



















Preview text:
   LỜI MỞ ĐẦU 
Du lịch Việt Nam trong thời gian tới là tiếp tục đổi mới phát triển cơ sở hạ 
tầng và phương hướng kinh doanh phục vụ tạo ra các sản phẩm có chất lượng cao, 
vừa mang tính dân tộc, vừa mang tính thời đại có tính hấp dẫn với du khách. Mục 
tiêu đạt được “Việt Nam - tiến tới thiên niên kỷ mới”. Đó là mục tiêu chung của 
ngành du lịch Việt Nam nói chung và nhà hàng nhà hàng nói riêng . 
Các ngành dịch vụ lưu trú của các nhà hàng ngày càng được nâng cao, 
phải bảo đảm về chất lượng dịch vụ ăn uống khi khách lưu trú tại nhà hàng và 
còn có cả các du khách thập phương bên ngoài nữa vì thế nhiều nhà hàng nhà 
hàng đang có những mối liên hệ chặt chẽ với nhau để đáp ứng nhu cầu cho 
khách đồng thời qua đó tạo được sự ấn tượng hấp dẫn du khách trong và ngoài  nước. 
Ngành du lịch Việt Nam sẽ phát triển vượt bậc, đặc biệt là các ngành dịch 
vụ lưu trú ăn uống của du khách không thể thiếu trong ngành dịch vụ. Vì vậy các 
nhà hàng nhà hàng phải được nâng cấp cao hơn và xuất hiện nhiều hơn trong 
tương lai để đáp ứng nhu cầu cần thiết của khách hàng. 
Ngành du lịch ăn uống ra đời và phát triển để phục vụ nhu cầu của con 
người, nó mang lại lợi nhuận kinh tế cho nhà nước rất lớn chỉ đứng sau một hai 
ngành kinh tế mũi nhọn ở Việt Nam lý do em chọn nhà hàng chế biến món ăn là 
do sở thích của em ngay từ khi em tập nấu ăn ở nhà và với nhu cầu phát triển 
nghành du lịch đi kèm với dịch vụ, trước thềm hội nhập kinh tế của Việt Nam nói 
riêng và của thế giới nói chung. 
Ngành học này sẽ đem lại cho em sự hiểu biết về văn hóa ẩm thực của dân 
tộc Việt Nam và các nước khác trên thế giới, ngành mà em đang theo đuổi đem 
lại cho em một công việc ổn định cho bản thân và góp phần xây dựng ngành dịch 
vụ du lịch phát triển xa hơn nữa trong tương lai. 
Do tính hội nhập ngày càng nhiều, kinh tế phát triển khách du lịch ngày 
càng tăng lên, giao lưu văn hóa giữa các nước, các dân tộc càng rộng rãi. Nhà 
hàng mà em đang thực tập được hình thành theo một xu hướng mang tính Quốc     
tế hiện đại. Xu hướng quốc tế hóa và khẩu vị ăn uống đây là xu hướng chung của  thế giới. 
Việt Nam nói chung và du lịch Nha Trang - Khánh Hòa nói riêng. Trên các 
đường phố đâu đâu cũng thấy nhà hàng, các quán ăn từ sang trọng đến bình dân 
với các món ăn khác nhau, khẩu vị khác nhau. Ở mỗi nhà hàng, quán ăn đó là nhu 
cầu để cho khách hàng thưởng thức và khám phá những gì tinh túy luôn mang bản 
sắc dân tộc vì lí do đó em chọn đề tài kỹ thuật chế biến món ăn để làm chuyên đề  thực tập.          
CHƯƠNG 1 SỰ HÌNH THÀNH VÀ PHÁT TRIỂN 
CỦA KHÁCH SẠN THE LIGHT 
1.1 Sự hình thành và phát triển của nhà hàng :  
1.1.1 Sự hình thành và phát triển của nhà hàng : 
Khách sạn được đưa vào hoạt động đầu năm 2019, hệ thống lưu trú gồm 160 
phòng với không gian rộng rãi và trang thiết bị hiện đại giúp Quý khách có thể thư giãn 
sau một ngày làm việc mệt mỏi hay sau nhiều hoạt động vui chơi ngoài trời. Thưởng 
thức bữa sáng tự chọn với thực đơn vô cùng phong phú tại nhà hàng The Light tọa lạc 
tại tầng 2 của khách sạn để bắt đầu một ngày mới tràn đầy năng lượng. Không những 
thu hút bởi không gian đẹp, nhà hàng còn được lòng du khách với thực đơn đa dạng các 
món ăn địa phương và quốc tế. 
Ghi lại những khoảnh khắc tuyệt vời cùng bạn bè, cùng nhau thưởng thức những 
thức uống độc đáo, The Light tại tầng thượng của khách sạn còn là địa điểm tuyệt vời 
để tổ chức các buổi tiệc nướng, tiệc sinh nhật. 
