



















Preview text:
lOMoAR cPSD| 61260386
Chương 1: Nhập môn KTLĐ 1. Các khái niệm
- Lao động: cải tạo tự nhiên
- Sức lao động: thể lực + trí lực + tâm lực
- Nhân lực: sức lực con người
- Nguồn nhân lực: sức mạnh tiềm ẩn của dân cư, khả năng huy động tham gia lao động 2. KTLĐ
- Đối tượng: tìm hiểu, giải thích sự vận động của thị trường lao động
- Mục tiêu: hiểu, giải thích các vấn đề kinh tế - xã hội; ứng dụng xây dựng chính sách
3. Chủ thể trên TTLĐ: người lao động (quan trọng nhất – cung), doanh nghiệp (cầu), chính phủ (điều tiết)
=> Phân công nghề nghiệp, kỹ năng và tiền lương trong nền kt + Tỷ lệ, cầu trúc về việc làm
4. Phương pháp luận
- KTH thực chứng: điều gì xảy ra?
- KTH chuẩn tắc: nên làm điều gì?
CP phải trả lời các câu hỏi chuẩn tắc và sử dụng các chính sách công tập trung vào các vấn đề KTH thực chứng *Cải thiện Pareto
Câu hỏi: Điều đặc biệt của TTLĐ so với TTHH, DV là?
- SLĐ tạo ra nhiều giá trị và có thể tái tạo được, là hàng hóa trừu tượng, bị chi phối bởi nhiềuyếu tố
như: tình cảm, cảm xúc …
- Bên mua và bán ngược với TTHH, DV
- Có các điều kiện đi kèm: môi trường, giới hạn thời gian …- Giá cả là tiền lương
Chương 2: Cung lao động
1. Đo lường lực lượng lao động
Dân số > DS trong độ tuổi LĐ (P) = Nguồn LĐ (DS trong độ tuổi LĐ có KN LĐ) + DS trong độ tuổi LĐ không có KN LĐ
Nguồn LĐ = LLLĐ + Những người không muốn tham gia LĐ
LLLĐ = Có việc + Thất nghiệp ( LF = E + U )
Tỷ lệ tham gia LLLĐ: LFPR = LF/P
Tỷ lệ dân số có việc: EPR = E/P lOMoAR cPSD| 61260386
Tỷ lệ thất nghiệp: UR = U/LF Bài tập:
C1. Người trong tuổi LĐ ở nhà làm nội trợ hoặc không muốn tìm việc làm (VD: người thừa kế, LĐ
XK mới về nước, bộ đội mới xuất ngũ không tìm được việc) có phải thất nghiệp không? Nếu không thì xếp họ vào nhóm nào?
=> Không phải thất nghiệp, họ không thuộc LLLĐ là những người không muốn tham gia LĐ.
C2. Số DS: từ 15 tuổi trở lên là 35tr, không thuộc Nguồn LĐ là 1tr, không có nhu cầu tìm việc là 3tr. LLLĐ = ?
=> 35 = 1 + Nguồn LĐ <=> 34 = LLLĐ + 3 => LLLĐ = 31
C3. Số DS: từ 15 tuổi trở lên là 45tr, mất sức LĐ là 3tr, có việc làm là 36tr, thất nghiệp là 2tr. Các tỷ lệ, Nguồn LĐ?
=> P = 45, E = 36, U = 2 => LF = E + U = 38
=> UR = U/LF = 2/38 = 0,0526 EPR = E/P = 36/45 = 0,8 LFPR = LF/P = 38/45 = 0,844 Nguồn LĐ = 45 – 3 = 42tr 2. Cung LĐ
a. Đường bàng quan giữa C (Consumption: tiêu dùng) và L (Leisure: nghỉ người) U = f(C, L)
Đường càng đốc càng coi trọng nghỉ ngơi Tỷ
lệ thay thế cận biên giữa C và L là MRS.
