



















Preview text:
  lOMoAR cPSD| 59220306  
TRƯỜNG ĐẠI HỌC CÔNG NGHỆ TP.HCM 
HƯỚNG DẪN PHẦN THỐNG KÊ 
Giảng viên: ThS. NGUYỄN MINH HẢI 
a) Vào chế ộ thống kê (STAT): w31    lOMoAR cPSD| 59220306            
b) Nhập dữ liệu, kết thúc bước này bấm phím AC.  c) Xuất kết quả  • Cỡ mẫu (n): q141  • Trung bình mẫu ( q142 
• Độ lệch mẫu hiệu chỉnh   q144    lOMoAR cPSD| 59220306 2. Máy 580 VNX 
Bước 1. Vào chế ộ thống kê: w61 
Bước 2: Nhập dữ liệu, sau khi nhập xong bấm phím AC. 
Bước 3. Xuất kết quả:  • Cỡ mẫu (n): TR26  • Trung bình mẫu TR21 
• Độ lệch mẫu hiệu chỉnh TR21 
Chú ý: ể bật cột tần số (Freq) ta làm như sau:    lOMoAR cPSD| 59220306 • Máy 570: qwR41  • Máy 580: qwR31 
• Để làm tròn kết quả ến 4 chữ số thập phân:  • Máy 570: qw64 
 Để trở lại chế ộ bình thường: qw331  • Máy 580: qw314\ 
 Để trở lại chế ộ bình thường: qw331          lOMoAR cPSD| 59220306
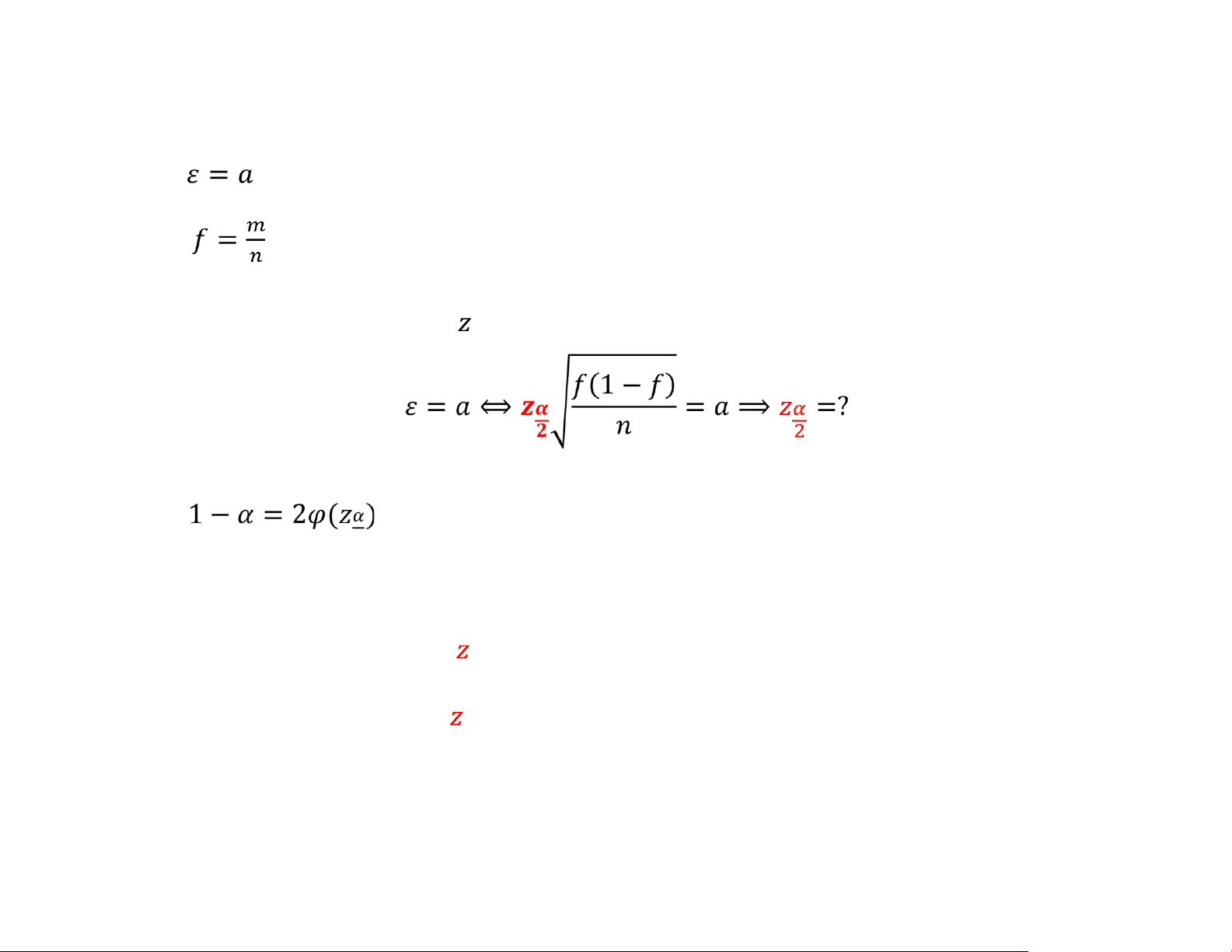
Bài toán 1. Tìm khoảng ước lượng ối xứng cho tỷ lệ tổng thể 1. Từ ề bài, 
xác ịnh cỡ mẫu và số phần tử có tính chất quan tâm . Từ ó, tính   𝒎.  𝒏  2. Xác ịnh ộ tin cậy 
𝟏 𝜶𝟐 𝜶/𝟐 (tra bảng 1-Laplace).    3. Tính    sai số      4. Khi ó    lOMoAR cPSD| 59220306
Bài toán 2. Tìm cỡ mẫu mới ể sai số của ước lượng tỷ lệ là   với ộ  tin cậy   (cho trước).  • Tìm 𝜶/𝟐. 
• Giải phương trình với ẩn      Bài toán 3. Tìm  ộ tin cậy 
 ể ước lượng tỷ lệ có    lOMoAR cPSD| 59220306 sai số  • Tính 
• Giải phương trình sau ể tìm /    • Khi ó    Bấm máy: 
+ 570: w31C2q152 nhập giá trị / = 
+580: w61C2TR42 nhập giá trị / =    lOMoAR cPSD| 59220306    
