



















Preview text:
CHƯƠNG 1: MÔI TRƯỜNG VÀ PHÁT TRIỂN
Kinh tế môi trường là một nhánh của kinh tế học nghiên cứu các vấn đề môi trường theo quan điểm và phương pháp
phân tích của kinh tế học, tập trung vào các nội dung sau: • Ứng dụng công cụ kinh tế để nghiên cứu các nguồn tài nguyên
môi trường được sử dụng và quản lý như thế nào? (phân bổ các nguồn tài nguyên khan hiếm cho các mục đích sử dụng có
tính cạnh tranh). • Xem xét các hoạt động kinh tế ảnh hưởng đến các môi trường tự nhiên ra sao? Đo lường những ảnh
hưởng đó như thế nào? • Xem xét cách thay đổi các thể chế và chính sách kinh tế nhằm cải thiện môi trường.
Đối tượng : -Quan hệ giữa môi trường với phát triển • Tài nguyên thiên nhiên, vốn tự nhiên và các dịch vụ sinh thái do
chúng tạo ra • Các công cụ kinh tế để quản lý tài nguyên, môi trường
1.Môi trường1. Khái niệm a. Theo nghĩa rộng: Môi trường là tập hợp các vật thể hoàn cảnh bao quanh và ảnh hưởng
đến một đối tượng nào đó.• Môi trường là các yếu tố tự nhiên và nhân văn tồn tại đồng thời ở một địa điểm. Nói chung,
môi trường bao gồm các thành phần môi trường vật lý , môi trường sinh và môi trường nhân văn (WB)
b. Theo nghĩa hẹp: MT bao gồm các yếu tố tự nhiên và các yếu tố do con người tạo ra trong đó con người bằng các hoạt
động sống của mình đã khai thác các yếu tố tự nhiên hoặc nhân tạo để thoả mãn nhu cầu của con người. (UNESCO) • Môi
trường là hệ thống các yếu tố vật chất tự nhiên và nhân tạo có tác động đối với sự tồn tại và phát triển của con người và
sinh vật (Luật Bảo vệ môi trường 2014).
2. Cấu trúc – Môi trường vật lý: Thạch quyển, Thuỷ quyển, Khí quyển, Sinh quyển; – Môi trường sinh vật: Các hệ sinh
thái, Quần thể thực vật và động vật
Phân loại: Theo chức năng( tự nhiên,nhân tạo,xã hội),quy mô(toàn cầu, khu vực,vùng,quốc gia,địa phương),mục đích
nghiên cứu(tự nhiên,xã hội),thành phần(kk,đất,nước,biển)
2. Hệ sinh tháiKn: Là tập hợp các quần thể sinh vật và môi trường chúng tồn tại trong đó. Một HST gồm hai thành phần
MT tự nhiên (là MT vật lý) và MT sinh vật. Cân bằng sinh thái: là trạng thái ổn định trong đó các thành phần của MT tự
nhiên ở điều kiện cân bằng
3. Tài nguyên thiên nhiênKN: TNTN là thành phần của MT tự nhiên mà con người có thể sử dụng trực tiếp cho cuộc sống.
- TN có thể phục hồi là TN có thể được phục hồi sau một thời gian trong những điều kiện phù hợp (rừng, thuỷ sản)
– TN không thể phục hồi là TN vô sinh, sau khi bị khai thác không thể tái tạo về thành phần và khối lượng như ban đầu
(than, dầu, khoáng sản…)
4.Biến đổi môi trường Ô nhiễm môi trường
ÔNMT là việc chuyển các chất hoặc năng lượng vào MT gây ảnh hưởng có hại đến sức khoẻ con người, gây hại TN sinh
vật và các hệ sinh thái hoặc làm ảnh hưởng xấu tới việc sử dụng hợp lý môi trường (Uỷ ban châu Âu) . ÔNMT là sự biến
đổi của các thành phần MT không phù hợp với quy chuẩn kĩ thuật MT và tiêu chuẩn MT gây ảnh hưởng xấu đến con
người và sinh vật (Luật BVMT 2014).
Quy chuẩn kỹ thuật MT: giới hạn các thông số về MT xung quanh, hàm lượng các chất ÔN có trong chất thải, các yêu
cầu về kĩ thuật và quản lý Quy chuẩn là những quy định về mức giới hạn của đặc tính kỹ thuật cũng như yêu cầu quản lý
mà sản phẩm, hàng hoá, dịch vụ và các đối tượng trong hoạt động kinh tế – xã hội phải đảm bảo an toàn, vệ sinh, sức khoẻ
con người, bảo vệ môi trường, lợi ích và an ninh quốc gia,… Tiêu chuẩn là những quy định về đặc tính kỹ thuật và yêu
cầu quản lý dùng để làm chuẩn mực để đánh giá, phân loại sản phẩm, hàng hoá, dịch vụ, các đối tượng trong hoạt động
kinh tế – xã hội nhằm nâng cao chất lượng và hiệu quả của các đối tượng này. "T
iêu chuẩn môi trường là những chuẩn
mức, giới hạn cho phép, được quy định dùng làm căn cứ để quản lý môi trường" Nguồn gây ô nhiễm: – Nguồn điểm: ô
nhiễm bắt nguồn từ một nguồn duy nhất – Nguồn không điểm: là ô nhiễm có nguồn gốc từ các nguồn khuếch tán. Suy thoái MT
KN: Là sự làm suy giảm số lượng chất lượng các thành phần môi trường có ảnh hưởng đến con người và tự nhiên.
Nguyên nhân: - Do ô nhiễm kéo dài ở mức độ cao - Do các tác động tiêu cực của con người - Do sử dụng các loại hoá
chất trong canh tác - Do sử dụng hoá chất trong chiến tranh.Sự cố môi trường -Đn: Là sự cố xảy ra trong quá trình hoạt
động của con người hoặc biến đổi của tự nhiên, gây ô nhiễm, suy thoái hoặc biến đổi môi trường nghiêm trọng.Tác động
bất thường của tự nhiên: bão, lũ, hạn hán,…Tác động tiêu cực của con người: hỏa hoạn, tràn dầu, sự cố trong các nhà máy
nguyên tử,…5. Chức năng của môi trường - Cung cấp không gian sống cho con người - Cung cấp tài nguyên cho hệ
thống kinh tế- Chứa đựng chất thải từ hoạt động của con người - Giảm nhẹ các tác động của tự nhiên đến con người - Lưu
giữ và cung cấp các thông tin cần thiết cho con người.
6. Mối quan hệ giữa kinh tế và môi trường
Nghiên cứu vai trò cung cấp tài nguyên cho hệ thống kinh tế gọi là “kinh tế tài nguyên thiên nhiên”
Nghiên cứu dòng chu chuyển các chất thải từ hoạt động kinh tế và tác động của chúng lên môi trường gọi là “kinh tế môi trường ”
Mô hình Cân bằng vật chất
Định luật cân bằng vật chất: Năng lượng và vật chất không thể tự sinh ra và tự mất đi.
Dấu chân sinh thái là một thước đo nhu cầu về các diện tích đất, nước có khả năng cho năng suất sinh học cần thiết để
cung cấp thực phẩm, gỗ cho con người, bề mặt xây dựng cơ sở hạ tầng, diện tích hấp thụ CO2, khả năng chứa đựng và đồng hóa chất thải 6.Phát triển
- Định nghĩa: mối quan hệ thu nhập và chất lượng môi trường; mối quan hệ giữa tăng trưởng kinh tế và chỉ tiêu môi trường
- Có 3 dạng:- EKC giảm dần đều khi thu nhập tăng -EKC lúc đầu tăng -> giảm dần theo thu nhập- EKC tăng theo thu nhập
-Mối quan hệ giữa môi trường và phát triển: là mối quan hệ 2 chiều -> phát triển bền vững -> sự kết hợp hài hòa giữa phát triển và môi trường 6.Phát triển bền vững
-Khái niệm: “Bảo đảm sự tăng trưởng kinh tế ổn định trong mối quan hệ với thực hiện tốt tiến bộ và công bằng xã hội;
khai thác hợp lý, sử dụng tiết kiệm tài nguyên, bảo vệ và nâng cao chất lượng môi trường sống. Là một sự phát triển có
tính tổng hợp cao và có hệ thống, là sự phát triển có sự kết hợp chặt chẽ, hợp lý, hài hoà giữa ba mặt của sự phát triển:
-Bền vững kinh tế: : lựa chọn và duy trì được một tốc độ tăng trưởng hợp lý và hiệu quả trên cơ cấu kinh tế phù hợp.
-Bền vững xã hội: thực hiện từng bước các nội dung về tiến bộ xã hội và phát triển con người.
-Bền vững môi trường: khai thác hợp lý và sử dụng hiệu quả tài nguyên; bảo vệ và chống ô nhiễm môi trường; thực hiện
tốt quá trình tái sinh tài nguyên môi trường 7. Cơ sở kinh tế
Đo lường sự thay đổi CLMT: Lợi ích người ta nhận được từ điều gì đó bằng mức sẵn lòng chi trả cho nó. Vậy có thể
dùng đường cầu để đo lường lợi ích của sự cải thiện/suy giảm chất lượng môi trường.
• Hiệu quả kinh tế: Hiệu quả kinh tế đạt được khi có sự cân bằng giữa chi phí biên và lợi ích biên của quá trình sản xuất,
• Hiệu quả xã hội: Hiệu quả xã hội đòi hỏi phải tính tới tất cả giá trị thị trường và phi thị trường hợp thành chi phí biên và
lợi ích biên của quá trình sản xuất.
Hiệu quả Pareto: Giả sử 1 nền KT chỉ SX 2 H2 thì những kết hợp sản lượng theo mong muốn sẽ nằm trên đường PPF và
khi đó việc phân bổ nguồn lực đạt Hq (hoặc đạt được Hq Pareto.
Hiệu quả tĩnh: Một sự phân bổ nguồn lực là có hiệu quả Pareto nếu không có khả năng dịch chuyển tới một sự phân bổ
khác có thể làm tăng lợi ích của bất cứ người nào mà cũng không làm giảm lợi ích của ít nhất là bất cứ một người nào khác.