Sau một ngày dài làm việc vất vả, Quý khách có thể đắm mình trong làn nước 
xanh mát tại hồ bơi vô cực 60m và vòi thủy lực hiện đại trên tầng thượng để cùng chiêm 
ngưỡng toàn cảnh thành phố Nha Trang xinh đẹp. 
Bên canh đó, nuông chiều cơ thể bằng vài phút thư giãn tại phòng tắm hơi khô 
hoặc vài phút rèn luyện sức khỏe tại The Light sẽ khiến cho một ngày dài của Quý khách 
trở nên đặc biệt hơn. 
Với mong muốn mang lại sự trải nghiệm thoải mái, tiện nghi, chúng tôi luôn nỗ 
lực hoàn thiện chất lượng – dịch vụ của The Light và định hướng tạo ra những sản phẩm 
đa dạng nhưng không kém phần mới lạ, độc đáo nhằm mang lại cho quý khách khoảng 
thời gian nghỉ ngơi vui vẻ, đáng nhớ và hài lòng khi chọn The Light Nha Trang. 
Khách sạn The Light nằm ở trung tâm thành phố Nha Trang, chỉ cần 5 phút đi bộ bạn đã 
chạm tay vào làn nước xanh mát của Vịnh Nha Trang. 
Với thiết kế 20 tầng ở độ cao phù hợp để có thể phóng tầm nhìn toàn cảnh vẻ đẹp 
bình yên của cả đại dương và thành phố. 
Thành phố Nha Trang nổi tiếng với những cửa hàng, nhà hàng, quán café, bảo 
tàng và các khu vui chơi giải trí hiện tại, hơn thế nữa sự hiếu khách và thân thiện của     
người dân cùng nhịp sống bình yên ban ngày và năng động về đêm, tất cả góp phần tạo 
thành một bức tranh tuyệt đẹp về Nha Trang. Tất cả những điều tuyệt vời này đều dễ 
dàng chiêm ngưỡng từ khách sạn The Light. 
Bạn cũng có thể dễ dàng chọn cho mình những tour du lịch yêu thích xung quanh 
thành phố: tour đảo- hòa mình vào biển cả hay tour sinh thái- đắm mình trong thiên 
nhiên trong lành. Tất cả các tour đều được cung cấp bởi vô vàn văn phòng tour nằm 
cạnh khách sạn. Để biết thêm thông tin xin vui lòng liên hệ quầy thông tin của chúng tôi 
tại sảnh lễ tân khách sạn. 
Ngoài ra, khách sạn The Light còn cung cấp hầu hết các dịch vụ vận chuyển, đưa 
đón sân bay, chỉ cần liên hệ với chúng tôi trong vòng 24 giờ trước khi bạn cần bất cứ 
dịch vụ nào. Khoảng cách giữa khách sạn và sân bay Cam Ranh chỉ trong 36 km vì vậy  bạn chỉ mất 40 phút 
86B Trần Phú – Thành phố Nha Trang – Khánh Hòa           
 Chức năng nhiệm vụ của bộ phận nhà hàng  a. Giám đốc: 
- Là người điều hành mọi hoạt động của nhà hàng chịu trách nhiệm về doanh 
thu, đồng thời đề ra những kế hoạch để nâng cao chất lượng hình ảnh của     
nhà hàng. Có ảnh hưởng quan trạng đến sự thành công hay thất bại của nhà  hàng.  b. Phó giám đốc: 
- Là người hỗ trọ cho giám đốc trong quá trình kinh doanh hoạt động của nhà 
hàng . Là người tham mưu cho giám đốc trong các quyết định. Chịu trách nhiệm 
báo cáo các hoạt động cho giám đốc, chịu trách nhiệm các công việc khi giám  đốc đi vắng.  c. Quản lý nhà hàng. 
- Là người đứng sau giám đốc chịu trách nhiệm quan sát đôn đốc nhân viên 
làm tốt công việc, chịu sự phân công của giám đốc và báo cáo tình hình hoạt 
động kinh doanh của nhà hàng cho giám đốc. Nắm bắt nhu cầu của thực 
khách cũng như nguyện vọng của nhân viên giúp giám đốc có những quyết 
định đúng đắn góp phần phát triển cho nhà hàng. Đồng thời điều tiết về tình 
hình nhân sự giải quyết những vấn đề liên quan đến nhà hàng - Ca 1 làm  việc từ 8h đến 14h.  - Ca 2 từ 14h đến 22h 
d. Phòng kế toán: ( có hai người ) 
- Có nhiệm vụ tổ chức hạch toán kế toán, Kiểm tra về tình hình tài chính của 
nhà hàng, để theo dỏi toàn bộ hiện tượng kinh tế tài chính phát sinh trong 
quá trình hoạt động kinh doanh của nha hàng giúp giám đốc đưa ra những 
quyết định thích hợp việc xuất nhập, tồn kho hàng hóa, tiền lương …tổng 
hợp sao cho phù hợp giữa thu và chi. 
