặt khác thay
và phương trình và sử dụng ta được: Vậy hoặc .
Bài 8 (T11/407 THTT tháng 5 - 2011). Tìm tất cả các hàm số xác định trên tập , lấy giá trị trong
và thỏa mãn phương trình , với mọi số thực . Lời giải. +) Cho ta được (1) +) Ta chứng minh
là đơn ánh. Thật vậy nếu sao cho (2). Từ (1) và (2) ta có (3). Cho
thay vào phương trình đã cho ta được 8 Từ (4) lần thay bởi ta được
Từ hai đẳng thức này kết hợp với (2) và (3) ta được . Vậy là một đơn ánh. Do đó từ (1) ta có
thử lại thấy thỏa mãn.
Bài 9 (IRAN TST 2011). Tìm tất cả các song ánh sao cho: , Với mọi .(42) Lời giải. Do
là một toàn ánh nên với mỗi tồn tại sao cho .
Khi đó thay vào phương trình ban đầu ta được: (1) Thay
vào phương trình hàm ban đầu và kết hợp với (1) ta được: (2)
Từ (1), (2) và do là đơn ánh nên ta có: . Vậy , với mọi .
Bài 10. Xét tất cả các hàm đơn ánh thỏa mãn điều kiện: , với mọi
. Chứng minh rằng hàm số là một song ánh.(19) Lời giải. Đặt
. Khi đó từ phương trình ban đầu ta được: . Do đó ta có (1) +) Ta chứng minh
là đơn ánh. Thật vậy với sao cho suy ra hay là đơn ánh.
+) Ta chứng minh là toàn ánh. Thật vậy với mọi ta có:
và kết hợp với là một đơn ánh ta thu được:
. Đẳng thức này chứng tỏ là một toàn ánh.
Do đó là một song ánh hay là một song ánh.
Bài 11. Xét tất cả các hàm sao cho
là đơn ánh và là song ánh thỏa mãn điều kiện , với mọi . Chứng minh rằng là một hàm song ánh. Lời giải. +) Ta chứng minh
là đơn ánh. Thật vậy với sao cho suy ra (do
là một song ánh). Từ đó suy ra là một đơn ánh. +) Ta chứng minh
là toàn ánh. Thật vậy với mọi và do là một song ánh nên tồn tại sao cho (do
là đơn ánh). Từ đó suy ra là một toàn ánh. Vậy là một hàm song ánh.
Bài 12. Xét tất cả các hàm
thỏa mãn đồng thời hai điều kiện sau: (i) , với mọi
(ii) Số phần tử của tập hợp là hữu hạn.
Chứng minh rằng là một hàm đơn ánh.(25) Lời giải.
Bằng phương pháp quy nạp ta dễ dàng chỉ ra được (1) Thay
vào phương trình ban đầu ta được . Giả sử sao cho
. Không mất tính tổng quát ta có thể giả sử
. Khi đó theo điều kiện (i) ta được: (2)
Từ (1) và (2) ta thu được: , với mọi . Từ đó kết
hợp với điều kiện (ii) ta suy ra
. Vậy là một hàm đơn ánh.
Bài 13 (Shortlist IMO 2002). Tìm tất cả các hàm số thỏa mãn điều kiện: , với mọi . 10 Lời giải. +) Ta chứng minh
là toàn ánh. Thật vậy, thay vào phương trình ban đầu ta được: , suy ra là toàn ánh.
+) Do là toàn ánh nên tồn tại sao cho +) Thay
vào phương trình ban đầu ta được: (1) +) Do
là toàn ánh nên với mọi tồn tại sao cho . Do đó từ
đẳng thức (1) ta thu được: . Thử lại ta thấy thỏa mãn điều kiện. Vậy
Bài 14. Tìm tất cả các hàm thỏa mãn điều kiện:, với mọi . (17) Lời giải. Với sao cho suy ra . Do đó là một song ánh. Thay
vào phương trình ban đầu ta được: (1) Thay
vào phương trình ban đầu ta được: Suy ra là một toàn ánh. Do đó với mọi thì tồn tại sao cho
. Từ đẳng thức (1) ta có: . Vậy .
