



















Preview text:
KINH TẾ VĨ MÔ A/ LÝ THUYẾT Chương 1:
Câu 1: Nêu (kể tên) các mục tiêu và các chính sách kinh tế vĩ mô chủ yếu?
1/ Các mục tiêu kinh tế vĩ mô chủ yếu:
- Mục tiêu sản lượng:
+ Đạt được sản lượng thực tế cao, tương ứng với mức sản lượng tiềm năng.
+ Tốc độ tăng trưởng cao và vững chắc. - Mục tiêu việc làm:
+ Tạo được nhiều việc làm tốt.
+ Hạ thấp tỉ lệ thất nghiệp và duy trì ở mức thất nghiệp tự nhiên.
- Mục tiêu ổn định giá cả: Hạ thấp và kiểm soát được lạm phát trong điều kiện thị trường tự do.
- Mục tiêu kinh tế đối ngoại:
+ Ổn định tỉ giá hối đoái.
+ Cân bằng cán cân thanh toán.
- Mục tiêu phân phối công bằng: Một số quốc gia coi mục tiêu phân phối công bằng là
một trong các mục tiêu quan trọng.
Nghiên cứu những mục tiêu trên đây, cần lưu ý:
+ Những mục tiêu trên đây thể hiện một trạng thái lý tưởng của nền kinh tế (sản lượng
cao tương ứng với mức sản lượng tiềm năng; thất nghiệp ở mức thất nghiệp tự nhiên; lạm phát
một con số; tỉ giá hối đoái ổn định và cân bằng cán cân thanh toán quốc tế; phân phối công
bằng). Trong thực tế, các chính sách kinh tế vĩ mô chỉ có thể tối thiểu hóa các sai lệch so với trạng thái lý tưởng.
+ Các mục tiêu trên thường bổ sung cho nhau và trong chừng mực nhất định chúng hướng
vào việc đảm bảo sự tăng trưởng sản lượng của nền kinh tế. Tuy nhiên, trong những hoàn cảnh
cụ thể, có thể xuất hiện các xung đột, mâu thuẫn cục bộ. Ví dụ: Các mục tiêu a và c thường mâu
thuẫn với nhau bởi vì khi nền kinh tế tăng trưởng kinh thường kéo theo lạm phát. Các mục tiêu
b và c thường mâu thuẫn nhau bởi vì khi tăng trưởng kinh tế thì thất nghiệp có xu hướng giảm
nhưng lạm phát lại có xu hướng tăng lên.
+ Về mặt dài hạn, thứ tự ưu tiên giải quyết các mục tiêu trên đây cũng khác nhau giữa các
nước. VD: ở các nước đang phát triển thì tăng trưởng kinh tế thường có vị trí ưu tiên số 1, tuy
nhiên nhiều nước đã thành công trong việc giải quyết đồng thời các mục tiêu nêu trên.
2/ Các chính sách kinh tế vĩ mô chủ yếu:
- Chính sách tài khóa:
Chính sách tài khóa là việc Chính phủ sử dụng các công cụ chi tiêu và thu nhập để điều
tiết tổng cầu, nhằm đạt được các mục tiêu về sản lượng, việc làm và phân phối thu nhập.
Chính sách tài khóa có 2 công cụ chính của chính sách tài khóa gồm:
+ Chi tiêu của Chính phủ: Tác động trực tiếp đến quy mô chi tiêu công cộng, từ đó ảnh 1
hưởng đến tổng cầu và sản lượng.
+ Thuế: Làm giảm thu nhập của khu vực tư nhân, dẫn đến giảm chi tiêu và ảnh hưởng
đến tổng cầu và sản lượng.
Trong ngắn hạn (1–2 năm), chính sách tài khóa có thể điều chỉnh sản lượng thực tế và
kiểm soát lạm phát, góp phần ổn định kinh tế. Trong dài hạn, nó giúp tái cấu trúc nền kinh tế,
thúc đẩy tăng trưởng và phát triển bền vững.
- Chính sách tiền tệ: Chính sách tiền tệ tập trung vào việc điều tiết đầu tư tư nhân, nhằm
hướng nền kinh tế đạt mức sản lượng và việc làm mong muốn.
Hai công cụ chủ yếu của chính sách tiền tệ:
+ Lượng cung tiền: Khi Ngân hàng Trung ương điều chỉnh lượng cung tiền, sẽ làm thay đổi lãi suất.
+ Lãi suất: Biến động lãi suất ảnh hưởng đến quyết định đầu tư của khu vực tư nhân, từ
đó tác động đến tổng cầu và sản lượng.
- Chính sách thu nhập: bao gồm hàng loạt các biện pháp mà Chính phủ sử dụng nhằm tác
động trực tiếp đến tiền công, giá cả để kiềm chế lạm phát.
Chính sách thu nhập sử dụng nhiều loại công cụ, từ các công cụ có tính chất cứng rắn như
giá, lương, những chỉ dẫn chung để ấn định tiền công và giá cả, những quy tắc pháp lý ràng
buộc sự thay đổi giá cả và tiền lương… đến những công cụ mềm dẻo hơn như việc hướng dẫn,
khuyến khích bằng thuế thu nhập…
- Chính sách kinh tế đối ngoại: Chính sách kinh tế đối ngoại nhằm ổn định tỷ giá hối đoái
và giữ cho thâm hụt cán cân thanh toán ở mức có thể chấp nhận được.
Chính sách này bao gồm các biện pháp giữ cho thị trường hối đoái cân bằng, các quy định
về hàng rào thuế quan bảo hộ mậu dịch và các biện pháp tài chính, tiền tệ khác nhằm tác động
vào hoạt động xuất nhập khẩu.
Câu 2: Trình bày ngắn gọn về chính sách tài khóa (khái niệm; công cụ; tác động;
phân loại và mục tiêu của chính sách (điều kiện thực hiện)? - Khái niệm:
Chính sách tài khóa là việc Chính phủ sử dụng các công cụ chi tiêu và thu nhập để điều
tiết tổng cầu, nhằm đạt được các mục tiêu về sản lượng, việc làm và phân phối thu nhập.
- Công cụ: Chính sách tài khóa có 2 công cụ chính của chính sách tài khóa gồm:
+ Chi tiêu của Chính phủ: Tác động trực tiếp đến quy mô chi tiêu công cộng, từ đó ảnh
hưởng đến tổng cầu và sản lượng.
+ Thuế: Làm giảm thu nhập của khu vực tư nhân, dẫn đến giảm chi tiêu và ảnh hưởng
đến tổng cầu và sản lượng.
- Phân loại, mục tiêu: Trong ngắn hạn (1–2 năm), chính sách tài khóa có thể điều chỉnh
sản lượng thực tế và kiểm soát lạm phát, góp phần ổn định kinh tế. Trong dài hạn, nó giúp tái
cấu trúc nền kinh tế, thúc đẩy tăng trưởng và phát triển bền vững. - Tác động:
+ Khi nền kinh tế suy thoái, Chính phủ thực hiện CSTK mở rộng nhằm kích cầu (tăng G,
giảm t), kết quả AE tăng sẽ làm sản lượng, việc làm tăng lên. 2
+ Khi nền kinh tế tăng trưởng quá mức, Chính phủ thực hiện CSTK thắt chặt nhằm giảm
tổng cầu (giảm G, tăng t), kết quả AE giảm sẽ làm sản lượng giảm, lạm phát giảm.
Câu 3: Trình bày ngắn gọn về chính sách tiền tệ (khái niệm; công cụ; tác động; phân
loại và mục tiêu của chính sách (điều kiện thực hiện)?
- Khái niệm và tác động: Chính sách tiền tệ tập trung vào việc điều tiết đầu tư tư nhân,
nhằm hướng nền kinh tế đạt mức sản lượng và việc làm mong muốn.
- Công cụ, mục tiêu: Hai công cụ chủ yếu của chính sách tiền tệ:
+ Lượng cung tiền: Khi Ngân hàng Trung ương điều chỉnh lượng cung tiền, sẽ làm thay đổi lãi suất.
+ Lãi suất: Biến động lãi suất ảnh hưởng đến quyết định đầu tư của khu vực tư nhân, từ
đó tác động đến tổng cầu và sản lượng. - Tác động:
+ Khi lãi suất thay đổi sẽ tác động đến các thành tố của tổng chi tiêu.