e.Tổ tạp vụ và giặt là: 
- Có trách nhiệm kiểm tra và vệ sinh toàn bộ khu vực của nhà hàng đồng thời 
đảm nhiệm công việc giặt ủi khăn bàn, khăn ăn… - Ca làm việc từ 8h sáng 
đến 20h tối. f. Bếp trưởng: 
Chịu trách nhiệm đáp ứng nhu cầu ăn uống của khách hàng. Là người điều 
khiển bếp, phân công việc trong bếp, chịu trách nhiệm trước giám đốc về 
chất lượng món ăn, đồng thời đưa ra những biện pháp để sử dụng nguyên     
liệu hợp lý, tránh lãng phí. Đưa ra những món ăn đặc trưng mang lại lợi 
nhuận cao để góp phần phát triển nhà hàng. Ca làm việc từ 8h sáng tới 22h30   Nhân viên bếp: 
Chịu sự phân công giám sát của bếp trưởng và hoàn thành công việc mà bếp 
trưởng giao, đảm bảo theo yêu cầu đã đặt ra. 
Ca làm việc từ 8h sáng tới 22h30  g. Tổ trưởng tổ bàn: 
Chịu trách nhiệm đôn đốc nhân viên bàn thực hiện tôt công việc của mình. 
Củng là người báo cáo mọi hoạt động hàng ngày diễn ra trong nhà hàng. Ca 
1 làm việc từ 8h sáng tới 14h  - Ca 2 từ 14h đến 22h  Nhân viên bàn: 
Là người trực tiếp phục vụ khách hàng có thể xem là bộ mặt của nhà hàng, 
phối hợp với bếp nhằm đáp ứng nhu cầu ăn uống của thực khách. Giờ làm 
việc theo ca ca 1: 8h đến14h   ca 2: 14 đên 22h  • Tiếp tân nhà hàng: 
Chịu trách nhiệm chào đón và tiễn khách, nắm bắt nhu cầu của thực khách 
báo cáo với quản lý nhà hàng, đồng thời giới thiệu cho thực khách về những 
nét đặc trưng, nỗi bật làm tăng hình ảnh nhà hàng trong mắt thực khách. 
Giờ làm việc theo ca ca : 15h đến 22h30  • Thu ngân: 
Chịu trách nhiệm thu giữ và tính tiền cho khách bàn giao lại cho giám đốc 
nhà hàng sau cuối ngày làm việc theo ca.   Ca 1: 8h đến 14h   Ca 2: 14h đến 22h 
 k. Tổ kiểm tra chất lượng thực phẩm: 
 Chịu trách nhiệm về chất lượng thục phẩm, nhập, lựa chọn điểm cung cấp 
thực phẩm an toàn, đảm bảo vệ sinh an toàn thực phẩm cho từng món ăn. Giờ     
làm việc theo ca ca 1: 8h đến14h 1.2.2. Doanh thu của nhà hàng từ năm  2016 – 2018  a. Doanh thu 
 Nhìn chung tổng doanh thu nhà hàng giảm dần qua các năm, trong đó doanh thu 
năm 2016 đạt cao hơn tổng doanh thu của năm 2017, 2018, nguyên nhân có thể 
do là do tình hình khủng hoàn tài chính năm vừa qua, nạn lạm phát làm vật giá 
tăng lên, dịch bệnh xuất hiện kéo dài.. khiến người dân thắt chặt chi tiêu. Thế 
nhưng các tỉ lệ hàng ăn giảm không đáng kể và không ảnh hưởng nhiều đến tình 
hình kinh doanh của nhà hàng. Vì vậy sau thời gian hoạt động nhà hàng đã không 
ngừng sửa chữa mua sắm trang thiết bị, nâng cao cơ sở vật chất, đào tạo nâng cao 
tay nghề nhân viên để ngày càng hoàn thiện và nâng cao chất lượng phục vụ của 
mình. Chính vì thế lượng hiện nay (năm 2018) khách đến với nhà hàng The Light  ngày một đông. 
