






Preview text:
KHÔNG GIAN VECTO
1 Vecto, không gian vecto và không gian con
1.1 Vecto n chiều
Vecto n chiều: Mỗi bộ số có thứ tự (x1,x2,...,xn) được gọi là một véc-tơ n chiều.
Có 2 cách để ký hiệu

Hai vec tơ bằng nhau X=Y ⬄ x1=y1; x2=y2;...;xn=yn
1.2 Các phép toán với Véc tơ

1.3 Không gian véc tơ n chiều và không gian con
Không gian véc tơ n chiều là tập hợp tất cả các véc tơ n chiều , trong đó phép cộng và phép nhân với số được xác định và thỏa mãn 8 tính chất ở trên
Kí hiệu Rn
Không gian véc tơ con
Bài tập ví dụ



Hệ vecto độc lập, phụ thuộc tuyến tính

- Z=X+Y

Sau đó ta giải ma trận như bình thường
c)


*) Bài toán xét sự độc lập/phụ thuộc tuyến tính của hệ véc -tơ

Bài tập ví dụ


Các định lý cơ bản về sự phụ thuộc tuyến tính


CƠ SỞ CỦA KHÔNG GIAN VÀ HẠNG CỦA VECTO
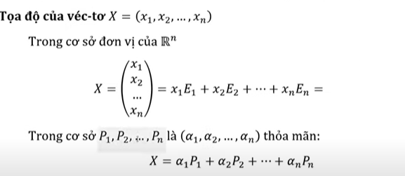
- Cơ sở của không gian véc tơ
Mỗi hệ n vecto độc lập tuyến tính là một cơ sở của không gian Rn
P1,P2,...,Pn
Cơ sở đơn vị ( chính tắc ) của Rn
E1=(1,0,0,...0) ; E2=(0,1,0,....0) ;....; En=(0,0,...,1)

Bài tập ví dụ

- Ta cần chứng minh đây là một hệ gồm 3 vecto và chúng độc lập tuyến tính


Hệ Cramer là hệ có số ẩn bằng số hạng của ma trận