+ Khi tổng chi tiêu thay đổi nền kinh tế sẽ đạt đc mức sản lượng và việc làm mong muốn. Chương 2:
Câu 4: Nêu và phân tích khái niệm tổng sản phẩm trong nước?
- Khái niệm: Tổng sản phẩm trong nước (GDP) là giá trị thị trường của tất cả các hàng
hóa và dịch vụ cuối cùng được sản xuất ra ở một quốc gia trong một thời kỳ nhất định.
- Phân tích: Tổng sản phẩm trong nước còn được gọi là tổng sản phẩm quốc nội, là tổng
giá trị của các hàng hóa và dịch vụ cuối cùng được sản xuất ra trong phạm vi lãnh thổ quốc gia,
trong một thời kỳ nhất định (thường là một năm).
Như vậy, GDP là kết quả của tất cả mọi hoạt động kinh tế xảy ra bên trong lãnh thổ quốc
gia, bao gồm cả công dân nước đó hay công dân nước ngoài sản xuất ra tại nước đó và không
bao gồm kết quả hoạt động của công dân nước đó có được ở nước ngoài.
Nói GDP là giá trị thị trường, tức là mọi hàng hóa và dịch vụ tạo ra trong nền kinh tế đều
được quy về giá trị tính bằng tiền hay tính theo giá cả của hàng hóa được người mua và người
bán chấp nhận trên thị trường hàng hóa và dịch vụ.
Mặc dù theo lý thuyết, GDP bao gồm tất cả các hàng hóa và dịch vụ được sản xuất ra và
mua bán trao đổi hợp pháp trên thị trường nhưng trên thực tế một số sản phẩm không được tính
trong GDP vì chúng bị bỏ sót, không được mang ra mua bán trao đổi trên thị trường (sản phẩm
tự cung tự cấp) hoặc không tính đến những giá trị giao dịch của những sản phẩm bất hợp pháp.
Hàng hóa và dịch vụ cuối cùng là những sản phẩm cuối cùng của quá trình sản xuất và
chúng được người mua sử dụng dưới dạng sản phẩm hoàn chỉnh – Đó là những hàng hóa bán
cho những người sử dụng cuối cùng. Phân biệt hàng hóa cuối cùng là để khắc phục hiện tượng
tính trùng trong đo lường GDP. + Giá trị thị trường
+ Tất cả các hàng hóa và dịch vụ cuối cùng
+ Được sản xuất ra trong phạm vi lãnh thổ quốc gia
+ Trong 1 thời kỳ nhất định, thường là 1 năm. 3
Câu 5: Kể tên các phương pháp xác định GDP? Trình bày ngắn gọn cách xác định
tổng sản phẩm trong nước theo phương pháp sản xuất?
1/ Các phương pháp xác định GDP:
- Phương pháp chi tiêu:
Theo phương pháp này, GDP bao gồm toàn bộ giá trị thị trường của các hàng hoá và dịch
vụ cuối cùng, mà các hộ gia đình, các doanh nghiệp, chính phủ mua và khoản xuất khẩu ròng
được thực hiện trong một đơn vị thời gian (thường là một năm). GDP = C + I + G + NX Trong đó:
+ C (Consumption): Tiêu dùng của các hộ gia đình về hàng hóa và dịch vụ.
+ I (Investment): Đầu tư của các doanh nghiệp để tái sản xuất mở rộng (gắn với tài sản
cố định mới, hàng tồn kho của doanh nghiệp).
+ G (Government Purchases of goods and services): Chi tiêu về hàng hoá và dịch vụ của
Chính phủ (không bao gồm các khoản chi tiêu mang tính chất thanh toán chuyển nhượng, trợ
cấp (TR) vì không tương ứng với một hàng hoá, dịch vụ nào mới được sản xuất ra trong nền kinh tế).
+ NX (Net exports): Xuất khẩu ròng NX = X – IM Trong đó: X (Exports): Là giá trị hàng
hóa và dịch vụ xuất khẩu ra nước ngoài; IM (Imports): Là giá trị hàng hóa và dịch vụ nhập khẩu từ nước ngoài.
- Phương pháp thu nhập:
GDP tính theo phương pháp thu nhập được tiến hành bằng cách cộng tất cả các khoản thu
nhập mà các doanh nghiệp trả cho các hộ gia đình khi cung cấp các dịch vụ tạo ra các yếu tố
sản xuất (lao động, vốn, đất đai) và các tài sản đầu vào cho thuê khác mà doanh nghiệp thuê.
Đó là: tiền công trả công trả cho lao động, tiền lãi trả cho những khoản vốn vay, tiền thuê đất
và tài sản và lợi nhuận trả cho các chủ sở hữu doanh nghiệp.
Các khoản mục thu nhập theo yếu tố thể hiện trong các tài khoản thu nhập quốc dân và sản phẩm là:
+ W (Compensation of employees): Thù lao lao động – là toàn bộ các khoản thanh toán
mà doanh nghiệp phải trả cho dịch vụ lao động. Nó bao gồm: tiền công và tiền lương ròng (còn
gọi là “trả đem về nhà”) mà công nhân nhận được hàng tháng, thuế thu nhập bị giữ lại, các
khoản phúc lợi phụ như an sinh xã hội và các khoản đóng góp vào quỹ hưu trí.
+ i (Net interest): Tiền lãi ròng – là toàn bộ các khoản lãi tính trên các khoản vốn hộ gia đình cho vay.
+ R (Rental income): Thu nhập từ tiền cho thuê tài sản – là khoản tiền thanh toán cho việc
sử dụng đất đai và các yếu tố đầu vào đã thuê khác. Nó bao gồm cả tiền thuê nhà tính theo giá
thuê cho chính gia chủ ở trong căn nhà đó.
+ Pr (Profit): Lợi nhuận doanh nghiệp – là toàn bộ lợi nhuận doanh nghiệp có được. Một
phần của những khoản lợi nhuận này được trả cho các hộ gia đình dưới dạng cổ tức và một
phần được doanh nghiệp giữ lại dưới dạng lợi nhuận không phân phối dành để tiếp tục đầu tư.
Tổng cộng các khoản thu nhập theo các yếu tố trên lại với nhau ta được chỉ tiêu thu nhập 4
trong nước ròng theo chi phí yêu tố (Net domestic income at factor cost).
Thu nhập ròng theo chi phí yếu tố = W + i + R + Pr
Do vậy, để tính GDP theo cách tiếp cận thu nhập theo yếu tố cần phải cộng thuế gián thu
vào tổng thu nhập theo yếu tố sản xuất và trừ đi các khoản trợ cấp sản xuất hay cộng với thuế gián thu ròng.
Te (Net expenditure Tax): Thuế gián thu ròng = Thuế gián thu – Trợ cấp
Sản phẩm trong nước ròng theo giá thị trường = W + I + R + Pf + Te
Tổng chi tiêu (AE – Aggregate Expenditures): AE = C + I + G + NX
Tổng thu nhập (AI – Aggregate Incomes): AI = W + i + R + Pr + Te + Dep (Dep – là
khoản khấu hao tài sản) AE = AI = GDP
- Phương pháp sản xuất:
Ngoài 2 phương pháp trên, để tránh tình trạng tính trùng, còn có thể tính GDP theo
phương pháp sản xuất, còn được gọi là phương pháp giá trị gia tăng.
Giá trị gia tăng (Value Added – VA) là khoản chênh lệch giữa giá trị sản lượng của một
doanh nghiệp với khoản mua vào về vật liệu và dịch vụ từ các doanh nghiệp khác, mà đã được
dùng hết trong việc sản xuất ra sản lượng đó. Nói cách khác, VA là tổng thu nhập (bao gồm cả
lợi nhuận) trả cho các yếu tố sản xuất đã được doanh nghiệp sử dụng để tạo ra sản lượng.
Giá trị gia tăng của một doanh nghiệp là số đo phần đóng góp của doanh nghiệp đó vào
tổng sản lượng của nền kinh tế. Tổng giá trị gia tăng của mọi đơn vị sản xuất và dịch vụ trong
vòng một năm là tổng sản phẩm trong nước GDP.