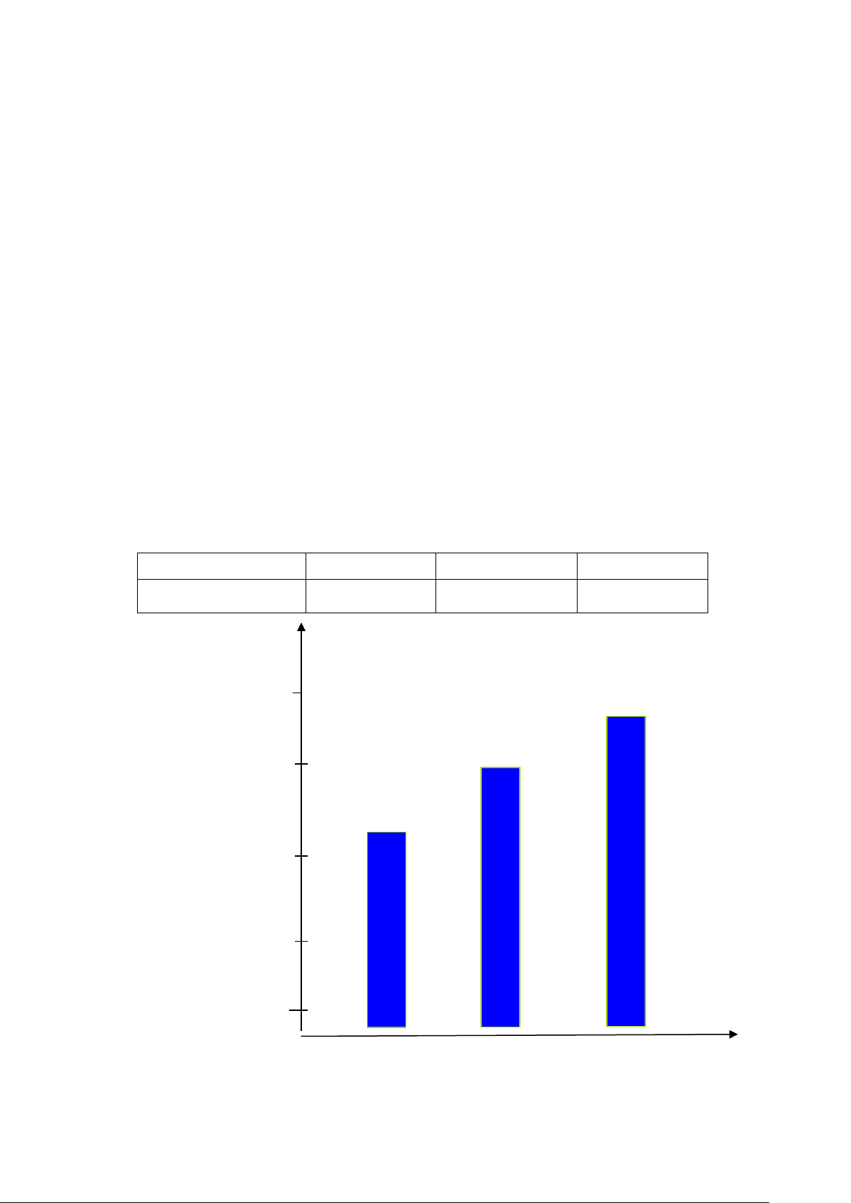
Bảng doanh thu của nhà hàng qua ba năm 2016 đến 2018  Năm  2016  2017  2018 
Tổng doanh Thu 6.521.325.000 7.145.256.369 8.823.253.250   Tỉ đồng   9 tỉ   8tỉ   6tỉ     4tỉ    2 tỉ   0  Năm  2016  2017  2018       
 Ngoài kinh doanh nhà hàng còn mở rộng và phát triển dịch vụ tiệc cưới 
nhằm đám ứng nhu cầu của khách hàng. b. Lượng khách:  2016  2017  2018   Năm  Loại khách  Khách quốc tế  250.543  270.530  282.437  Khách nội địa  380.459  410.582  420.235 
Nhìn chung lượng khách của nhà hàng tăng qua các năm, nhưng lượng 
khách này tăng không đáng kể, nên nhà hàng cũng không đạt được nhiều doanh  thu. 
 CHƯƠNG II: NỘI DUNG THỰC TẬP 
I. Khái quát về bộ phận bếp của nhà hàng: 
1. Sơ lược về bếp: 
Tại nhà hàng The Light với đội ngũ đầu bếp chuyên nghiệp cùng với 
Sân tennisnguồn thực phẩm tươi sống và phong phú, du khách sẽ hài lòng khi thưởng 
thức từ các món ăn truyền thống của The Light đến những món ăn Âu, Á tại các 
nhà hàng trong khung cảnh tuyệt vời. Nhà Hàng The Light được bố trí nằm tại 
khu vưc tiền sảnh với 150 chổ ngồi, mở cửa hàng ngày chuyên phục vụ các bửa 
ăn tối cho khách. Với khung cảnh hướng ra vịnh sẽ đem lại cho quý khách cảm 
giác thân thiện và thoải mái khi thưởng thức các món ăn ở đây. 
 Nhà bếp được thiết kế rộng rãi, thoáng mát, theo nguyên tắc một chiều theo 
công nghệ: Tiếp nhận thực phẩm, sơ chế, cắt thái phối hợp nghuyên liệugia vị, 
làm chín, trình bày, giao sản phẩm. 