Bài 14. Tìm tất cả các hàm
thỏa mãn đồng thời các điều kiện sau: (i) , với mọi (ii) Với mọi tồn tại sao cho (27) Lời giải. Với sao cho
nên từ điều kiện (i) ta được: suy ra là đơn ánh. Thay
vào phương trình ở điều kiện (i) ta được: (1) Thay
vào phương trình ở điều kiện (i) và kết hợp với (1) ta được: (2) Thay bởi
trong phương trình ở điều kiện (i) và kêt hợp với (2) ta được: (3) Với mọi , tồn tại sao cho . Từ đó suy ra với mọi thì . Ta chứng minh
là hàm đồng biến. Thật vậy với và kết hợp với (3) ta có: suy ra là một hàm số đồng biến.
Do hàm số đồng biến và đẳng thức (2) ta thu được: . Vậy .
Bài 14 (France 1995). Cho hàm số
là một song ánh. Chứng minh rằng
tồn tại ba số nguyên dương sao cho và .
Ta sẽ chứng minh bài toán tổng quát hơn bài toán trên. Bài 15. Cho hàm số
là một song ánh. Chứng minh rằng tồn tại bốn số nguyên dương sao cho và . Lời giải.
Do f là một song ánh từ đến nên tồn tại n sao cho .
là tập con khác rỗng của
nên tồn tại phần tử nhỏ nhất
của M, kí hiệu là b, và
. Gọi c là phần tử nhỏ nhất của tập , kí hiệu là c, và
. Từ f là song ánh nên tồn tại sao cho .
Từ đẳng thức trên suy ra . Do đó tồn tại sao cho và . 12
Bài 16 (THTT Tháng 1/2011). Với mỗi , kí hiệu
là số tất cả các song ánh
thỏa mãn điều kiện với mọi thì . 1) Chứng minh rằng là số chẵn với mọi . 2) Chứng minh rằng với và thì . Chứng minh. Ta có
bằng tổng của số các song ánh thỏa mãn và số các song ánh thỏa mãn . Chú ý rằng với thì nên có
cách chọn. Do đó ta có đẳng thức sau: , với chú ý .
1) Bằng quy nạp ta chứng minh được ngay là số chẵn với mọi .
2) Từ đẳng thức trên ta chứng minh dễ dàng đẳng thức: nếu . Từ đó ta suy ra: .
Bài 16. Tìm tất cả các hàm số thỏa mãn điều kiện: , với mọi số thực . (1) Lời giải. Trước hết ta chứng minh
là một hàm đơn ánh. Thật vậy, xét hai số a,b bất kì. Chọn s sao cho . Khi đó phương trình có hai nghiệm pbiệt là có hai nghiệm pbiệt là
Trong (1) lần lượt thay (x,y) bằng ta được: Từ đó nếu
thì a = b suy ra f đơn ánh.
Thay y = 0 trong (1) ta được . Vậy
, trong đó là một hằng số.
C. PHẦN BÀI TẬP ĐỀ NGHỊ
Bài 17. Tìm tất cả các hàm
thỏa mãn các điều kiện sau: (i) là toàn ánh;
(ii) là ước của khi và chỉ khi là ước của .
Bài 18. Tìm tất cả các hàm thỏa mãn điều kiện: , với mọi .
Bài 19 (CH Séc 2006). Tìm tất cả các hàm thỏa mãn điều kiện: , với mọi .
Bài 20 (Rumani 1988). Cho là một toàn ánh và là một đơn
ánh sao cho với mọi số nguyên dương ta có . Chứng minh rằng
Bài 21 (IMO Shortlist 1995). Chứng minh rằng tồn tại một và chỉ một hàm số
sao cho với mọi số nguyên dương ta có:. Tính tổng .
Bài 22. Tìm tất cả các hàm thỏa mãn điều kiện: , với mọi . (9)
Bài 23 (Olimpiad Áo – Balan 1997). Chứng minh rằng không tồn tại hàm số
sao cho với mọi số nguyên ta có .