2/ Cách xác định tổng sản phẩm trong nước theo phương pháp sản xuất:
Theo phương pháp này, GDP được tính bằng cách cộng tất cả các khoản giá trị gia tăng
của mọi công đoạn sản xuất trong nước. n GDP = VAi i 1 =
+ Giá trị gia tăng (Value Added – VA) là khoản chênh lệch giữa giá trị sản lượng của một
doanh nghiệp với khoản mua vào về vật liệu và dịch vụ từ các doanh nghiệp khác, mà đã được
dùng hết trong việc sản xuất ra sản lượng đó. Nói cách khác, VA là tổng thu nhập (bao gồm cả
lợi nhuận) trả cho các yếu tố sản xuất đã được doanh nghiệp sử dụng để tạo ra sản lượng.
+ Giá trị gia tăng của một doanh nghiệp là số đo phần đóng góp của doanh nghiệp đó vào
tổng sản lượng của nền kinh tế. Tổng giá trị gia tăng của mọi đơn vị sản xuất và dịch vụ trong
vòng một năm là tổng sản phẩm trong nước GDP. n
+ Trong nền kinh tế mở thì:: GDP = VA + i Thuế nhập khẩu i 1 = Chương 3:
Câu 6: Nêu khái niệm tổng cầu, tổng cung? 1/ Tổng cầu:
- Khái niệm: Tổng cầu là tổng khối lượng hàng hóa và dịch vụ được sản xuất trong nước 5
mà các tác nhân kinh tế sẵn sàng và có khả năng mua tại mỗi mức giá.
- Phân tích khái niệm:
Tổng cầu được kí hiệu: AD (Aggregate Demand)
AD = C + I + G + X – IM = C + I + G + NX Trong đó:
+ C là cầu tiêu dùng của hộ gia đình.
+ I là cầu đầu tư, bao gồm: các khoản doanh nghiệp chi cho xây dựng nhà xưởng mới,
mua sắm máy móc thiết bị mới và bổ sung thêm vào hàng tồn kho; hộ gia đình mua nhà ở mới.
+ G là chi tiêu của Chính phủ, bao gồm cả hàng hóa và dịch vụ do Chính phủ mua cho
tiêu dùng hiện tại (tiêu dùng công) và hàng hóa và dịch vụ cho các lợi ích tương lai như sân
bay, bến cảng, đường cao tốc… (đầu tư công)
+ NX là cầu xuất khẩu ròng, đó là chênh lệch giữa lượng hàng hóa và dịch vụ được sản
xuất trong nước mà người nước ngoài sẵn sàng và có khả năng mua (tức là cầu xuất khẩu – X)
và lượng hàng hóa và dịch vụ sản xuất ở nước ngoài mà các hộ gia đình, doanh nghiệp và chính
phủ trong nước sẵn sàng và có khả năng mua (tức là cầu trong nước về hàng nhập khẩu – IM)
Như vậy, tổng cầu bao gồm cầu tiêu dùng của các hộ gia đình, cầu đầu tư của khu vực tư
nhân, chi tiêu của chính phủ và xuất khẩu ròng.
Tổng mức cầu phụ thuộc vào giá cả, thu nhập của dân chúng, dự đoán của các doanh
nghiệp, các biến chính sách như: thuế, tài khóa, tiền tệ… 2/ Tổng cung:
- Khái niệm: Tổng cung là lượng hàng hóa và dịch vụ mà các doanh nghiệp sẵn sàng và
có khả năng sản xuất trong nước tại mỗi mức giá.
- Phân tích khái niệm:
Lượng tổng cung phụ thuộc vào quyết định của các doanh nghiệp trong việc sử dụng lao
động và các nguồn lực khác để sản xuất ra hàng hóa và dịch vụ bán cho các hộ gia đình, chính
phủ và các doanh nghiệp khác cũng như để xuất khẩu.
Tổng cung bao gồm tổng khối lượng sản phẩm mà các doanh nghiệp sẽ sản xuất và bán
ra trong một thời kỳ tương ứng với giá cả, khả năng sản xuất và chi phí sản xuất đã cho.
Tổng cung phụ thuộc vào giá cả và chi phí. Khi giá cả và chi phí thấp, các doanh nghiệp
có thể sản xuất ít hơn sản lượng tiềm năng (Sản lượng tiềm năng là sản lượng tối đa mà nền
kinh tế có thể sản xuất ra trong điều kiện toàn dụng nhân công mà không gây nên lạm phát.
Sản lượng tiềm năng phụ thuộc vào việc sử dụng các yếu tố sản xuất, đặc biệt là lao động). Với
mức giá cả cao hơn, thì ngược lại. Các doanh nghiệp luôn muốn tăng sản lượng của mình để
đạt tới sản lượng tiềm năng. Do vậy, ngoài yếu tố giá cả và chi phí, tổng cung cũng chịu ảnh
hưởng của các yếu tố làm tăng sản lượng tiềm năng. Đó là các yếu tố: lao động, vốn, tài nguyên thiên nhiên, công nghệ.
Tổng cung được kí hiệu: AS (Aggregate Supply).
Câu 7: Giải thích vì sao nền kinh tế lại biến động trong ngắn hạn?
Nguyên nhân chính: Khi tổng cung, tổng cầu thay đổi sẽ gây ra biến động kinh tế trong ngắn hạn. 6 + Cú sốc cầu
Giả sử, ban đầu nền kinh tế ở trạng thái cân bằng tại mức sản lượng tự nhiên (điểm cân
bằng A) và mức giá là P0, nếu chi tiêu của công chúng giảm đi sẽ làm giảm tổng cầu (trên đồ
thị đường tổng cầu dịch chuyển từ AD0 sang AD1)
Trong ngắn hạn, nền kinh tế di chuyển dọc theo đường tổng cung ngắn hạn AS0 từ A đến
B, tại điểm cân bằng mới (điểm B) nền kinh tế có sản lượng mới là Y1 và mức giá mới là P1.
Sự cắt giảm chi tiêu của công chúng làm sụt giảm sản lượng, do đó các doanh nghiệp sẽ cắt
giảm một số việc làm nên thất nghiệp có xu hướng tăng lên.
Trong tình huống suy thoái kinh tế này, nếu các nhà hoạch định chính sách thực hiện các
biện pháp kích thích tổng cầu sẽ làm cho đường tổng cầu dịch chuyển sang bên phải để đưa nền
kinh tế trở về trạng thái cân bằng ở điểm A ban đầu.
Ngay cả khi các nhà hoạch định chính sách không can thiệp thì nền kinh tế thị trường
cũng sẽ có cơ chế tự điều chỉnh, tự phục hồi sau một khoảng thời gian. Cụ thể, do mức giá đã
giảm xuống tới P1 nên làm thay đổi nhận thức về tiền lương và giá cả, chi phí sản xuất giảm
xuống nên các doanh nghiệp sẽ gia tăng sản lượng, tổng cung tăng lên. Theo thời gian, đường
tổng cung AS dịch chuyển từ AS0 ban đầu sang AS1 và nền kinh tế thiết lập trạng thái cân bằng
mới tại điểm C (điểm mà đường tổng cầu AD1 cắt đường tổng cung dài hạn (ASLR). Tại điểm
cân bằng dài hạn C, sản lượng trở lại mức sản lượng tự nhiên (Y*) và mức giá mới là P2. Như
vậy, trong dài hạn, sự dịch chuyển của đường tổng cầu chỉ làm thay đổi mức giá mà không làm
thay đổi sản lượng và việc làm.
Tóm lại, sự dịch chuyển của đường tổng cầu trong ngắn hạn sẽ gây ra sự biến động về
sản lượng và việc làm; còn trong dài hạn sẽ ảnh hưởng tới mức giá chung nhưng không ảnh
hưởng đến sản lượng và việc làm. + Cú sốc cung
Khi có sự thay đổi giá cả của các yếu tố đầu vào hay sự thay đổi các nguồn lực trong nền
kinh tế sẽ làm thay đổi tổng cung và gây ra các cú sốc cung.
Các cú sốc làm giảm tổng cung được gọi là cú sốc cung bất lợi, ví dụ như biến đổi khí
hậu theo hướng cực đoan, công nhân đình công đòi tăng quyền lợi, các cam kết hạn chế sản
lượng khai thác… Các cú sốc cung bất lợi làm tăng chi phí sản xuất, làm giảm tổng lượng cung
Giả sử, ban đầu nền kinh tế ở trạng thái cân bằng tại mức sản lượng tự nhiên Y* (điểm
cân bằng A) và mức giá là P0, nếu chi phí sản xuất tăng sẽ gây ra cú sốc cung bất lợi (trên đồ
thị đường tổng cung dịch chuyển từ AS0 sang AS1).