b. Đường ngân sách
C = wh + V = w(T – L) + V
V: thu nhập không lao động lOMoAR cPSD| 61260386 w: lương h: thời gian lao động c. Kết hợp tối ưu MRSL,C = MUL/MUC = w
Nghỉ ngơi là hàng hóa thông thường, khi V tăng thì số giờ làm việc giảm (tăng giải trí). lOMoAR cPSD| 61260386
Nghỉ ngơi là hàng hóa thứ cấp, V tăng thì số giờ làm việc tăng (giảm giải trí)
Ảnh hưởng thay thế và ảnh hưởng thu nhập: Khi w tăng:
Thay thế: L giảm (có động lực)
Thu nhập: L tăng (làm biếng)
- Thu nhập > Thay thế => L tăng
- Thay thế > Thu nhập => L giảm CUNG LAO ĐỘNG CÁ NHÂN lOMoAR cPSD| 61260386 Bài tâp:
d. Chính sách của nhà nước
Hỗ trợ tiền mặt => Khuyến thích người lao động rời khỏi thị trường
Phúc lợi => Giảm động lực làm việc (giảm h)
Chương 3: Cầu lao động
1. Quy luật sản phẩm cận biên giảm dần
- Sản phẩm cận biên của lao động MPE > 0 (employment)
- Sản phẩm cận biên của vốn MPK > 0 (capital)
- Giá trị sản phẩm cận biên của lao động (VMPE) = Sản phẩm cận biên của lao động (MPE) * Giá bán một sản phẩm (p)
- Giá trị của sản phẩm trung bình (VAPE) = Sản phẩm bình quân mỗi lao động (APE) * Giábán một sản phẩm (p) Bài tập:
ĐƯỜNG CẦU LAO ĐỘNG TRONG NGẮN HẠN lOMoAR cPSD| 61260386
Giảm w => Tăng việc làm
Tăng p => Đường cung dịch phải
2. Tối đa hóa lợi nhuận trong ngắn hạn
LN = DT – CP = pq – (wE + rK)
=> Tối đa hóa lợi nhuận MR = MC Có: MR’(q) = p
Vốn K không đổi: MC’(q) = (wE + rK)’(q) = wE’(q) = w/MPE
=> p = w/MPE => w = MPE*p = VMPE
*Hạn chế của học thuyết sản phẩm cận biên: Không thực tế (tiền công như nhau, lao động như nhau)
ĐƯỜNG CẦU LAO ĐỘNG CHO NGÀNH lOMoAR cPSD| 61260386
Độ dốc đường cầu lao động của ngành dốc hơn độ đốc cộng ngang các doanh nghiệp 3. Thuê lao
động trong dài hạn
a. Đường đồng (đẳng) lượng
b. Đường đồng phí (giống đường ngân sách) lOMoAR cPSD| 61260386 c. Kết hợp tối ưu
Ảnh hưởng quy mô và ảnh hưởng thay thế: Khi w giảm:
- Quy mô: mở rộng sx => E tăng
- Thay thế: lao động rẻ hơn tương đối so với vốn => Tăng E, giảm K
*Giảm tiền công mà giữ nguyên chi phí ban đầu C0 = rK (hiếm)
*Giảm tiền công có các hiệu ứng ảnh hưởng:
Trong hình: mở rộng quy mô sx từ 100 đến 150 => E tăng từ 25 lên 50 lOMoAR cPSD| 61260386
+ Ảnh hưởng quy mô: P sang Q
+ Ảnh hưởng thay thế: Q sang R
ĐƯỜNG CẦU LAO ĐỘNG TRONG DÀI HẠN
Đường cầu dài hạn co giãn hơn đường cầu ngắn hạn
sr %thaydoiE Esr / Esr %thaydoiw w / w
Tưởng tự trong dài hạn và lr 0
4. Độ co giãn thay thế
Độ cong của đường đồng lượng lOMoAR cPSD| 61260386
Hai đầu vào có thể thay thé ở tỷ lệ không đổi => Thay thế hoàn hảo
Vuông góc => Hai đầu vào là bổ sung hoàn hảo Bài tập: 5. Luật Marshall Cầu lđg co giãn hơn khi:
- Độ co giãn thay thế lớn hơn
- Độ co giãn cầu đối với sản phẩm đầu ra công ty lớn hơn?