Bài 24. Xét tất cả các hàm thỏa mãn điều kiện: , với mọi . Chứng minh rằng là một song ánh. (8)
Bài 25. Tìm tất cả các hàm thỏa mãn điều kiện: , với mọi . (13)
Bài 26. Tìm tất cả các hàm thỏa mãn điều kiện: , với mọi . (14)
Bài 27. Tìm tất cả các hàm thỏa mãn điều kiện: , với mọi . (15)
Bài 28 (Olimpic 30-04-2009). Cho hàm số thỏa mãn điều kiện: 14 chia hết cho , với mọi . Chứng minh rằng
lập thành một cấp số cộng với công sai dương.
Bài 29. Có tồn tại hay không một song ánh thỏa mãn điều kiện: ,
với mọi số nguyên dương .
Bài 30. Tìm tất cả các hàm thỏa mãn điều kiện: , với mọi . Chứng minh rằng (11)
Bài 31. Tìm tất cả các hàm thỏa mãn điều kiện: , với mọi . (10)
Bài 32. Tìm tất cả các hàm thỏa mãn điều kiện: , với mọi . (16)
Bài 33. Tìm tất cả các hàm thỏa mãn điều kiện: , với mọi . (20)
Bài 34. Tìm tất cả các hàm thỏa mãn điều kiện: , với mọi . (22)
Bài 35. Tìm tất cả các hàm số thỏa mãn điều kiện: , với mọi (23).
Bài 36. Tìm tất cả các hàm số thỏa mãn điều kiện: , với mọi (24).
Bài 37. Tìm tất cả các hàm số thỏa mãn điều kiện: , với mọi (29)
Bài 38 (Morocco 2011). Tìm tất cả các hàm số thỏa mãn điều kiện: , với mọi
Bài 39. Tìm tất cả các hàm số thỏa mãn điều kiện: , với mọi . (44)
Bài 40 (Shortlist IMO 2007). Tìm tất cả các hàm số thỏa mãn điều kiện: , với mọi .
Bài 41 (Macedonia NMO 2008). Tìm tất cả các hàm đơn ánh thỏa mãn điều kiện: , với mọi .
Bài 42 (Macedonia NMO 2007). Cho
là một số tự nhiên chia hết cho 4. Xác định số song ánh sao cho: , với mọi
Bài 43. Tìm tất cả các hàm số thỏa mãn điều kiện: ,
với mọi số nguyên dương . Bài 44. Cho
là một tập hữu hạn, cho các song ánh thỏa mãn điều kiện với mọi ta có: hoặc hoặc cả hai
đều đúng. Chứng minh rằng với mọi , ta có nếu .
Bài 45 (APMO 1989). Cho hàm số
tăng thực sự , nhận giá trị thực trên tập các
số thực. Giả sử tồn tại hàm ngược
. Tìm tất cả các hàm số như thế sao cho , với mọi số thực .
Bài 46. Cho các hàm số
. Chứng minh rằng hàm số không là một toàn ánh. Bài 47. Cho toàn ánh
. Chứng minh rằng tồn tại hai hàm toàn ánh sao cho .
Bài 48. Tìm tất cả các hàm số thỏa mãn điều kiện: , với mọi . Bài 49. Cho
là hai số nguyên dương. Chứng minh rằng số các toàn ánh bằng . 16
Bài 50 (Shortlist 1996). Cho
là một tập hợp hữu hạn và cho là các toàn ánh từ vào . Đặt , , và giả sử . Chứng minh rằng với , khi và chỉ khi .
Bài 51 (Shortlist 2009). Tìm tất cả các hàm số thỏa mãn điều kiện:
, với mọi số thực và .
Document Outline
- Sylvester
- Abert Einstein
- 1.Ánh xạ
- 2.Đơn ánh, toàn ánh, song ánh
- 3.Ánh xạ ngược của một song ánh
- 4.Ánh xạ hợp
- 5.Một số kí hiệu
- Lời giải.
- Lời giải.
- Lời giải.
- Lời giải.
- Lời giải.
- Lời giải.
- Lời giải.
- Lời giải.
- Lời giải.