Trong ngắn hạn, nền kinh tế di chuyển dọc từ điểm A đến điểm B theo đường tổng cầu
AD0, khi đó nền kinh tế tạm thời cân bằng tại điểm B và xác lập mức sản lượng cân bằng mới
là Y1 và mức giá mới là P1.
Khi nền kinh tế rơi vào suy thoái vì vừa có sản lượng giảm và mức giá tăng, các nhà
hoạch định chính sách thường có cách chính sách nhằm tăng tổng cầu để dịch chuyển đường
tổng cầu. Cụ thể, đường tổng cầu sẽ dịch chuyển từ AD0 sang AD1. Tại điểm cân bằng C, sản
lượng được duy trì ở mức ban đầu nhưng mức giá tiếp tục tăng lên đến P2.
Nếu muốn triệt tiêu tác động bất lợi của cú sốc cung này đến mức giá, các nhà hoạch định 7
chính sách cần chủ động cắt giảm tổng cầu. Khi đó đường tổng cầu sẽ dịch chuyển từ AD0 sang
AD2 và nền kinh tế cân bằng tại điểm D, tại đó mức giá được duy trì ở mức P0 ban đầu nhưng
sản lượng giảm xuống mức Y2.
=> Tóm lại, sự dịch chuyển của đường tổng cung có thể làm thay đổi mức giá chung và
sản lượng, thậm chí có thể gây ra suy thoái kinh tế vì vừa lạm phát và vừa giảm sản lượng và
các nhà hoạch định chính sách, những người có thể ảnh hưởng đến tổng cầu không thể đồng
thời làm triệt tiêu cả hai ảnh hưởng bất lợi này.
Câu 8: Giải thích và dùng đồ thị AD – AS để minh họa việc các mục tiêu sản lượng,
việc làm và mức giá chung xung đột nhau khi Chính phủ thực hiện chính sách tài khóa mở rộng?
Khi nền kinh tế rơi vào thời kỳ suy thoái (sản lượng thấp, thất nghiệp tăng), người tiêu
dùng không muốn tiêu dùng thêm, các doanh nghiệp không muốn đầu tư thêm nên tổng cầu ở
mức rất thấp. Lúc này để mở rộng tổng cầu, Chính phủ phải tăng chi tiêu và (hoặc) giảm thuế
để nâng cao mức chi tiêu chung của nền kinh tế. Nhờ số nhân chi tiêu nên sản lượng và việc làm sẽ tăng lên.
Cán cân ngân sách Chính phủ thường được coi là một chỉ báo về chính sách tài khóa và
được tính bằng chênh lệch giữa tổng thu nhập mà Chính phủ nhận được trừ đi tất cả các khoản
mục chi tiêu mà Chính phủ thực hiện trong một thời kỳ nhất định.
Chi tiêu của Chính phủ về hàng hóa và dịch vụ là bộ phận chính của chi ngân sách, còn
thuế là nguồn chủ yếu của thu ngân sách. Ta có: B = T − G
Trong đó: B là ngân sách Chính phủ, T là thuế ròng, G là chi tiêu của Chính phủ.
+ Khi B > 0: Ngân sách thặng dư
+ Khi B = 0: Ngân sách cân bằng
+ Khi B < 0: Ngân sách thâm hụt T, G G G Y Y G Chương 4:
Câu 9: Nêu khái niệm tổng chi tiêu; khái niệm đường tổng chi tiêu? 1/ Tổng chi tiêu:
+ Khái niệm: Tổng chi tiêu (Aggregate expenditure) là tổng các khoản chi tiêu để mua
hàng hóa và dịch vụ cuối cùng trong nền kinh tế. Tổng chi tiêu kí hiệu là E hoặc AE. 8
+ Phân tích: Do đó, tổng chi tiêu (Aggregate Expenditure) là tổng các khoản chi tiêu
được thực hiện trong nền kinh tế bởi các tác nhân trong một khoảng thời gian nhất định. Đó là
chi tiêu tiêu dùng, chi tiêu đầu tư dự kiến và chi tiêu của chính phủ trong nền kinh tế. Trong bối
cảnh nền kinh tế mở, tổng chi tiêu cũng bao gồm sự khác nhau giữa xuất khẩu và nhập khẩu.
Công thức xác định tổng chi tiêu như sau:
EA = CA + IA + GA + XA – MA = GDP
EP = CP + IP + GP + XP – MP = AD
Trong đó: CA, IA, GA, XA, MA là mức thực hiện của chi tiêu cho tiêu dùng, đầu tư, mua
hàng của chính phủ, xuất khẩu và nhập khẩu, còn CP, IP, GP, MP là các đại lượng dự kiến
tương ứng. Vì tổng mức chi tiêu thực hiện (EA) phải bằng giá trị sản lượng (GDP) và tổng mức
chi tiêu sự kiến (EP) chính là tổng cầu (AD).
2/ Đường tổng chi tiêu: Đường tổng chi tiêu (AE) là đường biểu diễn mối quan hệ giữa
lượng tổng chi tiêu tại mỗi mức sản lượng hay thu nhập quốc dân (với giả thiết giá cả cho trước).
Câu 10: Nêu (kể tên) các đặc điểm của đường tổng chi tiêu? Giải thích các đặc điểm
của đường tổng chi tiêu?
Các thành phần của đường tổng chi tiêu:
Theo vào công thức trên, có thể thấy các thành phần cấu thành tổng chi tiêu bao gồm: chi
tiêu hộ gia đình, đầu tư, chi tiêu của chính phủ, xuất khẩu và nhập khẩu. Trong đó:
Tiêu dùng hộ gia đình hay chi tiêu hộ gia đình (C): Đây là tổng số tiền mà các cá nhân
chi cho hàng hóa và dịch vụ trong suốt một năm.
Đầu tư (I): Đây là số tiền mà người dân và doanh nghiệp đầu tư vào chi tiêu vốn. Đây là
những thứ như máy móc sản xuất mới, cải tiến bất động sản và mua các tòa nhà.
Chi tiêu của chính phủ (G): Đây là tổng số tiền mà chính phủ đã chi.
Xuất khẩu ròng (NX): Xuất khẩu ròng được xác định bằng cách trừ tổng nhập khẩu của
một quốc gia khỏi tổng xuất khẩu (NX = X M). Đây là thành phần duy nhất có thể là một số
âm. Xuất khẩu ròng mang giá trị âm nếu nhập khẩu lớn hơn xuất khẩu.
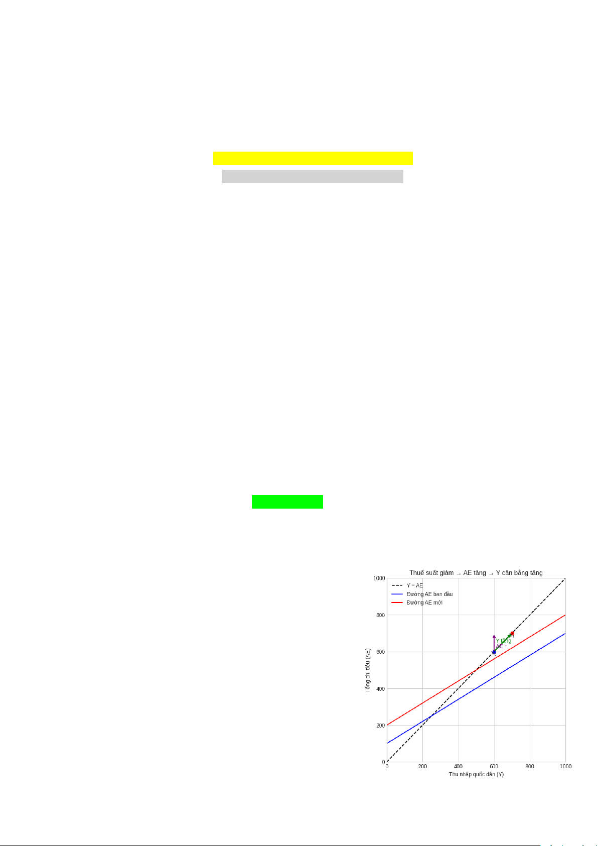
Câu 11: Giải thích và mô tả trên đồ thị sự thay đổi của đường tổng chi tiêu và sản
lượng cân bằng khi thuế suất thuế thu nhập quốc dân (t) giảm đi? 1/ Giải thích:
+ Thu nhập khả dụng tăng lên Khi thuế suất giảm,
phần thu nhập bị trích nộp cho ngân sách nhà nước giảm
→ hộ gia đình giữ lại nhiều hơn → tiêu dùng (C) tăng.
