Report tài liệu
Chia sẻ tài liệu
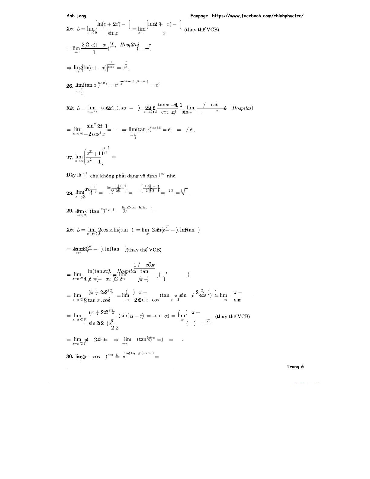
Giới hạn của Hàm Số - Giải Bài Tập Toán Cao Cấp - GIẢI TÍCH I
Giới hạn của Hàm Số - Giải Bài Tập Toán Cao Cấp - GIẢI TÍCH I
Môn: Toán cao cấp 48 tài liệu
Trường: Đại học Bách Khoa Hà Nội 5.7 K tài liệu
Tác giả:
Tài liệu liên quan:
-
Định thức và Các Phép Toán với Ma Trận - Toán Cao Cấp 1
18 9 -
Bài giảng 1: Nguyên lý bao hàm - loại trừ môn Toán cao cấp | Đại học Bách Khoa Hà Nội
41 21 -
Bài giảng Sử dụng ánh xạ trong bài toán đếm môn Toán cao cấp | Đại học Bách Khoa Hà Nội
27 14 -
KTCT-GIỮA-KÌ: Câu Hỏi và Đáp Án Học Tập Toàn Diện
89 45