 Thực phẩm sau khi được tiếp nhận được phân loại và đưa vào kho dự trữ 
được bảo quản ở 3 loại kho: Kho mát, kho đông, kho khô. Ngoài ra còn có các     
loại tủ dùng để bảo quản thực phẩm sơ chế sẵn và chuẩn bị cho chế biến. Các kho 
và các tủ luôn bảo đảm nhiệt độ và độ ẩm để giữ cho thực phẩm luôn được tươi 
mới và luôn bảo đảm chất lượng. 
 Kho sơ chế luôn sơ chế thịt gia súc, gia cầm, thủy hải sản và được xây dựng  riêng biệt. 
 Khu vực chế biến được bố trí gọn gàng và dược chia làm 3 loại với các thiết 
bị hiện đại, tiện nghi phục vụ cho việc chế biến. 
 Bếp nóng được trang trí lò dùng để nấu các món Á và các thiết bị hiện đại 
như: lò nướng đa năng, lò vi sóng và các thiết bị hiện đại khác, bếp được lắp đặt 
hệ thống hút khói và khí độc. 
 Bếp lạnh và bếp bánh được xây dựng riêng biệt với bếp nóng. Bếp nóng 
chuyên phục vụ các món salad và đồ ăn nguội, được trang bị máy lạnh và tủ 
chuyên dùng để giữ trữ thực phẩm sơ chế. 
 Bếp bánh được xây dựng khá lớn với hệ thống lò nướng và các thiết bị hiện 
đại như: máy khuấy bột, máy cán bột, máy kem........ Chuyên phục vụ các món  tráng miệng cho khách. 
 Khu vực vệ sinh là khu vực rửa dụng cụ và chén đĩa. Được trang bị máy rửa 
chén và hệ thống vòi rửa, bồn rửa hiện đại. Có hệ thống thoát nước tốt, có các loại 
chất tẩy rửa đặc biệt. 
Có thể nói khu bếp của nhà hàng The Light là một khu bếp hiện đại, tiện 
nghi được trình bày khoa học. 
2. Sơ đồ bộ phận bếp trong nhà hàng:  a. Sơ đồ:      Bếp trưởng  Bếp Phó  Phụ Bếp  Phụ bếp  Phụ bếp  NV Thực tập  NV Thực tập  NV Thực tập  Tạp vụ  Tạp vụ  Tạp vụ   
b. Chức năng - nhiệm vụ : 
- Bếp trưởng(chef): 
Là người quản lí bếp, có khả năng dự báo và lập kế hoạch, tổ chức, chỉ đạo, kiểm 
soát mọi lĩnh vực của nhà bếp và nhân viên. Nhiệm vụ cụ thể : 
+ Sưu tầm, xây dựng, thẩm duyệt các loại thực đơn, tính toán giá bán, đặt hàng 
hoá tìm hiểu thị lực của khách. 
+ Giao nhiệm vụ cụ thể cho các tổ nhân viên, liên tục đào tạo và phát triển nhân  viên. 
+ Giám sát mọi hoạt động trong nhà bếp, kiểm tra việc chấp hành nội quy 
+ Quản lí tốt và đề nghị mua sắm các trang thiết bị dụng cụ nhà bếp đầy đủ 
+ Quản lí tốt nguyên liệu thực phẩm 
+ Duy trì tiêu chuẩn cao nhất về an toàn thực phẩm trong nhà bếp và các khu vưc  khác dưới quyền 
+ Chịu trách nhiệm về công tác hoạch toán ban đầu đảm bảo kinh doanh có lãi 
- Bếp phó (sous chef): 
Có vai trò như một bếp trưởng thứ hai. Có trách nhiệm thay thế bếp trưởng khi 
bếp trưởng vắng mặt, là người trợ giúp bếp trưởng trong bếp. 
Chức năng chính của bếp phó là giám sát và phân công công việc trong bếp để 
mọi việc trong bếp diễn ra trôi chảy và theo sự chỉ đạo của bếp trưởng. 
 - Phụ bếp (commis):     
Là người trợ giúp cho tổ trưởng. Số lượng phụ bếp phụ thuộc vào công việc của  mổi tổ. 
+ Thực hiện đúng quy trình, kỉ thuật chế biến món ăn được phân công, đảm bảo 
cung cấp kịp thời, đủ số lượng chủng loại và chất lượng món ăn theo yêu cầu của  bộ phận phục vụ bàn. 
+ Chấp hành đúng các quy định về tiêu chuẩn định lượng tiêu hao nguyên liệu và 
vệ sinh an toàn thự phẩm. 