+ Tổng chi tiêu (AE) tăng. Vì tiêu dùng là thành
phần lớn nhất trong tổng chi tiêu, nên khi C tăng → AE
tăng → đường AE dịch chuyển lên trên.
+ Sản lượng cân bằng (Y) tăng sản lượng cân
bằng là điểm giao giữa đường AE và đường 45 độ (Y =
AE). Khi AE dịch chuyển lên, điểm giao mới nằm ở
mức sản lượng cao hơn → Y tăng lên.
2/ Minh họa đồ thị: (ảnh bên phải =>) 9
Câu 12: Hãy giải thích vì sao chính sách tài khóa trong thực tiễn lại tỏ ra kém hiệu
quả hơn so với lý thuyết?
Do các nguyên nhân cơ bản sau:
+ Độ trễ thời gian: Chính sách mất nhiều thời gian để nhận diện, thông qua và thực thi
→ hiệu lực thường đến muộn.
+ Hiệu ứng lấn át (crowding out): Chi tiêu công tăng làm lãi suất tăng → đầu tư tư nhân
giảm → giảm hiệu quả kích cầu.
+ Kỳ vọng của người dân và doanh nghiệp: Người dân có thể tiết kiệm thay vì tiêu dùng
nếu lo ngại thuế sẽ tăng trở lại.
+ Nền kinh tế mở: Một phần cầu tăng thêm bị rò rỉ ra nhập khẩu → GDP trong nước tăng ít hơn dự kiến.
+ Ràng buộc ngân sách và nợ công: Chính phủ không thể chi tiêu tùy ý nếu thâm hụt và
nợ công cao → hạn chế phạm vi chính sách.
=> Kết luận: Chính sách tài khóa trong thực tế bị chi phối bởi nhiều yếu tố ngoài mô hình
lý thuyết, nên hiệu quả thường thấp hơn kỳ vọng. Chương 5:
Câu 13: Nêu (kể tên) các công cụ chủ yếu để điều tiết mức cung tiền của ngân hàng
Trung ương? Lựa chọn một trong các công cụ vừa nêu để phân tích tác động của công cụ
đó đối với sự thay đổi của lãi suất tiền tệ?
1/ Các công cụ chủ yếu điều tiết mức cung tiền của ngân hàng Trung ương:
- Nghiệp vụ thị trường mở:
Thị trường mở là thị trường tiền tệ để mua và bán các giấy tờ có giá (trái phiếu) giữa ngân
hàng trung ương và ngân hàng thương mại.
Ở hầu hết các quốc gia, trái phiếu chính phủ thường được ngân hàng trung ương sử dụng
để giao dịch trên thị trường mở. Hoạt động mua, bán trái phiếu chính phủ thông qua trung gian ngân hàng thương mại.
+ Khi ngân hàng Trung ương mua trái phiếu, dự trữ của ngân hàng thương mại tăng lên,
khả năng cho vay của ngân hàng thương mại tăng lên, cung tiền tăng lên.
+ Khi ngân hàng Trung ương bán trái phiếu, dự trữ của ngân hàng thương mại giảm đi,
khả năng cho vay của ngân hàng thương mại giảm đi, cung tiền giảm đi.
- Tỷ lệ dự trữ bắt buộc (rb):
Tỷ lệ dự trữ bắt buộc là tỷ lệ dự trữ tối thiểu mà các ngân hàng thương mại phải duy trì
theo quy định của ngân hàng trung ương.
+ Khi tỷ lệ dự trữ bắt buộc giảm sẽ làm tăng khả năng cho vay của ngân hàng thương
mại, cung tiền tăng lên.
+ Khi tỷ lệ dự trữ bắt buộc tăng lên sẽ làm giảm cung tiền.
- Lãi suất chiết khấu:
Lãi suất chiết khấu là lãi suất được quy định của ngân hàng Trung ương khi họ cho các
ngân hàng thương mại vay tiền để đảm bảo có đầy đủ hoặc tăng thêm dự trữ của ngân hàng 10
thương mại.
+ Khi lãi suất chiếu khấu giảm đi (thấp hơn lãi suất thị trường) sẽ khuyến khích các ngân
hàng thương mại vay tiền để tăng dự trữ và mở rộng cho vay, dẫn đến mức cung tiền tăng lên.
+ Khi lãi suất chiết khấu tăng sẽ làm cung tiền giảm đi.
2/ Phân tích tác động của công cụ đó đối với sự thay đổi của lãi suất tiền tệ:
Nghiệp vụ thị trường mở để phân tích vì nó là công cụ được sử dụng phổ biến nhất.
Khi NHTW mua trái phiếu
+ NHTW bơm tiền vào nền kinh tế → dự trữ của ngân hàng thương mại tăng.
+ Ngân hàng thương mại có nhiều vốn để cho vay hơn → cung vốn tăng.
+ Cung vốn tăng làm lãi suất thị trường giảm xuống.
+ Lãi suất giảm → doanh nghiệp và hộ gia đình tăng vay vốn → đầu tư và tiêu dùng tăng
→ tổng cầu và sản lượng tăng.
Khi NHTW bán trái phiếu
+ NHTW hút tiền ra khỏi nền kinh tế → dự trữ của ngân hàng thương mại giảm.
+ Ngân hàng thương mại có ít vốn cho vay hơn → cung vốn giảm.
+ Cung vốn giảm làm lãi suất thị trường tăng lên.
+ Lãi suất tăng → đầu tư giảm → tổng cầu giảm → sản lượng giảm. => Tóm lại:
+ Mua trái phiếu → tăng cung tiền → lãi suất giảm.
+ Bán trái phiếu → giảm cung tiền → lãi suất tăng.
Câu 14: Giải thích và mô tả trên đồ thị sự thay đổi của đường tổng chi tiêu và sản
lượng cân bằng khi ngân hàng Trung ương bán trái phiếu trên thị trường mở? 1/ Giải thích:
Giải thích cơ chế tác động: Khi ngân hàng Trung ương (NHTW) bán trái phiếu, các
bước tác động diễn ra như sau:
(1) NHTW bán trái phiếu → hút tiền khỏi nền kinh tế
+ Người dân và các ngân hàng thương mại dùng tiền để mua trái phiếu.
+ Vì vậy: cung tiền (M) giảm, dự trữ ngân hàng thương mại giảm.
(2) Dự trữ ngân hàng giảm → lãi suất thị trường tăng: Ngân hàng có ít vốn cho vay hơn
→ cung vốn giảm → lãi suất tăng.
(3) Lãi suất tăng → đầu tư giảm
+ Đầu tư (I) là thành phần nhạy cảm nhất của tổng chi tiêu.
+ Khi lãi suất tăng, doanh nghiệp giảm vay vốn mở rộng sản xuất → I giảm.
(4) Đầu tư giảm → tổng chi tiêu giảm + Tổng chi tiêu:
𝐴𝐸 = 𝐶 + 𝐼 + 𝐺 + 𝑁𝑋
⇒ I giảm làm AE giảm → đường AE dịch chuyển xuống dưới.
(5) Sản lượng cân bằng (Y) giảm
+ Sản lượng cân bằng là điểm giao giữa đường AE và đường 45°.
+ Khi AE dịch xuống, điểm giao mới nằm tại mức sản lượng thấp hơn. 11
2/ Đồ thị minh họa:
Câu 15: Giải thích và mô tả trên đồ thị sự thay đổi của đường tổng chi tiêu và sản
lượng cân bằng khi ngân hàng Trung ương mua trái phiếu trên thị trường mở?
1/ Giải thích: Khi ngân hàng Trung ương (NHTW) mua trái phiếu, cơ chế truyền dẫn
diễn ra theo 5 bước:
(1) NHTW mua trái phiếu → bơm tiền vào nền kinh tế
+ Người dân và ngân hàng thương mại nhận tiền từ NHTW khi bán trái phiếu.
+ Điều này làm cung tiền (M) tăng, dự trữ ngân hàng thương mại tăng.
(2) Dự trữ ngân hàng tăng → lãi suất thị trường giảm: Ngân hàng có nhiều vốn hơn để
cho vay → cung vốn tăng → lãi suất giảm.
(3) Lãi suất giảm → đầu tư tăng
+ Lãi suất giảm làm chi phí vay vốn thấp hơn.
