Report tài liệu
Chia sẻ tài liệu
Hệ số tương quan Pearson
Hệ số tương quan Pearson. Tài liệu tổng hợp được sưu tầm. Mời các bạn tham khảo.
Môn: Tài liệu Tổng hợp 3.6 K tài liệu
Trường: Tài liệu khác 3.9 K tài liệu
Tác giả:



Tài liệu khác của Tài liệu khác
Preview text:
Hệ số tương quan Pearson: Dùng để đo mức độ mạnh yếu và chiều hướng của mối quan hệ tuyến tính giưa hai biến định lượng.
-Ký hiệu là r (r chạy từ -1 đến 1)
*Lưu ý:r>0 (Tương quan thuận X tăng theo Y), r<0 (Tương quan nghịch X tăng Y giảm ), r=0 thì ko có mối quan hệ tuyến tính và r càng gân 1 và -1 thì mối quan hệ càng chặt chẽ.
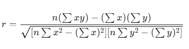
-Công thức định nghĩa (Đo sư biên thiên của x với y có đi cùng nhau ko)

-Công thức thực hành:


Ví dụ: Tìm mối quan hệ tuyến tính giữa giờ học và điểm thi của sinh viên của một trường đại học nọ

-Bảng phân tích:

*
Tài liệu liên quan:
-
Ung dung game hoa trong cac chien dich MKT
30 15 -
Bao cao Chi so TMDT Viet Nam 2025
32 16 -
Thông tư quy định về việc phân quyền, phân cấp và phân định thẩm quyền quản lý nhà nước về giáo dục cho chính quyền địa phương
35 18 -
Nghị quyết về phát huy các giá trị di sản văn hóa gắn với phát triên du lịch bền vững tỉnh Khánh Hòa đến năm 2025, định hướng đến năm 2030
35 18 -
Quyết định phê duyệt Chiến lược phát triển du lịch Việt Nam đến năm 2030
22 11