Hiệu quả động: • Do các nguồn lực luôn là khan hiếm, đặc biệt là các nguồn tài nguyên hữu hạn => Việc sử dụng mỗi
đơn vị tài nguyên ở thời điểm hiện tại sẽ đồng nghĩa với việc không còn đơn vị tài nguyên đó để sử dụng trong tương lai
=> cân nhắc sự lựa chọn sử dụng nguồn lực ở hiện tại và ở cả các thời kỳ tiếp theo trong tương lai sao cho tổng lợi ích
ròng từ việc phân bổ nguồn lực qua toàn bộ thời gian đạt được mức tối đa.
CHƯƠNG 2: KINH TẾ HỌC CHẤT LƯỢNG MÔI TRƯỜNG
2. Chất lượng môi trường là hàng hoá
môi trường thường xuyên bị biến đổi ở cả tầm vi mô và vĩ mô.* Để bù đắp lại sự giảm sút về chất lượng môi trường, xét
về mặt kinh tế, mỗi quá trình tái sản xuất đều phải có đầu tư, phải có chi phí.
Khi sản xuất phát triển ở trình độ cao thì tái sản xuất chất lượng môi trường được đặt ra như một yếu tố khách quan để cho
quá trình sản xuất được liên tục, đó là điều kiện cần (nhu cầu con người).
- Kinh tế hàng hoá càng phát triển, các quan hệ kinh tế đã được tiền tệ hoá thì việc thực hiện chi phí khắc phục chất lượng
môi trường cũng phải được biểu thị dưới hình thái tiền tệ, tức là phải có sự trao đổi mua bán chất lượng môi trường. Đây là điều kiện đủ.
Đặc điểm: - Về giá trị sử dụng: Mang tính cộng đồng cao, tính xã hội tuyệt đối+ Vừa là đầu vào (tư liệu sản xuất) vừa là
đầu ra (tư liệu tiêu dùng), vừa là nguyên liệu vừa là nhiên liệu của mọi quá trình sản xuất từ giản đơn đến phức tạp. + Tính
đặc thù rất cơ bản là hàng hoá chất lượng môi trường trong quá trình sử dụng khó có thể phân định được. Vì vậy xét trên
tính đặc thù này hàng hoá chất lượng môi trường là hàng hoá công cộng.
Về giá trị nó tỷ lệ thuận với số lượng lao động và tỷ lệ nghịch với năng suất lao động. năng suất lao động xã hội tăng
nhanh, tái sản xuất phi mã nhưng tái sản xuất chất lượng môi trường chậm hơn không tương xứng và thứ hai là nhu cầu xã
hội về một chất lượng môi trường trong lành ngày càng tăng cả về lượng và chất. nay càng có nhiều sản phẩm vật chất với
vô số chủng loại trong tiêu dùng xã hội thì chi phí làm tăng chất lượng môi trường càng cao:
3.Nguyên nhân kinh tế của sự ô nhiễm môi trường
Ngoại ứng -Định nghĩa: Ngoại ứng là những tác động của chủ thể kinh tế này đến chủ thể khác trong đó chủ thể bị tác
động được hưởng lợi ích nhưng không phải trả chi phí hoặc không được bồi thường thiệt hại do tác động đó gây ra. Ngoại
ứng tồn tại khi phúc lợi của một người tiêu dùng hay người sản xuất bị ảnh hưởng bởi các hoạt động của những người tiêu
dùng và người sản xuất khác. Ngoại ứng là hiện tượng “chảy tràn” ra ngoài hệ thống kinh tế khi các tác động đến một đối
tượng thứ ba không được tính đến.
MEB: lợi ích ngoại ứng cận biên môi trường; MEC: chi phí ngoại ứng cận biên môi trường
-Điều kiện: phát sinh chí phí/lợi ích, và không được thanh toán vào giá cả thị trường -Phân loại:
Ngoại ứng tích cực: tăng phúc lợi xã hội,chủ thể bị tác động được hưởng lợi mà không phải trả tiền.. Khi xảy ra NU tích
cực, do lợi ích của người sản xuất không bao hàm lợi ích ngoại ứng nên xu hướng người sản xuất tạo ra lượng hàng hoá
thấp hơn mức tối ưu xã hội. - Điều này đòi hỏi sự can thiệp của chính phủ nhằm khuyến khích người sản xuất tăng sản lượng.
Ngoại ứng tiêu cực: tổn thất phúc lợi xã hội chủ thể bị tác động không được bồi thường thiệt hại do tác động đó gây ra.
Khi xảy ra NU tiêu cực, do chi phí của người sản xuất không bao hàm chi phí ngoại ứng nên xu hướng người sản xuất tạo
ra lượng hàng hoá vượt quá mức tối ưu xã hội. - Điều này đòi hỏi sự can thiệp của chính phủ nhằm đưa chi phí ngoại ứng vào chi phí sản xuất. Hàng hóa công cộng
Là những hàng hoá có thể đáp ứng tiêu dùng của nhiều người cùng một lúc, việc tiêu dùng của người này không làm ảnh
hưởng đến tiêu dùng của người khác. Tính chất : –
Tính không cạnh tranh trong tiêu dùng – Tính không loại trừ trong tiêu dùng
Phân loại: 1- Hàng hóa công cộng thuần túy: không loại trừ: không được trả tiền => vấn đề ô nhiễm môi trường; không
cạnh tranh: MC= 0 2-Hàng hóa không thuần tuý: Loại trừ - không cạnh tranh: VD: điện, nước, tiền K+, truyền hình cáp,
danh lam thắng cảnh,…; Không loại trừ, cạnh tranh: VD: đường giao thông,..
Đường cầu: Khác với hàng hoá cá nhân, cầu thị trường đối với hàng hoá công cộng là tổng mức sẵn lòng trả cho hàng hoá đó.
Người tiêu dùng cũng không nhận ra lợi ích liên quan đến tiêu dùng hàng hoá môi trường nên mức giá họ trả (hoặc bộc lộ
qua WTP) có thể thấp hơn lợi ích thực. (TH thông tin không hoàn hảo)
Doanh nghiệp cung cấp ko đủ gây ra thiếu hụt/1 số người bị loại trừ khỏi tiêu dùng=>tổn thất phúc lợi xã hội
2.Các giải pháp kinh tế làm giảm ô nhiễm môi trường 2.1.Các công cụ kinh tế a. Thuế ô nghiễm:
Mục tiêu: Điều tiết mức sản xuất về mức tối ưu xã hội trong TH ngoại ứng tiêu cực (Q1 => Q* )
• Giải pháp: Đánh thuế trên mỗi đơn vị sản phẩm sản xuất ra một mức thuế t để nội hoá chi phí ngoại ứng
• Nguyên tắc đánh thuế : Ai gây ô nhiễm, người đó chịu thuế ;Thuế được đánh trên từng đơn vị sản phẩm. Vấn đề đặt ra là
liệu rằng thuế có tạo ra một gánh nặng chi phí mới cho người sản xuất hay không? Câu trả lời là không vì nếu ta coi chi
phí môi trường là một loại chi phí đầu vào như các chi phí khác thì việc người sản xuất phải trả tiền cho chi phí ấy là tất
nhiên. Rõ ràng là, khi chưa áp dụng thuế, người phải trả chi phí môi trường là người bị ô nhiễm; còn sau khi áp dụng thuế,
người gây ô nhiễm phải trả khoản chi phí đó.
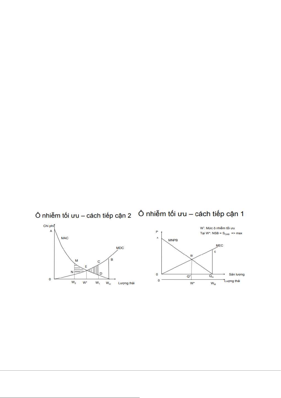
b. Ô nghiễm tối ưu, chuẩn thải, phí thải
Ô nhiễm môi trường phụ thuộc vào: Ø Tác động vật lý của chất thải đến MT Ø Phản ứng của con người đối với tác động
đó (những thay đổi có liên quan đến lợi ích) ⇒Ô nhiễm kinh tế chỉ xảy ra khi có thay đổi lợi ích/chi phí ⇒Ô nhiễm vật lý
không có nghĩa là sẽ có ô nhiễm về mặt kinh tế. Ô nhiễm tối ưu là mức ô nhiễm mà ở đó lợi ích ròng xã hội (NSB) là tối đa
Quan điểm môi trường thuần tuý: W*(lượng thải) = 0 Ô nhiễm tối ưu về kinh tế: W* ≠ 0
2 cách tiếp cận: 1-MNPB(lợi ích cá nhân ròng cận biên-trên đường MC dưới đường giá) = MEC(chi phí ngoại ứng cận
biên); 2-MAC(chi phí giảm thải cận biên) = MDC(thiệt hại môi trường cận biên) hay tổng các chi phí môi trường bao
gồm chi phí kiểm soát ô nhiễm và giá trị thiệt hại môi trường là thấp nhất.
Thay đổi mức ô nhiễm tối ưu: 1-Thay đổi MNPB: cải thiện công nghệ sản xuất, giá cả thị trường tăng/ giảm. 2- Thay đổi
MAC: cải thiện công nghệ giảm thải, chi phí thực thi chính sách .3-Thay đổi MDC (MEC): dân số, mât độ dân số, tính
chất môi trường nền, nhận thức của cộng
Chuẩn thải: mức ô nhiễm tối ưu là căn cứ để ban hành chuẩn thải cho DN Khi ban hành mức chuẩn thải W*, chi phí giảm
thải của DN: TAC = 0,5(Wm–W* )MACW*
Phí thải: Là khoản tiền mà người gây ô nhiễm phải nộp trên mỗi đơn vị chất thải thải vào môi trường.