+ Doanh nghiệp mở rộng sản xuất, hộ gia đình tăng mua nhà → I tăng.
(4) Đầu tư tăng → tổng chi tiêu AE tăng. Công thức tổng chi tiêu:
𝐴𝐸 = 𝐶 + 𝐼 + 𝐺 + 𝑁𝑋 + ⇒ I tăng → AE tăng
+ AE tăng nghĩa là đường AE dịch chuyển lên trên.
(5) Sản lượng cân bằng (Y) tăng
+ Điểm giao giữa đường AE mới và đường 45° ở mức sản lượng cao hơn.
+ ⇒ Y tăng → sản lượng cân bằng tăng.
2/ Đồ thị minh họa: 12
Câu 16: Giải thích và mô tả trên đồ thị sự thay đổi của đường tổng chi tiêu và sản
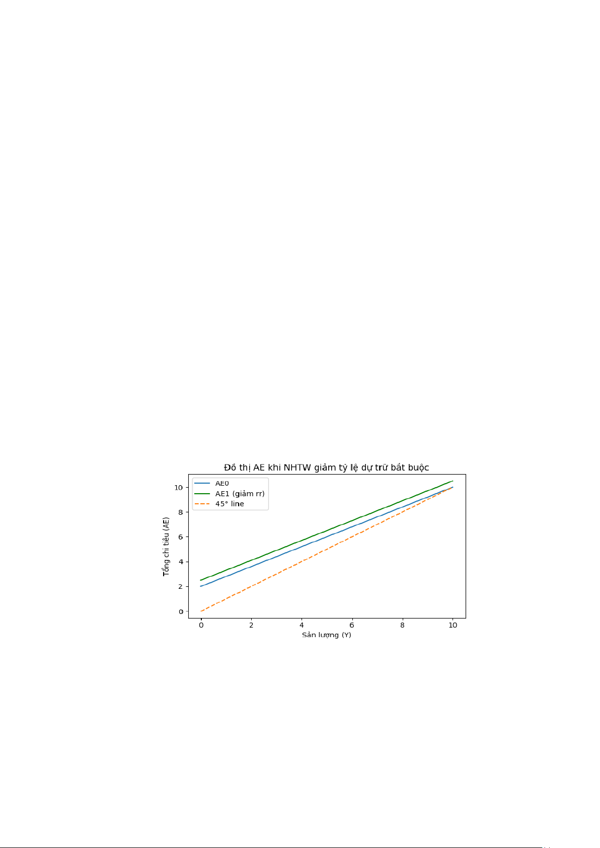
lượng cân bằng khi ngân hàng Trung ương giảm tỉ lệ dự trữ bắt buộc? 1/ Giải thích:
Khi Ngân hàng Trung ương (NHTW) giảm tỷ lệ dự trữ bắt buộc (rr):
(1) Tỷ lệ dự trữ bắt buộc giảm → ngân hàng thương mại có thể cho vay nhiều hơn
+ Các ngân hàng không phải giữ lại quá nhiều tiền trong két.
+ Khoản tiền dư ra → khả năng cho vay tăng mạnh.
(2) Khả năng cho vay tăng → cung tiền (M) tăng
+ Khi ngân hàng cho vay nhiều hơn, tiền mới được tạo ra qua quá trình tạo tiền gửi.
+ → Cung tiền trong nền kinh tế tăng lên.
(3) Cung tiền tăng → lãi suất thị trường giảm: Nhiều vốn cho vay → cung vốn tăng → lãi suất giảm.
(4) Lãi suất giảm → đầu tư (I) tăng: Lãi suất thấp làm chi phí vay vốn rẻ → doanh nghiệp
mở rộng đầu tư → hộ gia đình tăng vay mua nhà → I tăng.
(5) Đầu tư tăng → tổng chi tiêu (AE) tăng
𝐴𝐸 = 𝐶 + 𝐼 + 𝐺 + 𝑁𝑋 → I tăng ⇒ AE tăng
→ đường tổng chi tiêu dịch chuyển lên trên.
(6) Sản lượng cân bằng (Y) tăng
+ Điểm giao giữa AE mới và đường 45° nằm ở mức sản lượng cao hơn. + ⇒ Y tăng.
2/ Đồ thị minh họa: 13
/ CÂU HỎI ĐÚNG – SAI, GIẢI THÍCH Câu
Nội dung câu hỏi Đáp án Giải thích
+ Trong dài hạn khi giá cả điều chỉnh đủ mạnh để mọi thị
trường, trong đó có thị trường yếu tố sản xuất đều ở trạng thái
cân bằng. Cân bằng thị trường các nhân tố sản xuất có nghĩa là Trong dài hạn, tổng cung
mọi nguồn lực đều được sử dụng đầy đủ.
về hàng hóa và dịch vụ 1
Đúng + Khi đó cung về hàng hóa và dịch vụ chỉ phụ thuộc vào cung nền kinh tế không phụ
về các nhân tố sản xuất như tư bản, lao động, tài nguyên thiên thuộc vào mức giá chung
nhiên và trình độ công nghệ của nền kinh tế. Nói cách khác,
trong dài hạn, tổng cung về hàng hóa và dịch vụ của nền kinh
tế không phụ thuộc vào mức giá chung.
+ AD = C + I + G + X – IM = C + I + G + NX Khi mức giá chung giảm
+ Trong bốn thành tố của tổng cầu, chi tiêu của Chính phủ là
đi thì chi tiêu của Chính 2
Sai biến chính sách do Chính phủ quyết định tùy thuộc vào mục
phủ cho hàng hóa và dịch
tiêu của điều tiết vĩ mô trong mỗi thời kỳ và do đó không phụ vụ tăng lên thuộc vào mức giá.
Cần phải thực hiện chính
+ Chính sách tài khóa thắt chặt giúp giảm sản lượng nền kinh sách tài khóa mở rộng/
tế, giảm tổng cầu, không làm triệt tiêu cú sốc cung. Chính chính
3 thắt chặt để triệt tiêu tác Sai sách được áp dụng để đưa nền kinh tế về trạng thái cân bằng
động của cú sốc cung bất
khi thấy sự phát triển quá nhanh, tỷ lệ lạm phát cao và không lợi đến mức giá chung ổn định. Chính sách tài khóa
Về mặt lý thuyết, chính sách tăng chi tiêu hay cắt giảm thuế
không hề đồng thời triệt
làm tăng tổng cầu thông qua hiệu ứng nhãn tử, qua đó tạo thêm
tiêu tác động của cú sốc
việc làm để đáp ứng mức tổng cầu tăng thêm và làm tăng thu
4 cung bất lợi (khi cú sốc Đúng nhập quốc dân từ Y* lên Y1. Nếu mức hoạt động kinh tế quá
cung bất lợi đã xảy ra) đối
cao, hay nền kinh tế quá nóng, chính phủ có thể cắt giảm chi
với cả sản lượng và mức
tiêu hoặc tăng thuế để cắt giảm tổng cầu. Vì vậy tổng cầu sẽ bị giá chung
ảnh hưởng và không ảnh hưởng đến cú sốc cung. Khi xu hướng nhập khẩu
AE = MPC(1− t) − MPM.Y+ (C + I+ G+ X) + Hàm AE:
cận biên tăng lên thì đồ
+ Khi MPM tăng lên thì tiêu dùng hàng hóa trong nước giảm
5 thị đường AE sẽ xoay lên Sai đi làm sản lượng trong nước giảm đi.
phía trên so với vị trí ban
+ Khi MPM tăng lên thì độ dốc đường AE giảm nên trên đồ thị đầu của nó
đường AE xoay xuống dưới so với vị trí ban đầu.
+ Ngân sách Chính phủ được xác định: [ B = T - G ] trong đó Khi thuế suất thuế thu T = t × Y là thuế ròng.
nhập quốc dân (t) tăng lên 6
Sai + Khi thuế suất t tăng, thu nhập khả dụng giảm làm tiêu dùng thì ngân sách chính phủ
giảm, tổng chi tiêu giảm, dẫn đến GDP (Y) giảm. (B) sẽ tăng lên.
+ Vì thuế thu được bằng t nhân với Y, nên nếu Y giảm mạnh, 14
tổng thu thuế T có thể giảm chứ không tăng.
+ Do đó tăng thuế suất không đảm bảo làm ngân sách tăng;
thậm chí còn có thể làm thuế thu được giảm theo lý thuyết đường cong Laffer.