Khảo sát thu nhập X (triệu ồng/tháng) của 458 nhân viên văn phòng 
thấy có 183 nhân viên có mức thu nhập trung bình. Với ộ tin cậy 95%, 
ước lượng khoảng tin cậy ối xứng cho tỷ lệ nhân viên văn phòng có thu  nhập trung bình.  Giải. Ta có   và  .  Tỷ lệ mẫu      Giải. Ta có  và  .      lOMoAR cPSD| 59220306
Gọi kích thước mẫu mới là  Tỷ lệ mẫu  .  Độ tin cậy    Khi ó    Vậy 
, cần thêm 282-236=46 sinh viên.        lOMoAR cPSD| 59220306
Nhà trường muốn ánh giá số giờ tự học của sinh viên trong tuần. 
Khảo sát 236 sinh viên có 32 sinh viên chăm học. Nếu muốn phép ước 
lượng khoảng ối xứng tỷ lệ sinh viên chăm học ạt ộ chính xác 0.04 với ộ 
tin cậy 95% thì cần khảo sát thêm ít nhất bao nhiêu sinh viên nữa?  • Độ tin cậy  . .  • Sai số:  /   • Khi ó    lOMoAR cPSD| 59220306      
Nhà trường muốn ánh giá số giờ tự học của sinh viên trong tuần. 
Khảo sát 236 sinh viên có 32 sinh viên chăm học. Nếu muốn phép ước 
lượng khoảng ối xứng tỷ lệ sinh viên chăm học ạt ộ chính xác 0.05 thì ộ 
tin cậy của phép ước lượng ó là bao nhiêu?  Giải. Ta có  .    lOMoAR cPSD| 59220306 Tỷ lệ mẫu:  .    8    8  59 1 59      005.   z /2  236   005.   z /2 22436.  Khi ó  . 
Bấm máy (fx580): 2TR422.2436)=    lOMoAR cPSD| 59220306
2. Ước lượng giá trị trung bình 
Bài toán 1. Tìm khoảng ước lượng ối xứng cho giá trị trung bình tổng thể (   • Từ ề bài tìm:   và .  • Từ ộ tin cậy  , tìm 𝜶.  𝟐  • Tính sai số:  𝒔 𝜶/𝟐    • Khoảng ước lượng    cho    lOMoAR cPSD| 59220306
Bài toán 2. Tìm cỡ mẫu mới ể sai số của ước lượng là   với ộ  tin cậy   (cho trước).  • Tìm 𝜶/𝟐. 