Khi ban hành mức phí thải, chi phí môi trường(chi phí tuân thủ) của doanh nghiệp là: TEC = TAC + Fc = SWmW*E (a)+ SOW*EF (b)
Lựa chọn chuẩn thải/phí thải
Trong trường hợp đầy đủ thông tin so sánh chi phí giảm thải xã hội(bằng tổng chi phí giảm thải của 2 doanh nghiệp)
Trường hợp cơ quan quản lý không có đủ thông tin về MAC và MDC sử dụng thông qua độ dốc của MAC và MDC:
* k(MAC) > k(MDC) => chọn phí thải
* k(MDC) > k(MAC) => chọn chuẩn thải
Giấy phép xả thải: Là giấy phép do cơ quan QLMT phát hành, trên mỗi giấy phép có ghi mức thải và quyền gây ô nhiễm
của doanh nghiệp được thừa nhận thông qua lượng giấy phép doanh nghiệp nắm giữ. Đặc điểm – Tổng lượng thải ghi trên
các giấy phép bằng mức ô nhiễm tối ưu – Các giấy phép có thể được chuyển nhượng trong cùng một ngành/cùng một loại
chất thải – Các doanh nghiệp khi tham gia thị trường mua bán giấy phép đều có lợi.
=> Mua bán giấy phép: MAC=P hoặc MAC< P hoặc MAC > P
Công cụ giấy phép xả thải có thể chuyển nhượng kết hợp được những ưu điểm củahệ thống chuẩn mức thải và phí xả thải.
Việc phát hành một số lượng nhất địnhgiấy phép sẽ có tác dụng như chuẩn mức thải, bảo đảm cho các doanh nghiệpkhông
thải nhiều hơn mức cho phép. Mặt khác giá giấy phép trên thị trường sẽ cótác dụng như một mức phí thống nhất, là cơ sở
để tối thiểu hoá chi phí xã hội củaviệc giảm thải do bảo đảm nguyên tắc cân bằng chi phí cận biên cuả việc giảm
thải.Quyềnđược bán giấy phép với giá xác định bởi cầu trên thị trường sẽ tạo ra độngcơ khuyến khích các doanh nghiệp
giảm thải nhiều hơn để có giấy phép thừa màbán. Trong một số trường hợp, giảm thải có thể trở thành ngành kinh
doanhmới của doanh nghiệp. Trợ cấp môi trường
2.2.Giải pháp thị trường
- Vấn đề Quyền tài sản: Quyền sở hữu tài sản: quyền của một tổ chức hay cá nhân có thể làm với vật mà mình sở hữu và
được pháp luật bảo vệ. • Quyền sở hữu tài sản được biểu hiện bằng một loại giấy chứng nhận về quyền hợp pháp sử dụng
một loại tài sản cũng như quyền được chuyển nhượng chúng. Quyền sở hữu bị ràng buộc bởi pháp luật và tập quán xã hội.
Khi quyền tài sản không được xác định rõ ràng và không có hiệu lực thực tế → suy thoái môi trường.
- Định lý Coase: Không phụ thuộc vào bên nào là người nắm quyền tài sản, khi các bên có thể thoả thuận với chi phí giao
dịch không đáng kể thì thị trường sẽ tự động xác lập điểm hiệu quả mà không cần sự can thiệp của chính phủ.
Trong thực tế, việc áp dụng quyền tài sản có thể dẫn đến mức ô nhiễm hiệu quả khi: – Quyền tài sản được phân định rõ
ràng, có hiệu lực và có thể chuyển nhượng – Số người can dự tương đối ít – Quan hệ nhân quả tương đối rõ ràng – Thiệt
hại dễ đo lường – Chi phí giao dịch tương đối thấp
Hạn chế: Không có mặc cả khi quyền tài sản không được phân định rõ ràng (Trường hợp tài sản là chung giữa các quốc
gia) • Chi phí giao dịch thường lớn • Khó khăn trong việc xác đinh người gây ô nhiễm và người chịu ô nhiễm (đổ chất thải
hạt nhân) • Khó khăn trong xác định các hàm MNPB/MEC hoặc MAC/MDC • Trường hợp đe doạ đền bù
CHƯƠNG 3: KINH TẾ TÀI NGUYÊN
1.Tài nguyên tái tạo 1.1. Định nghĩa
Tài nguyên có thể phục hồi là nguồn tài nguyên hữu hạn nhưng nếu được khai thác quản lý một cách hợp lý thì chúng có
thể tự phục hồi để phục vụ cho các nhu cầu sử dụng tiếp theo trong tương lai
Trữ lượng: Là số lượng cá (population) hoặc trọng lượng toàn bộ quần thể cá (sinh khối -biomass) được đo ở một thời
điểm. – Tăng khi số sinh > số chết hoặc cá hiện tại tăng kích cỡ – Giảm khi chết tự nhiên, do bị giết bởi ĐV ăn thịt, ÔNMT
Lưu lượng (flow) là sự thay đổi của trữ lượng trong một khoảng thời gian. – Sự thay đổi do yếu tố sinh học: sinh sản, chết
– Sự thay đổi do yếu tố kinh tế: Khai thác 1.2. Mô hình sinh học
Thể hiện mối quan hệ giữa sự tăng trưởng và trữ lượng của loài cá
1. Khi trữ lượng thấp: - Số lượng sinh > số lượng chết → trữ lượng cá tăng - Tốc độ tăng trưởng cao, có nhiều cá sinh ra
2. Khi trữ lượng cao: - Nhiều cá, ít thức ăn, có sự tranh giành nơi sống, tỷ lệ mắc bệnh có thể cao - Tốc độ tăng trưởng có
thể giảm dần3. Khi trữ lượng rất cao: - Tốc độ tăng trưởng giảm dần và có thể âm - Trữ lượng có thể giảm đến khi trữ
lượng đó cân bằng với sức tải của môi trường
C*=G(S*) => Nguyên tắắc khai thác v ng ữ bêền, ho t đ
ạ ộ ng đánh bắắt nắềm trong kho ả ng ( S MVP ; SE ). M c
ứ đánh bắắt cao nhấắt có th để t đ ạ c t ượ i m ạ c tr ứ lữ ng bêền v ượ ữ ng tốắi đa SMVP : tr l ữ ng tốắi thi ượ
ể u => sinh trưở ng và phát triể n
S< SMVP : tốắc độ tắng trưởng tài nguyên < 0 và sinh vậ t b ị tuy ệ t ch ủ ng Đánh bắắt t i C2: ạ mốỗi th Ở i đi ờ m l ể ng cá đánh bắắt > l ượ ng cá sinh r ượ a => tr l
ữ ượ ng giả m đêắn m ứ c tuy ệ t ch ủ ng T i C1: ạ cấn bắềng v i đớ ng ườ tắng tr ng ưở t i hai ạ m c tr ứ lữ ng
ượ S1 và S2. S2: Trữ lượ ng cấn bắềng khống ổ n đ ị nh S1: T ữ r l ng cấn bắềng ượ ổ n đ ị nh S*: Stock: l ng đánh bắắt bêền v ượ ng là l ữ ớ n nhấắt
SE : = const : Quấền th sinh ể v t ậ khống có kh n ả ng ư t phát ự tri nể đ đ ể t ạ m c
ứ tr ữlượ ng lớ n nhấắt, và quấền th ể sinh ậv t khống thể phát triển v ượ t quá S E 1.3.Mô hình kinh tếế
Hai nhấn tốắ: • Nốỗ l c đánh ự bắắt- efort: Là m t đ ộ i lạ ư ng ợ t ng ổ h p
ợ các yêắu tốắ đấều vào ủc a quá trình khai thác, đ ượ c đo l ng bắềng sốắ l ườ ng ph ượ ng t ươ n, sốắ l ệ ng lao đ ượ ng
ộ , cống suấắt tàu… • Tr l
ữ ượ ng củ a quấền th ể cá có th ể đánh bắắt Gi sả hàm ử
đánh bắắt là H(t) phản ánh lượng cá khai thác đượ c ở th ờ i đi ể m t. H(t) là hàm kh ả nắng s ả n xuấắt và đ ượ c mố t nhả sau: H(t) = H[E(t), ư
X(t)] H(t) tuấn theo quy lu t nắng suấắt c ậ n biên gi ậ m dấền.E là khai th ả ác, X là trữ lượ ng
Cấn bắềng kinh têắ - sinh thái đ t đạ c khi m ượ c khai thác H bắềng m ứ ứ c tắng trưở ng c ủ a quấền th ể F(X). M i đi m cấn bắềng ọ ể nắềm bên trái m c tr l ứ ng ữ bêền ượ v ng XMSY ữ đêều khống hi u ệ qu vì v ả i đã ớ s ửd ng ụ quá nhiêều nốỗ l ự c nh ng l
ư ượ ng cá đánh bắắt đượ c vấỗn thấắp.
nốỗ l c đánh bắắt và quy mố c ự
ủ a trữ lượ ng có quan hệ nghị ch đả o.
nốỗ l c đánh bắắt tắng ự thì giai đo ở n đấều s ạ n l ng ả t
ượ ắng, đêắn m c tốắi ứ u
ư EMSY nào đó thì nốỗ lư c đánh bắắt cấn bắềng v ớ s n l ng
ả , sau đó là quá trình nốỗ l ượ c đánh bắắt tắng t ự hì s n l ả ng gi
ượ ả m, sả n lượ ng gi ả ớ m t i 0 khi nốỗ l ự c đánh bắắt là EMAX vi c khai thác cá có l ệ i nhấắt là t ợ i đi m ạ EPR ể OF, là đi m có m ể c nốỗ l ứ c
ự thấắp hơ n so vớ i m ứ c cấền thiêắt MSY ự .S thu hút c ủ a
ngành đánh cá đốắiv i nh ớ ng ứ ng i đánh ườ cá m i têắp ớ t c ụ đấều t
ư đánh bắắt cũng chỉ mở rộ ng đêắn m ộ tch ừ ng m ự c nào đó .Gi i h n c ớ a n ạ ó là t ủ i đi m EOA, n ạ ể i l i nhu ơ ợ
n thu vêề bắềngkhống, EO ậ
A gọ i là điể m cấn bắắng “t ự do têắp c ậ n “ hay còn g i là đi m cấn ọ bắềngkhai ể thác t do cho vấắn ự đêề qu n lý đánh
ả cá. Nêắu nốỗ l c đánh
ự bắắt tốắi đa têắp c n tậ i(EMAX) ớ seỗ d t i nguy c ớ cơ a vi ủ c khai thác quá m ệ c. nhiên nêắu đ ứ ng t ườ ng chi phí ít dốắc h ổ
ơ n thì điể m cấn bắềng khai thác t ự do
seỗ têắn gấền đêắn vùng nguy cơ hơ n .