- CPhi lđg chiếm phần lơn tổng CPhi
- Độ co giãn của cung các yếu tố sx khác lớn
Bài tập: Độ co giãn chéo của cầu lao động
Chương 4: Cân bằng trên thị trường lao động -
Khi đạt trạng thái Hiệu quả (Pareto), để nâng cao lợi ích của một người cần phải giảm lợiích của người khác xuống. -
Khi một thay đổi làm lợi hơn cho ai mà không làm thiệt hai cho người khác thì được gọi làcó
tác dụng “cải thiện Pareto”. lOMoAR cPSD| 61260386
1. Cân bằng TTLĐ cạnh tranh đơn lẻ
Tại điểm cân bằng không có thất nghiệp không tự nguyện. *Lương tối thiểu:
Tỷ lệ TN cao khi wtối thiểu cao, độ co giãn cung và cầu càng cao.
Do mức lương tối thiểu làm giảm cầu lđg từ E* đến E-
và cũng làm tăng cung lđg từ E* đến Es. (E* – E-) số
người mất việc (Es – E-) số người thất nghiệp Bài tập:
2. Cân bằng TTLĐ cạnh tranh có liên kết
*Xét hai TTLĐ cạnh tranh liên kết bởi di chuyển lao động
Giả định: Chi phí di chuyển thấp hoặc bằng 0, cung LĐ không co giãn lOMoAR cPSD| 61260386
wnorth > wsouth => Di chuyển lao động Nam sang Bắc => Dịch chuyển đường cung LĐ ở hai miền => Ổn
định giá tại mức w* chung.
- Phân phối lđg vào các DN dựa trên giá trị sản phẩm cận biên của lđg (w = VMPE) bằng nhau giữa
các TTLĐ dẫn đến phân bổ nguồn lđg có hiệu quả.
3. Thuế tiền công và trợ cấp
+ Thuế tiền công đánh vào người sử dụng lao động => Cả DN và người LĐ cùng chịu thuế => Tổn thất vô ích
cung LĐ hoàn toàn không co giãn.
+ Thuế tiền công đánh vào người lao động làm dịch chuyển đường cung sang trái
+ Trợ giá thuê lao động làm dịch chuyển đường cầu sang phải lOMoAR cPSD| 61260386 + Phúc lợi
Tiền công người lao động nhận trả cho người được
tăng lên từ w0 đến w1 – 1 lao động
Tiền công DN thực trả giảm từ w0 xuống w1 – 1
(a) Chi phí khoản phúc lợi DN trả cho người
(b) Chi phí … bằng … lđg lớn hơn giá
trị mà người lđg cảm nhận
4. Mô hình mạng nhện + Giả định: -
Đào tạo kỹ năng cần có thời gian -
Người lđg quyết định dựa trên hiểu biết của họ về TTLĐ ở thời điểm bắt đầu đào tạo
+ Mô hình mạng nhện sinh ra do thiếu thông tin, phù hợp với TTLĐ có kỹ năng
Trên thị trường kỹ sư mới tốt nghiệp, cầu tăng D lên
D’ nhưng cung chưa kịp đáp ứng => DN tăng w0 lên
w* để thu hút lđg => ngành hot => thu hút nhiều sinh viên theo ngành.
Sau đó, DN lại giảm w* xuống w2 > w0 => … Cứ
như vậy điều chỉnh về điểm cân bằng.
5. Nhập cư lao động -
Lao động địa phương và lao động nhập cư là thay
thế hoàn toàn => Cung tăng -
Lao động địa phương và lao động nhập cư là bổ sung (không cùng kỹ năng, không cạnhtranh
cùng 1 việc) => Cầu tăng Bài tập:
Chương 5: Vốn nhân lực Vốn
nhân lực phản ánh chất lượng của sức lao động.