+ Thực hiện đúng nội quy của khu vực chế biến 
+ Bảo quản và sử dụng tốt các trang thiết bị dụng cụ trong chế biến 
+ Thực hiện tốt quy định về kiểm kê bàn giao ca 
+ Không ngừng học tập nâng cao trình độ, cải tiến món ăn phục vụ nhu cầu ngày  càng cao của khách       
II. Thực trạng của kỹ thuật chế biến: 
1. Kỹ thuật chế biến một số món ăn tại nhà hàng:      a. Bita cá Tuna:  * Nguyên liệu 
- Cá Tuna: 01 hộp - Sốt mayonnaise: Một ít đủ  dùng 
- Hành lá: 02 cây - Khoai tây chiên: 100g - Cần 
lá: 02 Cây - Bắp hạt: 05g    * Cách làm    - 
Bột bánh Pita: Bột mì, bột men trộn đều thêm nước. Nhào cho 
nhuyễnlấy một ít lăn tròn, cán mỏng, đem bỏ vào chảo khô cho vàng bánh đem 
cán lại lần nữa rồi cắt hình tròn.  -  Làm nhân: 
Hộp cá Tuna: Lấy cá bỏ nước cho vao tô cắt ít hành và cần lá nhuyễn bỏ 
vào trộn đều cho ra bánh Pita vừa lăn, cuộn tròn lại và bỏ vào lò nướng 1 phút sau 
đó lấy ra cắt làm đôi bỏ ra đĩa khoai tây chiên vàng giòn trang trí trên đĩa.  *. Yêu cầu cảm quan 
Bánh Pita mềm dai nhưng vừa ăn, trang trí đẹp.  b. Salad cá:  *. Nguyên liệu  - Cá thu: 150g  - Đậu que : 50g  - Cà chua bi: 02 quả  - Trứng luộc: 01 quả  - Trái ô liu đen: 02 trái 
- Dấm đỏ: Một ít đủ dùng  - Xà lách: 01 cây  *. Cách làm 
Cá thu để nguyên chiên vàng giòn bỏ vào lò quay 1 phút 50 giây, cà chua 
bi chẻ đôi, trứng luộc chẻ làm tư, trái ô liu cắt làm đôi. Xà lách xếp lên đĩa. Đậu     
que cắt khúc luộc chín bỏ lên đĩa, cho cá quay lên đậu que. Lấy ít dấm đỏ bỏ vào 
tô cho cà chua bi, trái ô liu trộn đều lấy ra xếp xung quanh đĩa, trứng chẻ làm tư 
xếp xung quanh trang trí và đem ra phục vụ.  *. Yêu cầu cam quan 
Cá chín vàng, mềm, thơm, trang trí đẹp. 
c. Salad mực:*. Nguyên liệu  - Mực: 150g  - Cà chua bi: 08 trái  - Dưa leo: 01 Trái 
- Tương chua ngọt: 04 muỗng  - Rau thơm: Một ít  - Muối tiêu: Một ít  - Bột vị gà: Một ít  - Dầu hào: Một ít  - Đường: Một ít  - Xà lách: 01 cây  - Dầu chiên: Một ít  - Nước dùng: Một ít    *. Cách làm   
Mực thái lát mỏng vừa ăn, cà chua bi thái làm đôi, dưa leo thái miếng vừa 
ăn, rau thơm lấy lá nhỏ, xà lách lấy lá trang trí ra đĩa 
Bác chảo lên đĩa cho dầu chiên vào chảo, dầu nóng cho mực vào xào săn 
cho ít nước dùng vào đảo đều nêm dầu hào, đường, bột vị gà, muối tiêu xào cho 
thấm gia vị cho ra tô, cho dưa leo, rau thơm, cà chua bi vào tô cho tương chua 
ngọt vào đảo đều lên cho ra đĩa trang trí xà lách. *. Yêu cầu cảm quan 
Mực giòn dai, vị vừa ăn, trang trí bắt mắt.  d. Bơ gơ bò: *  Nguyên liệu      - Thịt bò: 100g 
- Bột mì: Một ít đủ dùng 
- Trứng gà: Một ít đủ dùng 
- Ba con: Một ít đủ dùng  - Ba con: Một miếng  - Bánh bơ gơ: 1 cái  - Xà lách: Một búp  - Cà chu a: 1 trái  - Dưa leo: Một trái 
- Khoai tây chiên: Một phần 
- Tương cà: Một ít đủ dùng 
- Đường: Một ít đủ dùng 
- Bột vị gà: Một ít đủ dùng 
- Tiêu: Một ít đủ dùng 
- Dầu hào: Một ít đủ dùng 
- Màu điều: Một ít đủ dùng 
- Dầu chiên: Một ít đủ dùng 
- Sốt Mayzone: Một ít đủ dùng 
- Chese dẻo: Một ít đủ dùng  - Xả: 1 cây  *Cách làm 
Thịt bò thái mỏng băm nhuyễn, cho vào tô, cho một ít bột mì vào trộn đều 
ướp tương cà, tương ớt, dầu hào, bột vị gà, tiêu, đường, màu điều, dầu chiên trộn 
đều.Nắn thành hình tròn dẹp chiên vàng giòn đem vào lò quay khoảng 1 phút 50  giây. 