Trong trường hợp tn tự do tiếp cận
Trong trườ ng hợ p thuộ c sở h ữ u t ư nhấn
Nêắu tài nguyên thu sỷn thu ả c s ộ h ở u t ữ nhấn, h ư seỗ xác đ ọ nh l ị ng đánh bắắt đ ượ
ể đạ t đượ c lợ i nhuậ n lớ n nhấắt. M ứ c
đánh bắắt này đ t t i đi ạ ạ m MR = MC. gía tr ể thu thêmđ ị c c ượ a m ủ t tàu đốắi v ộ i toàn b ớ
sốắ tàu đánh bắắt (MR) c ộ ấn bắềng v ớ i chi phí c h ơ ộ i c ủ a vi ệ c đ
ư a ra thêm con tàu đó (MC). T do têắp c ự n đ y m ậ ẩc nốỗ l ứ c đánh bắắt lên t ự i (E0) đ ớ để t đ ạ c l ượ i nhu ợ n c ậ
ủa ngành bắềng 0 (TR=TC). Tài nguyên thu ộ c s hởu t ữ nhấn, m ư c nốỗ l ứ c đ ự t t ạ i (E*) thấắp h ạ ơ n E0 đ ể đ ạ t đ ượ c l ợ i nhu ậ n l ớ n nhấắt.
0< E* < EMSY < E0 đốềng nghĩa v i X0 < XMSY ớ < X* Công cụ quản lý: Thuêắ trên s n l ng đánh bắắt • ả ượ
Thuêắ trên nốỗ l c đánh bắắ ự t • H n ng ạ ch (quota) đốắi v ạ i s ớ n l
ả ượ ng đánh bắắt và nốỗ l ự c đánh bắắt • H n ng ạ
ch cá nhấn • Ban hành quy ạ êền sở h ữ u
2.Tài nguyên khống tái tạo 2.1. Đ nh nghĩa ị
Là các dạ ng tài nguyên đượ c hình thành từ các quá trình đị a lý kéo dài hàng triệ u nắm, do đó có thể coi là nh ữ ng tài nguyên có tr l ng cốắ đ ữ ượ nh. ịToàn b các d ộ ng tài nguy ạ ên này sốắ l ng c
ượ ó h n trong lòng đấắt. ạ
Trong ngắắn hạn nguốền tài
nguyên này khống thể tái t ạ o.
-Giá tài nguyên khống tái t o tắng liên t ạ c theo th ụ ờ i gian, do s ự
khai thác tài nguyên này liên quan đêắn tr ự c têắp trong t ng lai. Nêắu tốắc đ ươ khai thác tắng, tr ộ l
ữ ượ ng tài nguyên này giả m, giá tài nguyên tắng nên càng trở nên khan hiêắm
=> Giá c seỗ tắng theo th ả i gian,
ờ nhưng khống tắng vố cùng. 2.2.Hiệu quả tĩnh
-Làm tốắi đa hóa l i ích ròn ợ g trong t ng ừ ạ giai đo n khác - L i ích biên c ợ a vi ủ c s ệ d
ử ụ ng tài nguyên = chi phí biên c ủ a vi ệ c s ử ụ d ng tài nguyên => MB=MC 2.3. Hiệu quả đ ộ ng
-Làm tốắi đa hóa giá tr hi ị n t ệ i c
ạ ủ a các khoả n lợ i ích ròng (NPV) -NPV tấắt c ở ả các giai đo ạ n là nh ư nhau * Vi c tắng R làm ệ
tài nguyên khống tái t o đ ạ
ư c khai thác nhiêều và n ợ hanh cạ n kiệ t h ơ n Th ng dặ biên c ư a mốỗi giai đo ủ
n khai thác khi chiêắt khấắu vêề th ạ i đi ờ m hi ể n t ệ ạ i có giá tr ị bắềng nhau. 2.4.Mô hình c n ki ạ ệ t tôếi ư u (MUC) MUC: l i ích ròng t ợ ng lai b ươ bị qua khi s ỏ d ử ng t ụ ài nguyên hi ở n t ệ i mà khống ph ạ i là ả t
ở ươ ng lai. Khi MUC => PTN theo th i gianChi phí c ờ a ng ủ i s ườ d ử ụ ng (MUC) đ ượ c tnh là kho ả ng chênh l ệ nh gi
ữ a giá và chi phí biên luốn có giá tr ị
khống đ i khi quy vêề giá tr ổ hi n t
ị ệ i. • MUC1 = MUC0(1+r)1 MUCt = MUC0(1+r)t • Điêề ạ
u này đả m bả o sự cống bắềng liên thêắ h khi chi phí ng ệ i s ườ d
ử ụ ng là như nhau khi quy vêề giá tr ị hi ệ n t ạ i.
Ta có: P1 - MC = (P0 - MC) (1 + r) P1 = (P0 - MC) (1 + r) + MC M rở ng cho t ộ h i kỳ dài t t ờ
a có: Pt = MC+ (P0 - MC) (1 + r)t Giá c a ER liên t ủ ụ c tắng theo th ờ
i gian, tuy nhiên seỗ khống liên t ụ
c tắng cho đêắn vố cùng đ ượ c.
CHƯƠNG 4: LƯỢNG GIÁ VÀ PHÂN TÍCH CHI PHÍ-LỢI ÍCH
Lượng giá tài nguyên và môi trường
Lượng giá = qui đổi về thước đo tiền tệ giá trị của tài nguyên và môi trường. • Là quá trình phân tích, đánh giá các giá trị
về mặt lý-hóa-sinh của các thành phần tài nguyên, môi trường và quy đổi các giá trị này sang đơn vị tiền tệ
Định giá là quá trình mà một doanh nghiệp đặt giá cho sản phẩm và dịch vụ của mình. Trong việc thiết lập giá, doanh
nghiệp sẽ tính đến mức giá mà nó có thể thu về được hàng hóa, chi phí sản xuất, thị trường, cạnh tranh, điều kiện thị
trường, thương hiệu và chất lượng sản phẩm
Sự cần thiết: Tài nguyên, môi trường cung cấp nhiều hàng hoá dịch vụ cho con người. • Không phải tất cả các hàng hoá
dịch vụ đó đều được mua bán trên thị trường. • Điều này dẫn đến khả năng đánh giá thấp giá trị các nguồn lực, làm cho
nguồn lực sử dụng không hiệu quả hoặc suy giảm nguồn lực. • Lượng giá sẽ xác định tổng giá trị kinh tế của tài sản môi
trường kể cả các giá trị phi thị trường.
Tổng giá trị kinh tế của môi trường
1. Các phương pháp dựa trên giá thị trường thực:
a. Phương pháp dựa trên giá thị trường trực tiếp:
Mục đích: Đánh giá giá trị sử dụng trực tiếp của tài nguyên (đóng góp của tài nguyên trong việc tạo ra các giá trị
• Dữ liệu: + Giá thị trường của sản phẩm + Số lượng sản phẩm được sản xuất và bán + Tổng diện tích của khu vực sản
xuất + Chi phí sản xuất Giá trị tài nguyên/ha = Tổng giá trị/ha - Tổng chi phí/ha
b. Phương pháp Thay đổi năng suất:
Mục đích: đánh giá sự thay đổi trong giá sử dụng trực tiếp của tài nguyên khi có những tác động từ bên ngoài làm suy
giảm tài nguyên, môi trường.
Giả định: – Môi trường là một đầu vào của sản xuất – Thay đổi thuộc tính môi trường -> thay đổi sản lượng – Vậy, giá trị
của sự thay đổi = giá trị sản lượng thay đổi.
Các bước tiến hành: + Tìm hiểu mối quan hệ giữa tác động môi trường và thay đổi năng suất + Tính toán diện tích bị ảnh
hưởng + Thu thập số liệu năng suất trước và sau khi bị tác động môi trường (hoặc so sánh với vùng đối chứng) Giá trị
thay đổi = (Năng suất trước-Năng suất sau)* giá* diện tích bị ảnh hưởng
Ưu điểm: – Trực tiếp và rõ ràng – Dựa vào giá quan sát được trên thị trường – Dựa vào mức sản lượng quan sát được •
Nhược điểm: – Xác định hàm số liều lượng-đáp ứng – Ước tính dòng sản lượng theo thời gian? – Giá hàng hóa không
thay đổi – Không có các input khác
c. Phương pháp chi phí bệnh tật: Bước 1: Xây dựng hàm liều lượng đáp ứng (quan hệ giữa chất gây ô nhiễm và sức
khoẻ người dân) Ví dụ: dHi = bi × dA dHi : thay đổi tỷ lệ tử vong/bệnh dA: thay đổi chất lượng môi trường Bước 2: Xác
định số người bị bệnh/tử vong Bước 3: Tính chi phí trung bình cho 1 ca khám chữa(Chi phí trực tiếp, chi phí gián tiếp, chi
phí vô hình) Bước 4: Tính tổng chi phí
Ưu điểm: – Áp dụng tốt trong các trường hợp bệnh ngắn ngày, không có hậu quả tương lai – Có thể dùng hàm liều lượng
đáp ứng được xây dựng sẵn để chuyển đổi giá trị (benefit transfer)
Nhược điểm: – Khó xây dựng hàm liều lượng-đáp ứng – Không tính đến hành vi tự bảo vệ của cá nhân (có phát sinh chi
phí…) – Không xác định được đầy đủ chi phí bệnh tật
d. Phương pháp chi phí thay thế:
Mục đích: đánh giá giá trị sử dụng gián tiếp của tài nguyên, môi trường thông qua những hàng hoá thay thế có giá thị trường
Giả định: Nhập lượng môi trường và nhập lượng khác có thể thay thế cho nhau: ∆E à ∆X Nếu sản lượng không đổi: Giá
trị ∆E ~ giá trị ∆X Ví dụ: Người nuôi bò có thể cho bò ăn cỏ (E) hoặc thức ăn tổng hợp (X). Giả sử E và X có thể thay thế
cho nhau hoàn toàn. Giá trị của đồng cỏ (E) có thể xác định thông qua giá trị của X.