+ Biện pháp “tăng thu, giảm chi” là biện pháp cơ bản để tài trợ ngân sách. Tài trợ ngân sách bằng
+ Tuy nhiên, đây là chính sách tài khóa thắt chặt nên làm giảm
biện pháp “tăng thu, giảm 7
Đúng tổng cầu của nền kinh tế nên sản lượng giảm đi.
chi” sẽ ảnh hưởng xấu
+ Đôi khi, biện pháp “tăng thu, giảm chi” có thể làm giảm tăng
đến tăng trưởng kinh tế
trưởng kinh tế, thất nghiệp tăng lên nên số thu về thuế giảm và
ngân sách càng bị thâm hụt.
+ Khi NHTW giảm tỷ lệ dự trữ bắt buộc, khả năng cho vay của
Đường tổng chi tiêu sẽ
ngân hàng thương mại tăng, làm cung tiền tăng và lãi suất giảm. dịch chuyển song song
+ Lãi suất giảm làm đầu tư tăng, kéo theo tổng chi tiêu AE tăng
8 lên phía trên khi ngân Đúng tại mọi mức sản lượng.
hàng trung ương giảm tỉ
+ Điều này khiến đường AE dịch chuyển song song lên phía lệ dự trữ bắt buộc.
trên so với vị trí ban đầu. 15 C/ ÀI TẬP
ài 1: Tổng sản phẩm trong nước và dân số của nước A năm 2025 lần lượt là 500 tỷ USD
và 105 triệu người. Biết tốc độ tăng bình quân hàng năm của tổng sản phẩm trong nước và dân
số của nước A lần lượt là 6% và 1,4%.
Hãy dự tính chỉ tiêu tổng sản phẩm trong nước bình quân đầu người của nước A năm
2040 (làm tròn kết quả đến hàng đơn vị)?
Hướng dẫn trả lời:
1. GDP năm t; áp dụng công thức: GDPt = GDP0 . (1+g)n
Trong đó: GDP0 = 500 tỷ USD; g = 6% (0,06); n = 2040 – 2025 = 15 năm; t = 2040
=> 𝐺𝐷𝑃2040 = 500 . (1 + 0.06)15 ≈ 1.198 tỷ USD
2. Dân số năm 2040; áp dụng công thức: POPt = POP0 . (1+r)n
Trong đó: t = 2040; POP0 = 105; r = 1,4% (0,014); n = 15
=> 𝑃𝑂𝑃2040 = 105. (1 + 0.014)15 ≈ 129.35 triệu người
3. GDP bình quân đầu người; áp dụng công thức: 𝐺𝐷𝑃 𝐺𝐷𝑃 𝑡 𝑃ℂ̇ = 𝑃𝑂𝑃𝑡 => 𝐺𝐷𝑃 𝐺𝐷𝑃 2040 𝑝𝑐 2040 = ≈ 9,264 USD/người 𝑃𝑂𝑃2040
=> Đáp án: 9,264 USD/ người
ài 2: Giả định nền kinh tế chỉ sản xuất 3 hàng hóa cuối cùng X, Y, Z với số liệu sau,
biết năm 2010 được coi là năm cơ sở. Hàng hóa X Hàng hóa Y Hàng hóa Z Năm Giá Số lượng Giá Số lượng Giá Số lượng 2010 5 40 10 50 50 80 2023 10 80 30 80 90 125 2024 12 82 34 90 100 130
1) Tính tổng sản phẩm danh nghĩa, tổng sản phẩm thực tế năm 2024.
2) Lập bảng tính GDP danh nghĩa, GDP thực tế, Chỉ số điều chỉnh GDP ở các năm 2010,
2023, 2024. Từ đó tính tỉ lệ lạm phát năm 2024 so với năm 2023 theo GDP (DGDP).
3) Tính tốc độ tăng trưởng GDP năm 2024 so với năm 2023; tốc độ tăng trưởng GDP
bình quân hàng năm từ năm 2010 đến năm 2024 (làm tròn kết quả đến số thập phân thứ hai).
4) Giả sử tốc độ tăng GDP thực tế bình quân hàng năm vẫn như kết quả tính toán được ở
yêu cầu 3 ở trên, hãy dự đoán GDP thực tế năm 2040 (làm tròn kết quả đến hàng đơn vị). 16
Hướng dẫn trả lời:
1/ Tính tổng sản phẩm danh nghĩa, tổng sản phẩm thực tế năm 2024 n
+ Công thức tính tổng sản phẩm danh nghĩa của năm t: t t t GDP = Q .P n i i i 1 = GDP 2024 n
= 82.12 + 90.34 + 130.100 = 17.044 n
+ Công thức tính ổng sản phẩm thực tế của năm t: t t 0 GDP = Q .P n i i i 1 = GDP 2024 r
= 82.5 + 90.10 + 130.50 = 7.810
2/ Bảng tính GDP danh nghĩa và GDP thực tế, chỉ số điều chỉnh GDP: Hàng hóa X Hàng hóa Y Hàng hóa Z DGDP Năm GDPn GDPr P Q P Q P Q (%) 2000 5 40 10 50 50 80 4700 4700 100% 2023 10 80 30 80 90 125 14450 7450 193,96% 2024 12 82 34 90 100 130 17044 7810 218,23%
Tỷ lệ LP năm 2024 so với 2023 là: 218,23-193,96 . 100% = 12,51% 193,96
3/ + Tốc độ tăng trưởng kinh tế giữa các thời kỳ được tính bằng công thức: 1 0 GD − r P GD r P g = 100% 0 GD r P
+ Tốc độ tăng trưởng của năm 2024 so với năm 2023 là:
g = 7810 - 7450 . 100% = 4,83% 7450
+ Tốc độ tăng trưởng GDP bình quân hàng năm từ năm 2010 đến 2024 là: t 14
bq = √7810 - 1 = 0,0369 (tbq = 3,69%) 4700
4/ GDP thực tế năm 2040: GDPt = GDP0 × (1+g)n
=> GDPr2040 = 7810.(1+0,0369)16 = 13.946
ài 3: Giả định nền kinh tế chỉ sản xuất 3 hàng hóa cuối cùng X, Y, Z với số liệu sau,
biết năm 2010 được coi là năm cơ sở. Hàng hóa X Hàng hóa Y Hàng hóa Z Năm Giá Số lượng Giá Số lượng Giá Số lượng 2010 5 40 10 50 50 80 2023 10 80 30 80 90 125 2024 12 82 34 90 100 130
1) Tính chi phí mua giỏ hàng của năm 2024 theo cách tính CPI.
2) Lập bảng tính chi phí mua giỏ hàng, chỉ số giá tiêu dùng, tỷ lệ lạm phát ở các năm
2010, 2023, 2024. Từ đó tính tỉ lệ lạm phát năm 2024 so với năm 2023 theo CPI.
3) Tính GDP thực tế của các năm 2010 và 2024, từ đó tính tốc độ tăng trưởng GDP bình
quân hàng năm từ năm 2010 đến năm 2024. (làm tròn kết quả đến số thập phân thứ hai).
4) Giả sử tốc độ tăng GDP thực tế bình quân hàng năm vẫn như kết quả tính toán được ở
yêu cầu 3 ở trên, hãy dự đoán GDP thực tế năm 2050 (làm tròn kết quả đến hàng đơn vị). 17
Hướng dẫn chi tiết:
1/ Tính chi phí mua giỏ hàng của năm 2024 n
+ Công thức tính chi phí mua giỏ hàng hóa của năm t t 0 = P .Q i i i 1 =
+ Chi phí mua giỏ hàng năm 2024 là: 12.40 + 34.50 + 100.80 = 10.180
2/ Lập bảng tính chi phí mua giỏ hàng, chỉ số giá tiêu dùng, tỷ lệ lạm phát ở các năm 2010, 2018, 2019 Hàng hóa X Hàng hóa Y Hàng hóa Z Năm Chi phí CPI (%) P Q P Q P Q 2000 5 40 10 50 50 80 4700 100% 2023 10 80 30 80 90 125 9100 193,62% 93,62% 2024 12 82 34 90 100 130 10180 216,6% 116,6%
Tỷ lệ LP năm 2024 so với 2023 là: 216,6 - 193,62 . 100% = 11,87% 193,62
3/ Tính GDP thực tế của các năm 2010 và 2024. n
* Công thức tính GDP thực tế năm t là: t t 0 GDP = Q .P r i i i 1 =
* Tính GDP thực tế của năm 2010 và 2024
+ GDP thực tế của năm 2010 là: 40.5 + 50.10 + 80.50 = 4.700
+ GDP thực tế của năm 2024 là: 82.5 + 90.10 + 130.50 = 7.810
+ Tốc độ tăng trưởng của năm 2024 so với năm 2023 là:
g = 7810 - 7450 . 100% = 4,83% 7450
Tốc độ tăng trưởng GDP bình quân hàng năm từ năm 2010 đến 2024 là: t 14
bq = √7.810 - 1 = 0,0369 (tbq = 3,69%) 4.700
4/ GDP thực tế năm 2050: GDPt = GDP0 × (1+g)n
=> GDPr2050 = 7810.(1+0,0369)26 = 20.036
ài 4: Giả định nền kinh tế chỉ sản xuất 3 hàng hóa cuối cùng X, Y, Z với số liệu sau,
biết năm 2015 được coi là năm cơ sở. Hàng hóa X Hàng hóa Y Hàng hóa Z Năm Giá Số lượng Giá Số lượng Giá Số lượng 2015 10 40 30 50 50 80 2024 18 80 45 90 80 140 2025 20 84 50 100 86 150
1) Tính tổng sản phẩm danh nghĩa, tổng sản phẩm thực tế năm 2025.
