






Preview text:
TRƯỜNG ĐH SƯ PHẠM TP.HCM
ĐỀ THI KẾT THÚC HỌC PHẦN KHOA HÓA HỌC
Tên HP: Hoá học Hữu cơ 1 Đề chính thức
Mã HP: CHEM1421 .......................... Số tín chỉ: 4 Đề số 01
Học kỳ: 1 ........................................... Năm học: 2018 – 2019
(Đề thi gồm có 07 trang)
Thời gian làm bài: 90 phút (không kể thời gian phát đề) Số báo danh Họ tên và chữ kí của Số phách (do thí sinh ghi) Cán bộ coi thi thứ 1 Cán bộ coi thi thứ 2
(do Hội đồng chấm thi ghi)
Điểm kết luận của bài thi Họ tên và chữ kí của Số phách Bằng số Bằng chữ
Cán bộ chấm thi thứ 1 Cán bộ chấm thi thứ 2
(do Hội đồng chấm thi ghi) Điểm từng câu:
- Thí sinh làm trực tiếp trên đề.
- Thí sinh không được sử dụng tài liệu.
- Cán bộ coi thi không giải thích gì thêm.
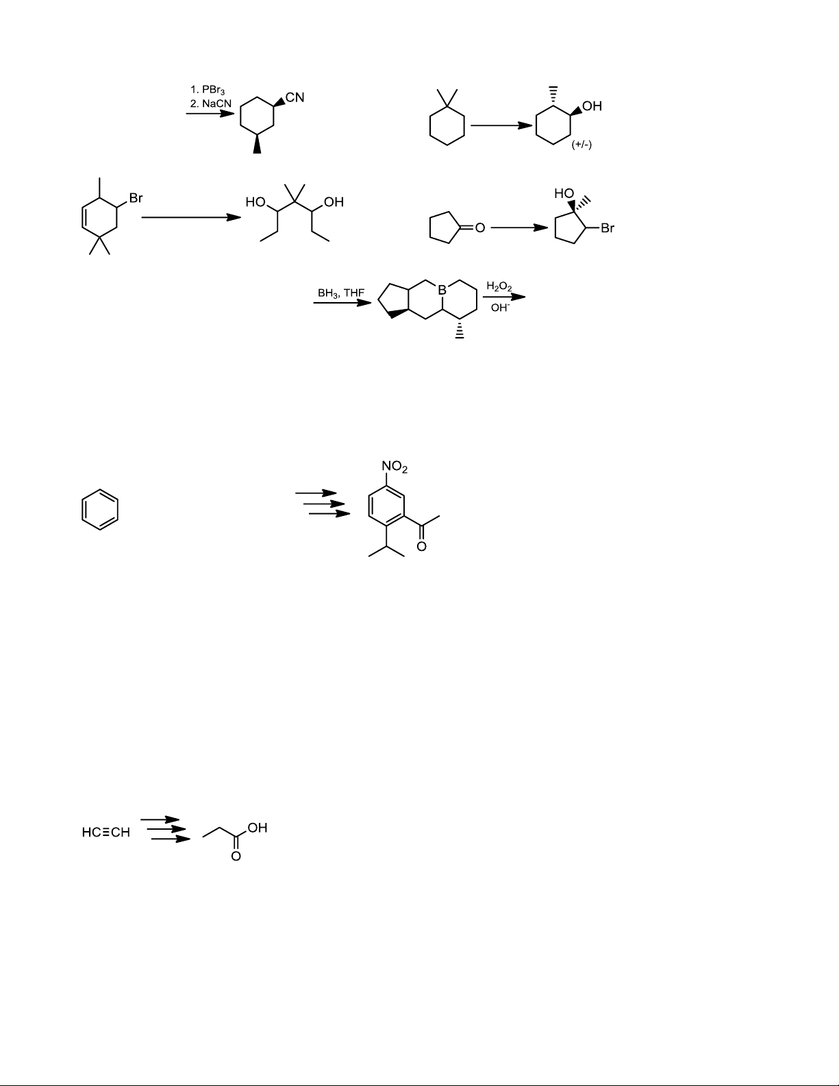
Câu 1. (3,25 điểm). Hãy cho biết cấu trúc của sản phẩm chính hoặc bộ sung chất nền, tác chất trong
mỗi sơ đồ sau (bao gồm cả lập thể ở những phản ứng thích hợp) a) f) b) g) h) c) d) i) e) j) 1 k) l) m) n) o) Câu 2. (2,0 điểm)
Viết sơ đồ tổng hợp (quy trình cho hiệu suất cao nhất) các chất sau từ các chất hữu cơ chỉ định (các
chất vô cơ và điều kiện phản ứng xem như có đủ a) và các chất hữu cơ không quá 3 carbon (0,25 điểm) b) (0,5 điểm) 2 c) (0,5 điểm) d) và các chất hữu cơ không quá 3 carbon (0,25 điểm) e) (0,5 điểm) 3 Câu 3. (0,75 điểm)
Sắp xếp theo thứ tự tăng dần khả năng tham gia phản ứng SN1 của các chất sau. Giải thích. Câu 4. (0,75 điểm)
Một hợp chất hữu cơ Z có công thức phân tử C8H12O phản ứng với lượng thừa ozone, tiếp sau đó là
lượng thừa dimethyl sulfide. Sau khi phản ứng xảy ra hoàn toàn, hỗn hợp sau phản ứng được cho thêm
nước và sử dụng diethyl ether để chiết tất cả các chất không tan trong nước. Sản phẩm thu được trong
pha diethyl ether có cấu trúc như hình bên.
Dựa vào các dữ kiện đã cho ở trên, hãy biện luận để xác định cấu trúc của Z. 4 Câu 5. (1,0 điểm)
Khi thực hiện phản ứng cộng HBr vào 2-pentene cho 3 sản phẩm B1 – B3 là các đồng phân của nhau
với tỉ lệ B1:B2:B3 là 50:25:25.
a) Xác định cấu trúc và gọi tên sản phẩm B1 – B3.
b) Giải thích tỉ lệ các sản phẩm thu được.
c) Cho biết môi quan hệ đồng phân của B1 và B2, B2 và B3. Câu 6. (0,75 điểm)
Cho hợp chất Y có chứa bốn vòng thơm như hình vẽ bên dưới với các vòng thơm được kí hiệu là A, B, C, D. Hãy cho biết:
a) Vòng thơm nào dễ tham gia phản ứng thế electrophile trên vòng thơm (SEAr) nhất? Giải thích.
b) Vòng thơm nào khó tham gia phản ứng thế SEAr nhất? Giải thích.
c) Cấu trúc sản phẩm chính khi cho Y tác dụng với một đương lượng Br2 xúc tác FeBr3. 5 Câu 7. (0,75 điểm)
Các hợp chất D1 – D4 là các đồng phân của nhau và có thể chuyển thành epoxide trong điều kiện base.
Xác định cấu trúc sản phẩm epoxide tương ứng với từng đồng phân. Trong các đồng phân này, những
đồng phân nào dễ thực hiện phản ứng đóng vòng epoxide hơn các đồng phân khác? Giải thích. Câu 8. (0,75 điểm)
Độ bền của các alkene có thể được xác định dựa vào nhiệt hydrogen hoá toả ra khi tiến hành hydrogen
hoá các alkene. Các alkene càng bền khi nhiệt hydrogen hoá toả ra càng thấp. So sánh nhiệt hydrogen
hoá của các alkene sau. Giải thích. 6 7