Ứng dụng: – Đánh giá giá trị tài nguyên như là đầu vào của sản xuất, tiêu dùng (đồng cỏ, gỗ làm củi…) •
Ưu điểm: – Đơn giản và rõ ràng – Được sử dụng rộng rãi ở các nước đang phát triển •
Nhược điểm: – Khó xác định chính xác tỷ lệ thay thế. – Tỷ lệ thay thế có thể thay đổi – Chỉ tính được giá trị sử dụng của tài nguyên e.Chi phí tránh được:
Mục đích: Đánh giá giá trị sử dụng gián tiếp của tài nguyên, môi trường •
Bản chất: Giá trị của của tài nguyên, môi trường được xác định thông qua khả năng phòng chống thiệt hại cho con người
khi có những tác động bên ngoài (thiên tai) xảy ra •
Tiến hành: Phải tìm hiểu được số liệu đối chứng về thiệt hại khi xảy ra tác động giữa nơi có tồn tại dịch vụ môi trường và
nơi không cóà ước lượng được giá trị phòng tránh
2. Các phương pháp dựa trên thị trường thay thế
Ph ương pháp TCM(pp chi phí giá du lị ch): TCM là ph ng pháp đ ươ c dùng đ ượ đánh giá l ể i ích gi ợ ả i trí c ủ a 1 lo ạ i tài s ả n mối tr ng (khu r ườ ng, hốề n ừ c, khu b ướ o tốền ả bi n, v ể ườ n quốắc gia, c ả i thi ệ n chấắt l ượ ng n ướ c…). • TCM d a ự trên gi đ ả nh r ị
ắềng chi phí phả i bỏ ra để tham quan 1 nơ i nào đó phả n ánh giá sắỗn lòng tr ả cho ho ạ t đ ộ ng gi ả i
trí n i đó. • Hàm cấều gi ở ơ i trí: Nhu c ả
ấều gi i trí = ƒ(chi phí du hành, thu nh ả p, đ ậ c đi ặ m kinh têắ x ể ã hộ i,…):
a.Sốố lầần đếốn củ a m ộ t cá nhần trong m ộ t kho ả ng th ờ i gian nhầốt đ ị nh à ph ươ
ng pháp chi phí du hành cá nhần (ITCM). S d ng trong tr ử ụ ng h ườ p đ ợ a đi ị m gi ể i trí đ ả c du khách th ượ ng xuy ườ
ên lui t i trong nắm. • Hà ớ
m cấều: Vi = ƒ(TCi , Yi , Si ) Trong đó: Vi là sốắ l t tham quan c ượ a du khách i t ủ i đ ớ a đi ị m gi ể i trí. Si : Đ ả c đi ặ m xã h ể i c
ộ ủ a du khách i Yi : Thu nh ậ p c ủ a
du khách i TCi : Chi phí du l ch c ị ủ a du khách i Các bướ c: Xác đ nh đ
ị a điị m đánh giá • Xác đ ể nh nh ị ng giá tr ữ gi i trí và mùa gi ị ả i trí • Xác đ ả nh cách lấắ ị y mấỗu • Xấy dự ng và l a ch n mố hình • ự ọ
Thiêắt kêắ phiêắu điêều tra • Th c hi
ự ệ n điêều tra • Xử lý vấắn đêề tham quan nhiêều đi ể m (mult purpose
trip) • Tính toán các chi phí • Ch y v ạ à c l
ướ ượ ng các tham sốắ c ủ a mố hình • Xác đ ị nh giá tr ị gi ả i trí d ự a trên nh ữ ng tham sốắ đã c l ng – ướ Tính CS cho t ượ ng cá nhấn: – ừ T ng CS = ổ
N×ICSTrung bình ∫ = CP TC ICS f TC S dTC 1 (
b.Sốố ngườ i đếốn từ m ộ t vùng trong m ộ t kho ả ng th ờ i gian nhầốt đ ị nh à ph ươ
ng pháp chi phí du hành theo vùng (ZTCM).
Sử dụng trong trường hợp địa điểm giải trí có ít du khách thường xuyên lui tới. • Là cách xác định giá trị giải trí đơn giản,
ít tốn kém. • Số liệu sử dụng có thể là thông tin do địa điểm giải trí, công ty lữ hành cung cấp (số liệu thứ cấp)
Các bước tiến hành: Xác định địa điểm cần đánh giá • Phân chia vùng - Theo đường tròn đồng tâm - Theo địa giới hành
chính • Chọn mẫu phỏng vấn - Lập phiếu thu thập thông tin - Thời điểm thu thập thông tin • Xác định lượng khách đến từ
mỗi vùng • Thu thập số liệu tổng dân số mỗi vùng (Pj) và tổng số khách tham quan của vùng đó (Vj) Tính tỷ lệ tham
quan cho từng vùng VRj = Vj/Pj • Tính chi phí du hành trung bình mỗi vùng TCj - Chi phí đi lại (theo loại phương tiện và
chi phí/km) - Chi phí cơ hội về thời gian • Hồi quy hàm cầu VRj = f(TCj) • Xây dựng đường cầu • Tính thặng dư tiêu
dùng bình quân CSj • Tính tổng thặng dư tiêu dùng mỗi vùng zCSj = CSj * Pj
c. Đánh giá hưở ng thụ : Khi một cá nhấn ch n mua hay t ọ
huê bấắt động sả n, cá nhấn seỗ xem xét các thuộ c tnh/đặc đi ể m khác nhau c a b ủ ấắt đ ng s ộ n k ả c
ể ả thuộ c tnh mối trườ ng trướ c khi quyêắt đ
ị nh. § Thống qua nghiên c ứ u hành vi l ự a ch ọ n
và xấy d ng mố hình kinh têắ, x ự em xét đ ư c t ợ ác đ ng c ộ a chấắt l ủ
ượ ng mối trườ ng lên giá cả bấắt đ ộ ng s ả ừn, t đó tnh đ ượ c giá tr mối tr ị ng. Các b ườ c: Xác đ ướ nh giá tr ị cấền ị l ng giá • ượ Thu th p d ậ li ữ ệ u vêề giá tr ị tài s ả n • L ự a ch ọ n mố hình và d ng hàm ạ c l ướ ng • ượ c l
Ướ ượ ng các tham sốắ mố hình và xem phấền đóng góp c ủ a mối tr ườ ng trong giá tr ị tài s ả n Các phươ ng pháp d ự a trến thị tr ườ ng gi ả đinh: Ph ng pháp đ ươ ị
nh giá ngầẫu nhiến (CVM): “Ph ng pháp đ ươ nh giá ng ị ấỗu nhiên là ph ng pháp x ươ ác đ nh giá tr ị ị kinh t ủ êắ c a các hàng hóa và d ch v ị khống mua bán trên th ụ trị ng. Ph ườ ng pháp nà ươ y s d
ử ụng bả ng hỏ i phỏ ng vấắn đ ể xác đ ị nh giá tr cị a hàng hóa d ủ ch v ị khống tr ụ ao đ i và do đó khống c ổ ó giá trên th tr ị ng ” CVM đánh giá giá tr ườ hàng hó ị a MT bắềng
cách h i tr c têắp vêề m ỏ ự c bắềng lòng chi tr ứ
(WTP) bắềng lòng chấắp nh ả ậ n (WTA). Có th đánh giá giá tr ể cị a: ủ – S c
ự ả i thiệ n mối trườ ng • Max WTP đ ể đ ạ t đ ượ c s ự ả c i thi ệ n • Min WTA ể đ ừ tỏ b ự ả s c i thi n – S ệ thi ự t h
ệ ạ i mối trườ ng • Max WTP đ ể tránh thi ệ ạt h i • Min WTA ể đ chấắp nh ậ n thi ệ ạ t h i Các b c th ướ c hi ự ệ n: • Xác đ
ị nh hàng hóa cấền đánh giá • Xác ịđ nh đốắi t ượ ng kh ả o sát • L ự a ch ọ n ph ươ ng th ứ c kh ả o sát/cách đ t cấu h ặ i • Xấy d ỏ ng cống c ự kh
ụ ả o sát – Xấy dự ng b ả ng cấu h ỏ i – Xác đ ị nh các m ứ c giá • Kh ả o sát • X ử lý d ữ li u • ệ ổ Tính t ng WTP
Phươ ng pháp mố hình hoá chọn l ự a (CM):
Có b n chấắt giốắng CVM là cũng x ả ấy d ng các k ự ch b ị n gi ả đ ả ịnh nhưng mốỗi k ch b
ị ả n thì có nhiêều thu ộ c tnh; • D ự a vào điêều tra đ ể ướ c l ượ ng m ứ c sắỗn lòng chi tr ả cho t ừ n ị g k ả ch b n; • Cho phép
đánh giá sự ‘hoán đổi’ (đánh đổi giữ a từ ng thuộ c tnh); • Đòi hỏi s ự tham gia sấu c
ủ a các chuyên gia trong xấy d ự ng k ị ch bản. Các b c têắn hành: • Xác đ ướ nh giá tr ị
cấền đánh giá • Xác đ ị nh mấỗu ị
và đốắi tượng phấn tch • Xấy d ng các k ự ch b ị n gi ả ả
đị nh (chuyên gia) • Thả o luậ n nhóm để xấy d ự ng b ả ng h
ỏ i • Pretest để hoàn thiệ n b ả ng h ỏ i • Xấy d ự ng mố hình tnh
toán • Điêều tra hi n trệ ng • X ườ lý d ử liữ u và ệ c l ướ ng mố hình (hi ượ u ệ ch nh các lốỗi) • ỉ Tính toán giá tr c ị ủ a mấỗu và suy rộ ng cho tổng th ể .
3. Phần tch chi phí-lợi ích:
Phấn tch l i ích-chi phí (CBA) là m ợ ộ t ph ươ ng pháp hay là m ộ t cống c ụ dùng đ ể đánh giá và so sánh gi a các ph ữ ng án c ươ nh tranh d ạ a trên q ự uan đi m x
ể ã h i nhắềm cung cấắp thống tn cho vi ộ ệc ra quyêắt đị nh l ự a ch ọ n phấn b nguốền l ổ c. • “Phấn tch l ự i ích-chi phí là m ợ t ph ộ ng pháp đ ươ c dùng đ ượ nh ể ậ n d ạ ng, l ượ
ng hóa bắềng têền tấắt c ả cái ‘đ c ’ v
ượ à ‘ mấắt’ têềm nắng t m
ừ ộ t dự án nhấắt đ ị nh nhắềm xem xét d
ự án đó có đáng mong muốắn hay khống trên quan đi m xã h ể ộ i nói chung.”