Bánh bơ gơ chẻ đôi, cho thêm sốt May zone lên bánh và một ít chese dẻo 
lên bánh rồi đem nướng vàng giòn lấy bánh ra và xếp xà lách lên bánh cà chua và 
dưa leo thái miếng mỏng xếp lên mặt bánh, xếp trứng chiên và Ba con chiên vào 
rồi sau cùng là bò lên rồi đặt phần bánh còn lại lên lấy xả cây cắm vào. 
Khoai tây chiên vàng giòn cho ra đĩa rồi trang trí  * Yêu cầu cảm quan 
Bò mềm vừa ăn, trang trí bắt mắt.  e. Gà xào:  * Nguyên liệu  - Gà: 140g  - Ớt sừng: 01 trái  - Ớt đà lạt: 01 trái  - Xả: 01 củ  - Hành tấy: Nửa trái  - Cơm: 01 chén      - Nước dung: Một ít 
- Bột vị gà: Một ít đủ dùng 
- Đường: Một ít đủ dùng 
- Tiêu: Một ít đủ dùng 
- Tương ớt: Một ít đủ dùng 
- Màu điều: Một ít đủ dùng 
- Dầu hào: Một ít đủ dùng 
- Dầu chiên: Một ít đủ dùng 
- Hành là: Một ít đủ dùng*. Cách  làm: 
Gà thái nhỏ vừa ăn, ớt sừng c ắt lát, ớt đà lạt thái miếng vừa ăn, cơm cho 
vào chén trang trí ra đĩa. 
Bắt chảo lên bếp cho ít dàu chiên vào, dầu nóng cho gà vào xào săn cho ít 
nước dùng vào đảo đều cho rau củ nêm gia vị: Bột vị gà, đường, tiêu, tương ớt, 
màu điều, dầu hào rồi đảo đều nêm vừa miệng cho ít hành lá vào xào cho tới khi 
gà chín đều và nước sốt sền sệt lại là được. 
Cho ra đĩa cơm vừa trang trí lên.  *. Yêu cầu cảm quan 
Gà chín mềm có màu vàng đậm, vị vừa ăn. 
f. Gà phần xào rau củ:  * Nguyên liệu  - Gà 150g  - Cải thảo: 02 bẹ  - Cà rốt: Nửa củ 
- Ớt đà lạt: Nửa trái  - Mì trứng: 01 cuộn  - Dầu hao: Một ít đủ  dùng 
- Đường: Một ít đủ dùng 
- Bột vị gà: Một ít đủ dùng 
- Tiêu: Một ít đủ dùng 
- Xa tế: Một ít đủ dùng 
- Hành lá: Một ít đủ dùng 
- Nước dùng: Một ít đủ  dùng  * Cách làm     
Gà để miếng nguyên ướp sa tế chiên vàng giòn cho một ít sa tế lên mặt trên 
rồi bỏ vào lò quay khoảng 2 phút. Cải thảo cắt khúc thái sợi, cà rốt thái sợi, mì 
trứng trần qua nước sôi, hành lá thái nhỏ 
Bắt chảo lên bếp cho ít dầu chiên vào dầu nóng cho cải thảo, ớt đà lạt, cá 
rốt vào xào sơ qua cho ít nước dùng vào đảo đều nêm đường, bột vị gà, tiêu, dầu 
hào nêm lại vừa ăn cho mì trứng vào xào tiếp cho chín. 
Cho ra đĩa rồi đặt miếng gà lên trên rau củ xào rồi trang trí.  *. Yêu cầu cảm quan 
Gà chín mềm thơm mùi xa tế, có màu vàng đều rau củ xào vừa ăn. 
h. Mực xào chua ngọt:  *. Nguyên liệu  - Mực: 140g  - Cần: 02 cây  - Cà chua: 01 trái  - Thơm: 04 miếng nhỏ  - Chanh: 01 miếng  - ớt đà lạt: 01 trái  - Hành tây: Nửa trái  - Mì trứng: Một vắt 
- Dầu hào: Một ít đủ dùng- 
Tương chua ngọt: Một ít đủ dùng 
- Bột vị gà: Một ít đủ dùng- 
Đường: Một ít đủ dùng 
- Tiêu: Một ít đủ dùng- 
Màu điều: Một ít đủ dùng 
- Hành lá: Một ít đủ dùng  *. Cách làm 
Mực thái miếng vừa ăn, cần tây cắt khúc, cà chua cắt làm 4 miếng nhỏ, 
chanh cắt một miếng, ớt đà lạt cắt làm tư, hành tây cắt thành miếng nhỏ vừa ăn, 
mì trứng trần qua nước sôi. 
Bắt chảo lên bếp cho ít dầu chiên vào chảo, nóng dầu cho mực vào chảo 
xào săn, cho ít nước dùng, cần, cà chua, thơm, chanh đà lạt, hành tây, đảo đều, 
nêm gia vị: Dầu hào, tương chua ngọt, bột vị gà, đường, tiêu, màu điều nêm vừa  ăn.     