2) Lập bảng tính GDP danh nghĩa, GDP thực tế, Chỉ số điều chỉnh GDP ở các năm 2015,
2024, 2025. Từ đó tính tỉ lệ lạm phát năm 2025 so với năm 2024 theo GDP (DGDP).
3) Tính chi phí mua giỏ hàng (chi tiêu) của năm 2025 theo cách tính CPI.
4) Lập bảng tính chi phí mua giỏ hàng, chỉ số giá tiêu dùng, tỷ lệ lạm phát ở các năm
2015, 2024, 2025. Từ đó tính tỉ lệ lạm phát năm 2025 so với năm 2024 theo CPI. 18
Hướng dẫn chi tiết:
1/ Tính tổng sản phẩm danh nghĩa, tổng sản phẩm thực tế năm 2025 n
+ Công thức tính tổng sản phẩm danh nghĩa của năm t: t t t GDP = Q .P n i i i 1 = GDP 2025 n
= 84.20 + 100.50 + 150.86 = 19.580 n
+ Công thức tính ổng sản phẩm thực tế của năm t: t t 0 GDP = Q .P n i i i 1 = GDP 2025 r
= 84.10 + 100.30 + 150.50 = 11.340
2/ Bảng tính GDP danh nghĩa và GDP thực tế, chỉ số điều chỉnh GDP: Hàng hóa X Hàng hóa Y Hàng hóa Z DGDP Năm GDPn GDPr P Q P Q P Q (%) 2015 10 40 30 50 50 80 5900 5900 100% 2024 18 80 45 90 80 140 16690 10500 158,95% 2025 20 84 50 100 86 150 19580 11340 172,66%
Tỷ lệ LP năm 2025 so với 2024 là: 172,66-158,95 . 100% = 8,63% 158,95
3/ Tính chi phí mua giỏ hàng của năm 2025 n
+ Công thức tính chi phí mua giỏ hàng hóa của năm t t 0 = P .Q i i i 1 =
+ Chi phí mua giỏ hàng năm 2025 là: 20.40 + 50.50 + 86.80 = 10.180
4/ Lập bảng tính chi phí mua giỏ hàng, chỉ số giá tiêu dùng, tỷ lệ lạm phát ở các năm 2015, 2024, 2025 Hàng hóa X Hàng hóa Y Hàng hóa Z Năm Chi phí CPI (%) P Q P Q P Q 2015 10 40 30 50 50 80 5900 100% 2024 18 80 45 90 80 140 9370 158,81% 58,81% 2025 20 84 50 100 86 150 10180 172,54% 72,54%
Tỷ lệ LP năm 2024 so với 2023 là: 172,54 - 158,81. 100% = 8,65% 158,81
ài 5: Một nền kinh tế mở với các số liệu sau đây:
C = 0,75YD + 50; IM = 0,06Y; T = 0,12Y; I = 210; G = 400; X = 140. Yêu cầu:
1. Tính độ dốc, tung độ gốc của đường tổng chi tiêu, xác định hàm số tổng chi tiêu (dạng
phương trình bậc nhất).
2. Tính số nhân chi tiêu, sản lượng cân bằng và ngân sách Chính phủ.
3. Khi Chính phủ áp dụng mức thuế suất mới là 10% và tăng chi tiêu cho hàng hoá dịch
vụ cuối cùng là 47 so với ban đầu thì sản lượng cân bằng mới bằng bao nhiêu?
4. Muốn sản lượng đạt được như yêu cầu 3 mà chỉ dùng công cụ chi tiêu cho hàng hóa và
dịch vụ (thuế suất vẫn như ban đầu) thì mức chi tiêu mới của Chính phủ cho hàng hóa dịch vụ là bao nhiêu? 19
Hướng dẫn chi tiết:
+ Tiêu dùng: 𝐶 = 0,75𝑌𝐷 + 50
+ Chi tiêu chính phủ: 𝐺 = 400 + Thuế: 𝑇 = 0,12𝑌 + Xuất khẩu: 𝑋 = 140 + Đầu tư: 𝐼 = 210
+ Nhập khẩu: 𝐼𝑀 = 0,06𝑌
1/ Tính độ dốc, tung độ gốc của đường tổng chi tiêu, xác định hàm số tổng chi tiêu (dạng
phương trình bậc nhất).
+ Tính thu nhập khả dụng: Yd = Y – T = Y – 0,12Y = 0,88Y
+ Tính tiêu dùng theo Yd: C = 0,75Yd + 50 = 0,75.0,88Y + 50 = 0,66Y + 50
+ Tính hàm số tổng chi tiêu (dạng phương trình bậc nhất): AE(Y) = C + I + G + X – IM
= (0,66Y+50)+210+400+140−0,06Y = (0,66−0,06)Y+(50+210+400+140) = 0,6Y+800 + Độ dốc (𝛼) = 0,6
+ Tung độ gốc của đường tổng chi tiêu (A) = 800
2/ Tính số nhân chi tiêu, sản lượng cân bằng và ngân sách Chính phủ. * Tính m// = 1 1 = = 2,5 1 - MPC(1-t) + MPM 1-0,75(1-0,12)+0,06
* Tính sản lượng cân bằng (Y0) : // = + + + 0 Y m
(C I G X) = 2,5. (50 + 210 + 400 + 140) = 2000 = Y T = 0,12Y = 0,12.2000 = 240
B = T – G = 240 – 400 = 160 (ngân sách Chính phủ) IM = 0,06Y = 0,06.2000 = 120
NX = X – IM = 140 – 120 = 20 S = (1 – MPC).(Y – T) 𝑐
̅ = (1 – 0,75)(2000 – 240) – 50 = 390
Đồng nhất thức: S + T + IM = I + G + X + TR
* S + T + IM = 390 + 240 + 120 = 750
* I + G + X = 210 + 400 + 140 = 750
Suy ra: S + T + IM = I + G + X (750 = 750)
3/ Khi Chính phủ áp dụng mức thuế suất mới là 10% và tăng chi tiêu cho hàng hoá dịch vụ cuối
cùng là 47 so với ban đầu thì sản lượng cân bằng mới bằng bao nhiêu?
Khi ∆G = 447 = G1; và t1= 10%=0,1 Y 1 1 =
. (50 + 210 + 400 + 47 + 140) = 2200 1 - 0,75(1-0,1) + 0,06
4/ Muốn Y = 2200 mà t = 0,12:
+ C = 0,75.0,88Y + 50 = 0,66Y + 50
+ AE(Y) = (0,66𝑌 + 50) + 210 + 𝐺 + 140 − 0,06𝑌
𝐴𝐸(𝑌) = (0,66 − 0,06)𝑌 + (50 + 210 + 140) + 𝐺 = 0,6𝑌 + (400 + 𝐺)
+ Y = AE(Y) = 0,6Y + (400 + G) ⇒ 0,4Y = 400+G = 0,4Y − 400 = G
=> G2 = 0,4Y – 400 = 0,4.2200 – 400 = 880 – 400 = 480
ài 6: Một nền kinh tế mở với các thông số sau đây:
C = 0,8YD + 50; IM = 0,18Y; T = 0,15Y; I = 200; G = 500; X = 100. Yêu cầu: 20