Thờ i điể m thự c hiệ n: Ex-ante CBA: đ c têắn hành tr ượ c khi d ướ án đ ự c th ượ ự c thi • Ex-post CBA: đ ượ c têắn hành sau khi d án đ ự c th ượ c thi đ ự xe ể m l i ích mang l ợ i có l ạ n h
ớ ơ n chi phí khống • In medias res CBA: đ ượ
c têắn hành trong suốắt th i kỳ th ờ c thi d ự án • Ex-a ự nte/ex-post CBA: d ng k ạ êắt h p gi
ợ ữ a ex-ante CBA và ex-post CBA. Các bướ c thự c hiệ n: B c 1: Nh ướ n dậng vấắn đêề v ạ
à xác đị nh các phươ ng án giả i quyêắt. • B ướ c 2: Nh ậ ạ n d ng các l ợ i ích và
chi phí xã h i c a mốỗi ph ộ ủ ươ ng án. • B ướ c 3: Đánh giá l ợ i ích và chi phí c ủ ươ a mốỗi ph ớ ng án. • Bu ậ ả
ợ c 4: L p b ng l i ích và chi phí hàng nắm. • B c 5:
ướ Tính toán l i ích xã h ợ i ròng c ộ ủ a mốỗi ph ươ ng án. • B ướ c 6: So sánh các ph ươ ng án theo l ợ i ích xã h i ròng. • B ộ
ước 7: Kiể m tra ả nh hưở ng củ a sự thay đổ i trong giả đị nh và dữ li ệ u (phấn tch đ ộ nh ạ y) • B ướ c 8: Đ a ra đêề ngh ư ị Các chỉ tếu sử d ụ ng: Giá tr hiị n t ệ i ròng – Net Pr ạ
esent Value • T suấắt hoàn vốắ ỷ n nội b
ộ - Internal Return Rate • T ỷ sốắ l ợ i ích chi phí
Phần tch tài chính: Phấn tch tài chính kiể m tra khả nắng lợ i nhuậ n mang lạ i c ủ a m ộ t d ự án cho nhà đấều t ư ; nó phấn tch
dòng têền và xem xét các chi phí c a nhà đấều t ủ ư và doanh thu nh ậ ủ n vêề c ư a nhà đấều t ướ ớ
ả ờ . Nó hỏ ng t i tr l i cấu h i sau đấy: Li u d ệ án c ự ó mang l i lạ i nhu ợ n vêề tà ậ
i chính củ a nhà đấều t
ư hay khống? • Phấn tch kinh têắ ki ể m tra s ự phù h ợ p c ủ a d án đốắi v ự i toàn b ớ xã h ộ i, khống ch ộ cho nhà đấều t ỉ . Nó h ư ng t ướ i tr ớ l
ả ờ i cấu hỏ i sau: Liệ u dự án có c ả i thi ệ n phúc l ợ i xã h i hay khống? ộ
CHƯƠNG 5: QUẢN LÝ MÔI TRƯỜNG Qu n lý mối tr ả
ường và vai trò củ a nhà n ướ c Khái niệm Qu n lý MT ả là m t ho ộ t đ ạ n ộ g trong lĩnh v c qu ự n lý xã h ả i, có tác đ ộ
ộng điêều chỉ nh các hoạ t độ ng củ a con ngườ i d ự a trên s têắp c n có h ự ậ ệ
thốắng và các kĩ nắng điêều phốắi thống tn đốắi v ớ
i các vấắn đêề MT có liên quan đêắn con ng ườ i, xuấắt phát t quan đi ừ m đ ể nh l ị ng ượ , h ng t ướ i ptbv v ớ à s d
ử ụ ng hợ p lý tài nguyên • QLMT là vi ệ c s ử ụ d ng t ổ ng h ợ p các bi ệ n pháp,
lu t pháp, chính sách kinh têắ kyỗ t ậ hu t thích h ậ p nhắềm b ợ o vả chấắt l ệ
ượng mối trườ ng sốắng và phát triể n bêền v ữ ng kinh têắ xã h i quốắc gia. ộ Nguyến tắếc H ng t i s ướ ptbv • K ớ ự êắt h p các m ợ
c têu quốắc têắ - quốắc gi ụ a- vùng lãnh th và c ổ ng đốềng dấn c ộ ư trong QLMT • QLMT xuấắt phát t quan đi ừ m h ể thốắng và cấề ệ n đ c th ượ c ự hi ệ n bắềng nhiêều bi ệ n pháp và cống c ụ thích h ợ p • Ư u tên phòng ng a và gi ừ m thi ả u ố nhiêỗm • Ng ể i gấ
ườ y ố nhiêỗm phả i tr ả têền Phân lo i:
ạTheo ch c nắng – Cống c ứ điêều ch ụ nh vĩ mố: lu ỉ
ật pháp, chính sách – Cống cụ hành đ ộ ng: các cống c ụ hành
chính, kinh têắ – Cống c ph ụ tr ụ ợ : khống có tác đ ộ ng tr ự c têắp, dùng đ
ể quan sát, giám sát các hoạ t độ ng gấy ONMT
• Theo b n chấắt cống c ả : – Cống c ụ lu
ụ ậ t pháp – chính sách – Cống cụ kinh têắ – Cống c ụ kĩ thu ậ t Công cụ a. Cống c lu
ụ t pháp và chính sách • ậ Còn g i là cống c ọ
ụ pháp lý hay cống cụ Mệ nh lệ nh và Ki
ể m soát (CAC)• Giám sát và c ng chêắ là 2 y ưỡ êắu tốắ quan trọng c ủ a nhóm cống c ụ này • u đi Ư m – Đ ể c coi là bình đ ượ ng vì tấắt c ẳ m
ả ọ i ngườ i đêều tuấn th ủ nh ữ ng quy đ ị nh chung – Có kh ả nắng qu ả n lý các lo ạ i chấắt th i đ
ả ộ c hạ i và các tài nguyên quý hiêắm thống qua các quy đ
ị nh mang tnh cưỡ ng chêắ cao • H n chêắ – Đòi h ạ i nguốền nhấn l ỏ c và tài chính l ự n đ ớ có th ể giám sát đ ể c m ượ i khu v ọ ực, mọi hoạ t đ ộ ng nhắềm xác đ ị nh
khu v c b ố nhiêỗm và đốắi t ự ị ng gấ
ượ y ố nhiêỗm – Đòi h i hỏ thốắng pháp lu ệ t vêề mối tr ậ ườ ng phả i đấềy đ ủ và có hi ệ ự u l c
b. Cống cụ giáo dục và thống tn mối tr ng • Là cống c ườ qu ụ ả n lý mối tr ườ
ng gián têắp, giúp nấng cao nh ậ n th ứ c, ý th ứ c mối tr ng c ườ a toàn x ủ ã h i & cung cấắp m ộ
t sốắ kyỗ nắng cấền thiêắt tr ộ ong hoạ t đ ộ ng thấn thi ệ n v ớ i mối tr ườ ng • Giáo d ụ c mối tr ng: thống qua các ho ườ t đạ ng giáo d ộ
c chính quy và khống chính qu ụ y giúp con ng i có đ ườ c s ượ hi ự ể u biêắt, kyỗ
nắng cấền thiêắt đ hể có th ọ
tham gia vào quá trình phá ể t tri n xã h ể i bêền v ộ ng
ữ vêề sinh thái • Truyêền thống mối tr ườ ng là quá trình t ng tác x ươ ã h i nhắềm giúp nh ộ ng ng ữ i liên quan hi ườ u để c các v ượ ấắn đêề mối tr
ườ ng nhắềm khuyêắn khích s ự tham gia c a h ủ vào quá trình gi ọ i quy ả
êắt nhữ ng vấắn đêề mối tr ườ ng đó c. Cống c kinh têắ ụ
Tác đ ng đêắn chi phí và l ộ i ích tr ợ ong ho t đ
ạ ộ ng củ a các tác nhấn kinh têắ nhắềm t ạ o ra hành vi tác đ ộ ng theo h ng có l ướ i cho mối tr ợ ng (nguyên t ườ ắắc ng i gấ
ườ y ố nhiêỗm tr têền, ng ả ườ i h ưở ng l ợ i tr ả têền) • S d ng ử CCKT ụ nhắềm 2 m c đ
ụ ích chính (1) điêều ch nh hành vi c ỉ ủa các nhà s n xuấắt v ả
à ngườ i têu dùng, (2) tạ o nguốền tài
chính cho ngấn sách và/ ho c cho vi ặ c cung cấắp các h ệ àng hoá/ d ch v ị ụ mối tr ườ ng • S dử ng
ụ CCKT thườ ng liên quan đêắn: Øcác dòng chuy ể n d ị ch tài chính Øho ặ c t ạ o ra nh ữ ng th ị tr ườ ng m ớ i
3 nhóm CCKT ch yêắu (1) nhóm cống c t o nguốền thu: Thuêắ mối tr ng, Phí mối tr ng, Quyỗ mối tr ng… (2) nhóm cống c t o l ụ ạ p th ậ trị ng: Chi tr ườ d ả ch ị v mối tr ụ ng
ườ , Giấắy phép xả thả i có thể chuyể n nhượ ng… (3) nhóm cống c ụ
nhắềm nấng cao trách nhi m xã h i: Ký quyỗ mối tr
ng, Đ t c c hoàn tr , Bốềi th ng thi t h i mối tr ng, B o hi m r i ườ ro mối tr ng e. Qu n lý d ả ự a vào c ộ ng đôồng
Nguyến tắếc: Tắng quyêền l c c a c ự ng đốềng Xấy d ủ ộ ng mố hình BVMT ự , trao quyêền l c ch ự đ
ủ ộ ng cho cộ ng đốềng trong nh ng lĩnh v ữ c cự thụ ; tắng c ể ng s ườ ki ự m soát, s ể têắp c ự
ận củ a cộ ng đốềng. • Sự cống bắềng Bình đ ẳ ng gi ữ a m ọ i cá nhấn và t ch c đốắi v ổ ứ i cớ h i có đ ơ ộ c trong vi ượ c xấ ệ y d ng các mố hình B ự
VMT • Tính hợp lý vêề sinh thái và s ự phát tri ể n bêền v ng. Nh ng ho t đ ng đ
c th c hi n cấền ph i tnh đêắn ng
ng ch u đ ng c a nguốền tài nguyên và sinh thái
Yếu tố: Đáp ứng nhu cầu (cộng đồng phải đủ khả năng duy trì, tạo ra hoặc thu được các sản phẩm và dịch vụ cần thiết cho
đời sống, sức khoẻ và phúc lợi của họ một cách bền vững), 2. Cải thiện và duy trì MT (bảo tồn đất, tài nguyên nước, sử
dụng tài nguyên sinh học, khống chế ô nhiễm, phục hồi các hệ sinh thái bị suy thoái và cải thiện chất lượng MT), 3. Tăng
quyền lực của cộng đồng (tạo thuận lợi cho các cộng đồng và cá nhân tự kiểm soát cuộc sống của mình, kể cả tạo ảnh
hưởng đến các quyết định có tác động đến mình) Câu hỏi Đ-S: C1
Phát triển kinh tế xanh là một trong những cách nhằm đạt mục tiêu phát triển bền vững
Đúng. Vì phát triển kinh tế xanh sẽ bảo vệ được nguồn tài nguyên không bị cạn kiệt trong tương lai, khai thác hợp lý và
xử lý ô nhiễm thì mới có thể phát triển bền vững.