Cho ít hành lá vào nêm lại cho vừa miệng, cho ra đĩa trang trí.  * Yêu cầu cảm quan 
Mực chín đều giòn dai, màu vàng đẹp vị vừa ăn.  i. Bò lúc lắc:  * Nguyên liệu  - Bò: 150g  - Thơm: 1/4 trái  - ớt đà lạt: 01 trái  - Hành tây: Nửa trái 
- Hành lá: Một ít đủ dùng 
- Tương cà: Một ít đủ dùng 
- Tương ớt: Một ít đủ dùng 
- Màu điều: Một ít đủ dùng  - Cơm: 01 chén 
- Dầu hào: Một ít đủ dùng 
- Đường: Một ít đủ dùng 
- Tiêu: Một ít đủ dùng 
- Bột vị gà: Một ít đủ dùng 
- Dầu chiên: Một ít đủ dùng 
- Nước dùng: Một ít đủ dùng  *. Cách làm 
Bò thái miếng vừa ăn, thơm nặng vào bò cho mêm bò khi nấu. ớt đà lạt thái 
miếng vuông vừa ăn, hành tây thái miếng vuông vừa ăn, hành lá thái nhỏ, cơm  cho ra đĩa trang trí. 
Bắt chảo lên bếp cho dầu vào khi dầu nóng cho bò vào chảo xào săn cho ít 
nước dùng vào xào đều cho rau củ thái sẵn vào nêm gia vị: đường, tiêu, dầu hào,, 
bột vị gà, tương cà, tương ớt, màu điều vào nêm vừa miệng cho hành vào sau cùng  xào cho bò chín đều.  Cho ra đĩa trang trí.  *. Yêu cầu cảm quan 
Bó chín mềm mùi thơm có màu đỏ đẹp vị vừa ăn.  k. Biza gà:  *. Nguyên liệu  - Gà: 150g 
- Bột bánh biza: Một ít đủ dùng  - ớt đà lạt: 1/2 trái 
- Chese dẻo: Một ít đủ dùng 
- Sốt cà chua: Một ít đủ dùng 
- Dầu hào: Một ít đủ dùng 
- Tiêu: Một ít đủ dùng 
- Bột vị gà: Một ít đủ dùng     
- Đường: Một ít đủ dùng 
- ớt sừng: Một ít đủ dùng 
- Lá thơm: Một ít đủ dùng  *. Cách làm 
Gà thái miếng nhỏ vừa ăn, ớt đà lạt thái sợi mỏng, chese dẻo bào nhỏ tơi 
ra. Bột bánh Biza: nhào bột mì với bột men và bột nổi cho thật đều, cho ít lá thơm 
vào nhào cho thật mịn rồi cắt thành hình tron cho sốt cà chua lên trên cho gà lên 
trên trải đều ớt đà lạt bào mỏng rải đều lên trên cùng, sau cùng cho ít lá thơm lên 
trên, rồi bỏ vào lò nướng chín. 
Sau khi bánh chín vàng cho ra đĩa trag trí.  *. Yêu cầu cảm quan 
Bánh giòn dai thơm, gà mềm trang trí bắt mắt. 
l. Cơm chiên hải sản:  *. Nguyên liệu  - Mực: 50g  - Cá: 50g  - Tôm: 02 con  - Đậu que: 5g  - Hành tây: 5g  - Cà rốt: 5g  - Ngò: Một ít đủ dùng  - Dưa leo: Nửa trái 
- Dầu hào: Một ít đủ dùng 
- Tiêu: Một ít đủ dùng 
- Đường: Một ít đủ dùng 
- Bột gà: Một ít đủ dùng 
- Xì dầu: Một ít đủ dùng 
- Màu điều: Một ít đủ dùng 
- Tương ớt: Một ít đủ dùng 
- Hành: Một ít đủ dùng    - Trứng gà: 01 quả  - Cơm: 01 chén  *. Cách làm 
Mực cắt hạt lựu, cá cắt hạt lựu, tôm 2 con lột vỏ bỏ đầu để đuôi chiên giòn. Đậu 
que thái hạt lựu, hành tây thái hạt lựu, cà rốt thái hạt lựu ngò lấy lá trang trí, dưa 
leo thái miếng trang trí, cà chua thái miếng trang trí. 
Bắt chảo lên bếp cho dầu vào, dầu nóng cho hải sản cá mực vào cho đậu que và 
cà rốt vào xào cho chín sau đó cho cơm vào đảo đều cho gia vị dầu hào, tiêu… 
cho hành vào đảo đều nêm vừa ăn trang trí ra đĩa. * Yêu cầu cảm quan 
Cơm mềm màu đẹp thơm, vừa ăn, trang trí đẹp.