1. Lý thuyết về chênh lệch tiều công 2. Tính toán giá trị hiện tại Y lOMoAR cPSD| 61260386 PV t 1 r Bài tập:
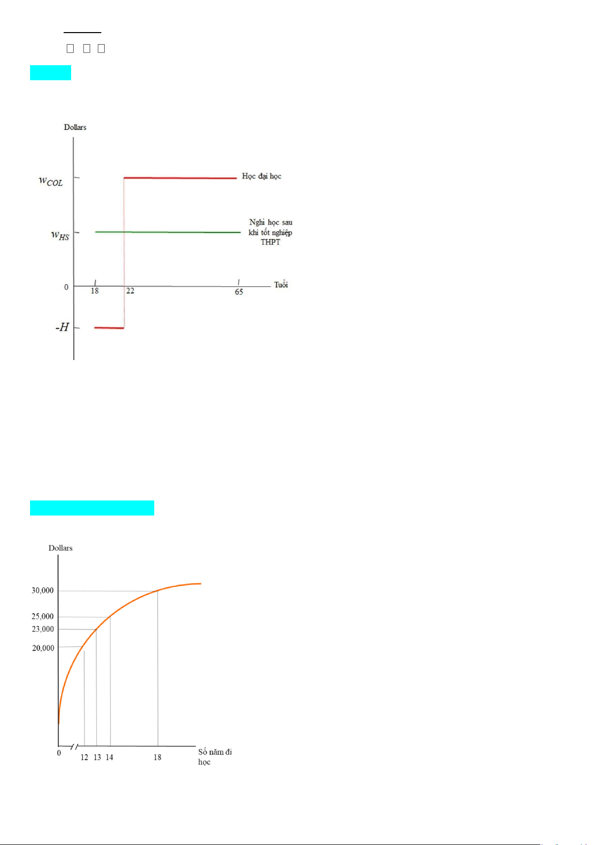
DÒNG TN TIỀM NĂNG CỦA NGƯỜI LAO ĐỘNG TỐT NGHIỆP THPT
Tích lũy vốn (giáo dục đại học) là một khoản đầu tư đòi hỏi phải trả một khoản phí tức thời H để có
khoản thu nhập trong tương lai wCOL.
Tỷ lệ chiết khấu r càng cao càng ít người đầu tư vào giáo dục. r phụ thuộc: - Lãi suất thị trường
- Sở thích theo thời gian: cảm giác về bỏ tiêu dùng hôm nay để đổi lấy TN lớn hơn trongtương lai.
Bài tập: Mô hình đi học
ĐƯỜNG TẬP HỢP TIỀN CÔNG – SỐ NĂM ĐI HỌC lOMoAR cPSD| 61260386
Quy luật lợi ích giảm dần 3.
Quyết định thời gian học
a. Đường tỷ lệ hoàn vốn cận biên
Phần trăm thay đổi trong thu nhập hàng năm cho mỗi năm tăng thêm tại trường
=> Quyết định đi học cho đến khi: MRR = r Bài tập:
+ Những người có khả năng tiếp thu tốt hơn có xu hướng được giáo dục nhiều hơn
+ Sai lệch do khả năng tiếp thu: sự khác về khả năng có thể làm chênh lệch tiền công Số năm đi học
và tiền công với những người lao động có tỷ lệ chiết khấu khác nhau:
Số năm đi học và tiền công những người lao động có khả năng tiếp thu khác nhau: lOMoAR cPSD| 61260386
b. Ước tính tỷ lệ hoàn vốn của việc đi học Khoảng 9%
Các cặp song sinh giả định có khả năng tiếp thu như nhau, tỷ lệ hoàn vốn từ 3 – 15%
4. Áp dụng chính sách: chất lượng trường học và tiền công R
1992: mức học phí cao hầu như không tác động đến kết quả học tập của sinh viên
- Clg trường học ~ MRR- Tỷ lệ HS/GV ~ 1/MRR - Tiền công R ~ tỷ lệ lợi tức Quan điểm:
- Tỷ lệ HS/GV giảm 10 => Tỷ lệ lợi tức tăng 1%
- Tăng R lên 30% => Tỷ lệ lợi tức tăng 0,3%
Bài tập: người lđg có tối đa hóa TN trong cả cuộc đời hay không?