Theo luâ vt môi trường VN, môi trường gồm 2 yếu tố: tự nhiên và nhân tạo Đúng: Mối tr
ng bao gốềm các yêắu tốắ t nhiên và yêắu tốắ v t chấắt nhấn t o có quan h m t thiêắt v i nhau bao quanh con ng i, nh h
ng đêắn s sốắng, s tốền t i và phát tri n c a con ng i và t nhiên. C2
Ô nhiễm tối ưu là mức ô nhiễm bằng 0
Sai. Mức ô nhiễm tối ưu là tại đó chi phí giảm thải cận biên bằng chi phí thiệt hại cận biên
Ngoại ứng tiêu cực làm giảm phúc lợi xã hội, ngoại ứng tích cực làm tăng phúc lợi xã hội.
Sai. Vì ngoại ứng tiêu cực cũng làm giảm phúc lợi xã hội do doanh nghiệp sản xuất mức sản phẩm ít hơn so với mức xã hội mong muốn.
Ngoại ứng (ảnh hưởng ngoại lai) trong kinh tế là những ảnh hưởng lên đối tượng khác nhưng không được tính
toán vào hệ thống kinh tế. Đúng. Vì ngoại ứng gây ra tác động ảnh hưởng đến các chủ thể xung quanh, rơi vào 2 trường
hợp: mất chi phí nhưng ko được hưởng lợi ích (nứ tiêu cực), được hưởng lợi ích nhưng ko mất chi phí gì (nứ tích cực).
Tác động này ko được tính vào giá của hàng hóa gây ra ngoại ứng, gây ra giá sai, Giá cá nhân > hoặc < giá xã hội.
Thất bại thị trường do Ngoại ứng tiêu cực gây ra là Sản xuất/ tiêu dùng ở mức lớn hơn mức tối ưu xã hội. Đúng -> đồ thị
Khi xảy ra ngoại ứng tiêu cực Lợi ích biên xã hội nhỏ hơn lợi ích biên cá nhân do cá nhân đã đẩy được chi phí
ngoại ứng cho xã hội. Sai. MPB=MSB nhưng MSC > MPC
Hàng hóa công cộng có thể vừa có tính cạnh tranh vừa có tính loại trừ trong tiêu dùng. Sai. Hàng hóa công cộng có
2 tính chất là tính phi loại trừ: rất khó loại trừ ai đó ra khỏi việc tiêu dùng hàng hóa. Tính phi cạnh tranh: việc tiêu dùng hh
của người này ko làm giảm số lượng đáp ứng cho người khác.
Thuế Pigou tạo ra động cơ kinh tế để điểu tiết mức sản xuất về mức tối ưu xã hội. Đúng. Là công cụ kinh tế vì nó
đánh vào TR,TC, lợi nhuận để thay đổi hành vi của cá nhân từ tối ưu lợi ích cá nhân -> tối ưu lợi ích xã hội -> vẽ đồ thị.
Thuế Pigou không gây ra tổn thất vô ích vì không làm thay đổi thặng dư sản xuất và thặng dư tiêu dùng. Sai. Khi
đánh thuế -> giảm Q tăng P -> có ảnh hưởng CS và PS -> đồ thị.
Áp dụng Phí thải tạo động cơ khuyến khích các doanh nghiệp đầu tư giảm thải. ĐúngPhí thải là khoản tiền đánh vào
từng đơn vị chất thải gây ô nhiễm => càng thải nhiều càng phải nộp phí nhiều => sẽ điều chỉnh để đạt được mức sản lượng tối ưu cho XH
Tác dụng của phí thải là khuyến khích giảm ô nhiễm trong dài hạn. Đúng
Mức chuẩn thải được xác định dựa vào sức chịu tải của môi trường. Sai. Dựa trên mức thải tối ưu W*: giao MDC và MAC.
Giấy phép xả thải có thể chuyển nhượng là sự kết hợp giữa công cụ chuẩn thải và công cụ phí thải. Đúng
Động cơ kinh tế khuyến khích các doanh nghiệp tham gia vào thị trường giấy phép xả thải là khi tham gia mua
bán giấy phép các doanh nghiệp đều có lợi. Đúng -> đồ thị.Doanh nghiệp nên bán giấy phép khi chi phí giảm ô nhiễm
cận biên của họ thấp hơn giá giấy phép và ngược lại, nên mua giấy phép nếu chi phí này cao hơn giá giấy phép. Động lực
của thị trường giấy phép đều có lợi, đồng thời tổng chi phí giảm thải của toàn xã hội sẽ giảm xuống
Giấy phép xả thải có thể chuyển nhượng có thể gây ra ô nhiễm cục bộ do hiện tượng thâu tóm giấy phép. Sai . Có
thể đưa mức ô nhiễm về tối ưu.
Thỏa thuận mức ô nhiễm thông qua thị trường không xảy ra khi quyền tài sản môi trường thuộc bên chịu ô nhiễm. Sai
Phí thải có ảnh hưởng kém chắc chắn hơn về mức ô nhiễm so vs chuẩn thải. Đúng. Chu n th i áp đ ẩ
ả t 1 mặ c th i ứcốắ đ ả nh
ị W* cho doanh nghi p nên seỗ c ệ hắắc chắắn vêề m ứ ả c th i đốắi v ớ i mối tr ườ ng, phí th i các ả doanh nghi p tệ l a ự ch ự n m ọ c th ứ i d ả a trên ự c sơ tốắi ở u
ư hoá chi phí nên nhiêều khả nắng seỗ k đ ạ t đc W*. DN ph i c ả ấn nhắắc gi a ữ chi phí gi m th ả i và chi phi n ả p
ộ phí .Mà phí thải có độ trêỗ,chuẩ n th ả i vì m ụ c têu mối tr ườ ng nên ngay lập t ứ c đc th ự c hi ệ n... C3
Giá tài nguyên không tái tạo tăng liên tục theo thời gian, cho đến vô cùng. Sai Vì khống thể v ượ t qua đ ượ c giá thay
đ i cống ngh . Tắng đêắn khi tm đ
c cống ngh / tài nguyên thay thêắ thì giá có th gi m.
Việc tăng tỷ lệ chiết khấu làm cho tài nguyên không tái tạo được khai thác nhiều và nhanh cạn kiệt hơn. đúng vì giá
trị chủ mỏ nhận được trong tương lai quy về thời điểm hiện tại thấp.
Việc tìm được công nghệ hoặc tài nguyên thay thế làm cho tài nguyên không tái tạo được khai thác lâu hơn. Đúng
Nếu trữ lượng của quần thể là lớn thì cùng với một mức nỗ lực đánh bắt, sản lượng đánh bắt được nhiều hơn . Đúng
Các nhà quản lí môi trường ưa thích mức tỉ lệ chiết khấu thấp.
Đúng. Vì v i m c t l chiêắt khấắu cao seỗ làm gi m giá tr hi n t i c a l i ích ròng ( th i kì sau còn gi m h n th i kì tr c ) -> t o đạ ng l ộ c khai ự thác -> vi c khai thác ệ tài nguyên hi ở n ệ t i ạ seỗ nhiêều h
ơ n -> tài nguyên nhanh c ạ n ki ệ t -> nhà qu ả n lí a thích m c t l CK thấắp. C4
Đánh giá tác động môi trường thường được thực hiện khi dự án kết thúc. Sai có thể thực hiện khi dự án còn chưa
quyết định xem có nên thực hiện hay ko.
Định giá môi trường chỉ mang tính chủ quan do các giá trị phi thị trường của môi trường không thể định lượng
được. Sai. Khó chứ ko phải không thể định lượng được. Đôi khi vẫn có thể định lượng được qua thị trường giả định
Không thể sử dụng cơ chế thỏa thuận bồi thường ô nhiễm giữa người gây ô nhiễm và người chịu ô nhiễm do không
thể xác định được mức độ thiệt hại. Sai. Có xác định được mức độ thiệt hại nếu có đầy đủ các thông tin. C5
Không cần thực hiện quản lý nhà nước về môi trường vì các tổ chức chính trị xã hội khác đã thực hiện việc này .
Sai Phải kết hợp giữa các chủ thể nhà nước, doanh nghiệp, cộng đồng thì mới có thể đạt mục đích là sử dụng hiệu quả tài
nguyên, giảm thiểu ô nhiễm, pt bền vứng. Chỉ có nhà nước mới có thể sử dụng các biện pháp đánh thuế (công cụ kinh tế),
hay chuẩn thải (công cụ pháp lý).
Quản lý nhà nước về môi trường là cần thiết vì đó chính là một mặt của đời sống xã hội. Đúng
Quản lý nhà nước về môi trường bắt buộc phải sử dụng tổng hợp nhiều công cụ, chính sách: công cụ pháp lý, công
cụ kinh tế và công cụ giáo dục nâng cao nhận thức cộng đồng. Đúng
Quản lý môi trường giúp doanh nghiệp phát triển bền vững
Đúng. Vì quản lý môi trường giúp doanh nghiệp hạn chế được chi phí thiệt hại trong quá trình sản xuất, hài hòa giữa mục
tiêu kinh tế, xã hội, môi trường.