• Giải phương trình với ẩn   
Bài toán 3. Tìm ộ tin cậy 
 ể ước lượng giá trị trung bình có sai số      lOMoAR cPSD| 59220306 • Tính   
• Giải phương trình sau ể tìm /    • Khi ó    Bấm máy: 
+ 570: w31C2q152 nhập giá trị / =   
+580: w61C2TR42 nhập giá trị  / =        lOMoAR cPSD| 59220306
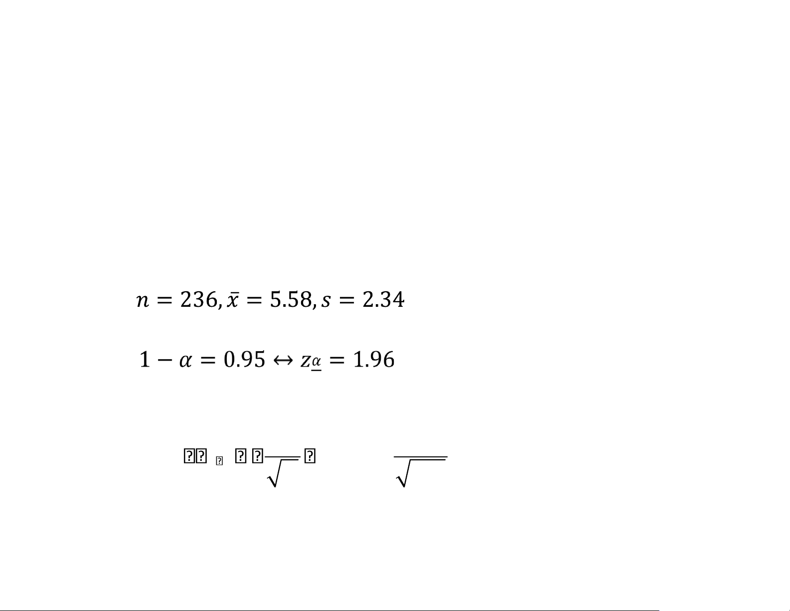
Nhà trường muốn ánh giá số giờ tự học của sinh viên trong tuần. 
Khảo sát 236 sinh viên thấy số giờ tự học trung bình là 5.58 và ộ lệch 
chuẩn là 2.34 giờ. Hãy ước lượng khoảng ối xứng cho số giờ tự học 
trung bình của sinh viên trong tuần với ộ tin cậy 95%.  Giải. Ta có  .  Độ tin cậy:  .  Sai số:  s  234.  z /2 1.96 02985. n  236    lOMoAR cPSD| 59220306 Khoảng ước lượng    52815.  5 785.8     
Để ước lượng khoảng ối xứng cho thu nhập trung bình của công nhân 
trong một tháng, người ta khảo sát 100 công nhân. Biết ộ lệch chuẩn là 
4 triệu/tháng, ộ tin cậy 97%. Để sai số của ước lượng không quá 0.7 
triệu/tháng thì cần khảo sát thêm ít nhất bao nhiêu công nhân?  Giải. Ta có      lOMoAR cPSD| 59220306 Độ tin cậy  .  s   07. 07. z /2  n  4 1537. 6 07 21.   . 7  n  n'  Vậy 
, cần thêm 154-100=54 công nhân.    lOMoAR cPSD| 59220306                   (trong ó𝟎 là con sốược 
ưa ra trong giả thuyết cần kiểm  ịnh)  • Tính. 
• Tính giá trị kiểm ịnh (𝒇 𝒑𝟎) 𝒏    𝒑𝟎(𝟏 𝒑𝟎)  • Tìm/    Nếu  : chấp nhận .        Nếu  bác bỏ  .      lOMoAR cPSD| 59220306    
Công ty X tuyên bố 75 % khách hàng của công ty ưa thích sản phẩm của 
họ. Khảo sát 400 khách hàng thì có 260 người thích sản phẩm. Với mức 
nghĩa 1%, hãy cho biết tuyên bố trên có chấp nhận  ược không? ( Với 
p là tỷ lệ khách hàng ưa thích sản phẩm của công ty X và g là giá trị  kiểm ịnh.  Giải. Ta có  .