5. Học vấn là một tín hiệu Nếu 2 loại người lđg có:
• NSLĐ thấp (L) có tỷ trọng trong ds là q, năng suất lđg cận biên MPL = 200
• NSLĐ cao (H), tỷ trọng trong ds là (1 – q), năng suất lđg cận biên MPH = 300
Nếu xác định được NSLĐ đúng người sd lđg sẽ trả wL = 200 và wH = 300, tuy nhiên nếu không thì họ
sẽ đưa ra mức lương như nhau dựa trên NS kỳ vọng:
E(W) = q*MPL + (1 – q)*MPH = 300 – 100q
=> Thiệt DN, lao động NS cao, lợi lao động NS thấp
6. Đầu tư vốn nhân lực sau khi học (đào tạo trong công việc)
- 2 loại: Đào tạo chung (khi DN không phải chi trả phí) & Đào tạo chuyên biệt (DN chi trả 1 phần
khi có lợi từ hoạt động này)
- Đào tạo khả năng chuyên biệt hạn chế khả năng bỏ việc của người lao động sau đào tạo Bài tập tổng hợp: lOMoAR cPSD| 61260386
Chương 6: Di cư lao động
Di cư lao động như một sự đầu tư vào vốn nhân lực
Quyết định di cư khi: lợi ích ròng của việc di cư > 0 1. Di cư nội địa
Khả năng di cư ~ 1/khoảng cánh ~ Trình độ học vấn của người lao động
- Khi nơi nhập cư không đáp ứng nhu cầu của người lao động => Di cư quay trở lại hoặc Dicư tiếp
Khả năng di cư nội địa của Mỹ (2005 – 2006) theo tuổi và học vấn Bài tập:
Di cư theo gia đình: quyết định di cư dựa trên lợi ích ròng của cả gia đình
- Người ràng buộc ở lại
- Người ràng buộc di chuyển lOMoAR cPSD| 61260386
Thu nhập theo tuổi của người nhập cư và người địa phương
- Ban đầu, do các rào cản, khó khăn thích ứng môi trường => wđịa phương > wnhập cư
- Sau thích nghi, ý chí lớn => thăng tiến => wnhập cư > wđịa phương
=> Quyết định nhập cư phụ thuộc: wnước nhập cư + kỹ năng cá nhân của người lao động Thu
nhập của người nhập cư tăng nhanh hơn thu nhập của người bản địa 3. Mô hình ROY
- Những người nhập cư có kỹ năng trên TB => Lựa chọn tích cực cho nước nhập cư
- Những người nhập cư có kỹ năng dưới TB => Lựa chọn tiêu cực cho nước nhập cư
Mỹ thành công lựa chọn tích cực: trọng tài năng, thu hút lao động kỹ năng cao
*Lợi ích từ di cư: nhập cư làm tăng TN quốc dân nhiều hơn chi phí để thuê họ Tác động suy giảm thu nhập ở Mỹ: lOMoAR cPSD| 61260386
4. Thay đổi công việc (nhảy việc, bị sa thải)
- Khả năng thay đổi công việc giảm theo thâm niên nghề nghiệp và tuổi của người lao động: Tuổi càng
lớn, cơ hội việc làm càng ít, chi phí thay đỏi công việc càng nhiều.
- Người chuyển việc tìm đến các công việc có mức w cao hơn, không bị thất nghiệp vì họ đãcó thời
gian chuẩn bị trước khi nghỉ việc trong khi người bị sa thải thì tìm đến công việc có w thấp hơn và họ
phải trải qua 1 thời gian thất nghiệp.
- Các biện pháp giảm thay đổi công việc người lao động: lương thưởng, đào tạo chuyên biệt,lộ trình thăng tiến. lOMoAR cPSD| 61260386 5. Việt Nam 2018
- Tỷ lệ di cư: ĐNB cao nhất >< Tây Nguyên (thấp nhất)
- Trung du và miền núi phía Bắc có tỷ lệ di cư tham gia LLLĐ max
- Lao động tham gia LLLĐ có độ tuổi 25 – 54 chiếm tỷ lệ max Bài tập:
Chương 7: Phân biệt đối xử trên thị trường lao động
1. Chủng tộc và giới tính trên TTLĐ => định kiến
- Phân biệt giới tính ở: tiền lương, tỷ lệ việc làm
2. Hệ số phân biệt đối xử Becker: phân biệt đối xử cảm tính Xét ww và wb:
- DN thành kiến với công nhân da đen => DN cảm thấy mất phí thuê lđg da đen là: w b(1 + d) với d >
0 là hệ số phân biệt đối xử
- DN thích thuê da đen => … wb(1 – n) với n là hệ số ưu ái
3. PBĐX từ phía người sd lđg
Giả sử công nhân da trắng và đen là thay thế hoàn toàn Q = f(Ew, Eb) *Không phân biệt:
- Nếu ww > wb => Thuê wb = VMPE
- Nếu ww < ww => Thuê ww = VMPE
*Phân biệt: wb -------- wb(1 + d)
- Nếu wb(1 + d) > ww => DN “trắng” thuê ww = VMPE