Nhà nước là cơ quan quản lý môi trường duy nhất
Sai. Vì nhà nước là cơ quan chịu trách nhiệm chính về quản lý môi trường, ngoài ra còn có các cơ quan khác từ cấp trung ương đến địa phương.
Việc nhà nước ban hành luật thuế môi trường góp phần hạn chế sử dụng các sản phẩm gây ô nhiễm. Đúng – vì làm
tăng giá, giảm sản lượng hàng hóa -> hạn chế sử dụng.
Chính phủ nên ban hành tiêu chuẩn thải khắt khe đối với các chất thải nguy hại. Đúng. Chất thải nguy hại có phạm
vi ảnh hưởng lớn, tác động xấu tới MT -> ban hành tiêu chuẩn khắt khe. Gi s nhà n c thu phí mối tr
ng, rốầi dùng tếần phí mối tr
ng đ hốẫ tr các doanh nghi p đầầu t cống ngh gi m th a a
i, điếầu này co khiếốn doanh nghi ê p đi ng ươ
u c m c tếu khuyếốn khích doanh nghi ê p đầầu t ư a a gi m th i. Sai M c têu c ụ ủ a phí là tác đ ộ ng đêắn hành vi c ủ a doanh no có trách nhi ệ m vs mối trg và XH. ệ Vi c NN hốỗ tr ợ các DN đấều t ư CN gi m th
ả ả i càng làm các DN có ộ đ ng ự l c, kk các DN gi ả ả m th i. Thu phí mối ườ tr ng g ạ iúp t ộ o ơ đ ng c cho doanh ng ệ hi p đấều t cống ngh ư tệ gi
ự ảm thải, việ c hốỗ tr ợ c ủ a nhà n ướ c ch ỉ giúp đ ạ t hi ệ u qu ả cao h ơ n Nhà nướ c ả qu n lý mối ườ tr ng ể đ
giúp các doanh ệ nghi p phát ể tri n bếần ữ v ng. Đúng --> Nhà n c ướ qu n ả lý mối tr ng ườ , đ a ư ra các cống c m ụ ệ nh l
ệ nh và kinh têắ bắắt bu ộ c và ị đ nh h ướ ng các doanh
nghi p theo nốỗ l c gi m th i đêắn m c tốắi u, phí, giấắy phép bu c các doanh nghi p ph i thay đ i cống ngh s n xuấắt
thấn thiệ n vớ i mối trườ ng, giả m đượ c chi phí, nấng cao chấắt l ượ ngả sẩ n ph ừ m, t đó tắng tnh c ạ nh tranh ủ c ả a ẩ s n ph m và th
ng hi u, doanh nghi p phát tri n bêền v ng. thuếố mối tr
ng, phí th i, chu n th i là cống c kinh tếố kinh têắ đ
thay đ i hành vi c a cá nhấn t max Ucn thành max U xh. Câu hỏi trắc nghiệm:
Môi trường sống của con người theo chức năng được chia thành các loại: Môi trường tự nhiên, môi trường xã hội và môi trường nhân tạo
Theo quan đi m h thốống, mối tr
ng bao gốầm các đ c tr ng: t điêều ch ự ỉ nh(quan tr ọ ng nhấắt)
Tính cơ cấu phức tạp của hệ thống môi trường Là một hệ thống gồm nhiều phần tử có thể được phân theo chiều chức năng và theo thang cấp
Tính động của hệ thống môi trường nói lên Sự vận động của các phần tử và mối liên hệ giữa các phần tử để thiết lập
một trạng thái cân bằng
Mối quan hệ giữa môi trường và phát triển Là mối quan hệ qua lại hai chiều và muốn có được sự phát triển bền vững
thì phải có sự kết hợp hài hòa giữa phát triển và môi trường.
Chất lượng môi trường được coi là hàng hóa khi tái sản xuất chất lượng môi trường được đặt ra như một yếu tố khách
quan để cho quá trình sản xuất được thực hiện liên tục+ có
thể tiền tệ hóa được các chi phí khắc phục môi trường.
Ngoại ứng là những ảnh hưởng lên đối tượng khác nhưng không được tính vào hệ thống kinh tế
Tổn thất phúc lợi xã hội trong trường hợp xảy ra ngoại ứng tiêu cực Là do có sự chênh lệch giữa mức hoạt động tối
ưu cá nhân và mức hoạt động tối ưu xã hội
Chuẩn mức thải được xác định dựa trên mức ô nhiễm tối ưu
Thỏa thuận mức ô nhiễm thông qua thị trường chỉ xảy ra khi Quyền tài sản MT thuộc phía gây ô nhiễm hoặc phía chịu ô nhiễm
Giải pháp thỏa thuận thông qua thị trường trong trường hợp tài sản môi trường thuộc bên gây ô nhiễm Bên chịu ô
nhiễm chấp nhận bồi thường cho bên gây ô nhiễm đổi lại họ giảm được chi phí thiệt hại môi trường
Đánh giá giá trị môi trường được dùng để Đo lường giá trị sử dụng và không sử dụng của tài nguyên môi trường
“Tài nguyên môi trường có giá trị nhưng phải tốn chi phí để bảo vệ nó: tài nguyên môi trường có giá trị và phải sử
dụng số tiền thu được để bảo vệ nó
Các kĩ thuật thuộc nhóm phát biểu sở thích Tập trung đo lường giá trị không sử dụng
Một sự phân bổ tài nguyên đạt hiệu quả tĩnh là sự phân bổ àm tối đa hóa lợi ích ròng, lợi ích biên của việc sử dụng tài nguyên bằng chi phí biên
Đạt hiệu quả động Làm tối đa hóa giá trị hiện tại của các khoản lợi ích ròng từ cách phân bổ đó, giá trị hiện tại của lợi
ích ròng của đơn vị khai thác cuối cùng ở tất cả các giai đoạn phải bằng nhau
Chi phí sử dụng cận biên (MUC) Lợi ích ròng trong tương lai bị bỏ qua khi sử dụng tài nguyên ở hiện tại mà không sử
dụng tài nguyên ở tương lai
Điểm trữ lượng quần thể tối thiểu là Điểm trữ lượng mà dưới mức đó, quần thể sinh vật có thể bị tuyệt chủng/ tốc độ
tăng trưởng của tài nguyên < 0 Điểm có trữ lượng nhỏ nhất để quần thể có thể bắt đầu sinh trưởng và phát triển.
Điểm trữ lượng quần thể tối đa Quần thể sinh vật không thể phát triển vượt quá mức trữ lượng đó quần thể sinh vật có
khả năng tự phát triển để đạt mức trữ lượng lớn nhất.
Điểm trữ lượng tăng trưởng tối đa Là điểm trữ lượng mà tại đó mức độ tăng trưởng của quần thể là lớn nhất.
Một lượng đánh bắt là bền vững nếu Sản lượng đánh bắt nhỏ hơn hoặc bằng mức độ tăng trưởng
Sản lượng đánh bắt bền vững tối đa Sản lượng đánh bắt bằng với mức độ tăng trưởng tại điểm trữ lượng tăng trưởng tối đa
Đánh giá tác động môi trường Được thực hiện ngay khi dự án trong giai đoạn nghiên cứu tiền khả thi
Mục đích chính của ĐTM là Xem xét tác động đến môi trường của dự án chiến lược và dự án đầu tư cụ thể từ đó đề xuất
các giải pháp giảm thiểu tác động môi trường
Quản lý nhà nước về môi trường có một số điểm khác so với quản lý môi trường của các tổ chức Chủ thể quản lý là
Nhà nước Mang tính tổ chức cao, tính điều chỉnh và tính cưỡng chế
Kĩ thuật đánh giá môi trường thuộc nhóm bộc lộ sở thích dựa trên lý thuyết hành vi người tiêu dùng, cho rằng cá
nhân đánh giá giá trị môi trường dựa trên đặc điểm của hàng hóa thị trường. Phương pháp đánh giá hưởng thụ
Vấn đề gặp phải khi sử dụng các phương pháp đánh giá thuộc nhóm đánh giá bộc lộ sở thích Các phương pháp này
đo lường giá trị một cách gián tiếp và dựa trên lý thuyết kinh tế
Giá trị lưu truyền và giá trị lựa chọn khác nhau ở điểm: Giá trị lựa chọn là giá trị sử dụng cá nhân để dành cho tương
lai, giá trị lưu truyền là giá trị để dành cho thế hệ tương lai.
Hai nội dung quan trọng nhất của phương pháp dựa vào giá thị trường Xác định hàng hóa thị trường làm đại diện để
đánh giá giá trị môi trường và xây dựng hàm số liều lượng – đáp ứng
nhóm phương pháp đánh giá dựa vào thị trường, hàm số liều lượng đáp ứng được dùng để: Xem khi nhập lượng
thay đổi 1 đơn vị, sản lượng thay đổi bao nhiêu đơn vị; Xem khi có tác động môi trường, tỷ lệ bệnh tật thay đổi như thế nào
Khi dùng các phương pháp đánh giá trong nhóm các phương pháp dựa vào thị trường, nhà nghiên cứu sẽ sử dụng
thế nào để đánh giá giá trị Giá thị trường
Phương pháp đánh giá hưởng thụ dùng để Tách giá trị môi trường từ giá nhà đất
Phương pháp đánh giá hưởng thụ dùng có thể dùng để đánh giá giá trị cuộc sống con người Sai
Hàm giá nhà (house price function) diễn tả mối quan hệ giữa Các đặc tính của căn nhà và yếu tố môi trường
Có thể dùng trực tiếp hàm giá nhà để đánh giá giá trị chất lượng môi trường Sai
điểm mới được phát hiện nên số lượng khách du lịch rất ít. Có thể dùng phương pháp chi phí du lịch để đánh giá
giá trị san hô ở đây được không? Không
Trong phương pháp CVM, phương thức thanh toán (payment vehicle) tự nguyện không tạo động lực cho người trả
lời nói đúng giá sẵn lòng trả của họ
Cách thức đặt câu hỏi nào sau đây tạo ra động lực để người được hỏi trả lời đúng giá sẵn lòng trả của họ nhất Câu hỏi có/ Không