



















Preview text:
Chương 1: Tổng quan về kinh tế học
Các nguồn lực chủ yếu: đất đai, lao động, vốn.
Khi hoạt động kinh doanh, nhà sản xuất phải trả lời 3 vấn đề kinh tế cơ bản: Sản
xuất cái gì, sản xuất như thế nào, sản xuất cho ai. 1. Kinh tế học
Định nghĩa: là môn khoa học giúp cho con người hiểu cách thức
a. vận hành của nền kinh tế nói chung và cách thức ứng xử của từng
thành viên tham gia nền kinh tế nói riêng.
Mục đích: nghiên cứu cách thức con người phân bổ các nguồn
b. lực khan hiếm để thỏa mãn nhu cầu của ho.
Phương pháp nghiên cứu kinh tế học: giả thuyết kinh tế, mô hình
c. hóa, ceteris paribus, KTH thực chứng và KTH chuẩn tắc:
Mệnh đề thực chứng: nghiên cứu thế giới thực tế và tìm hiểu cách lí
● giải một cách khách quan và khoa học các hiện tượng quan sát được; có
thể kiểm chứng bằng thực nghiệm
- Thường trả lời các câu hỏi theo hướng nếu A thế này thì B thế nào
Ví dụ: lãi suất giảm sẽ kích thích đầu tư
Mệnh đề chuẩn tắc: có yếu tố đánh giá chủ quan của bản thân các nhà kinh
● tế.; không thể kiểm chứng bằng thực nghiệm.
- Hay trả lời câu hỏi là nên như thế
nào Ví dụ: Phải giảm lãi suất để kích thích đầu tư
d. Các thành viên của nền kinh tế.
Trong nền kinh tế học vi mô có 3 thành viên và mỗi thành viên có hạn chế và mục tiêu khác nhau:
Vai trò của từng thành viên: - Hộ gia đình:
+ Là người mua khi tham gia thị trường hàng hóa dịch vụ
+ Là người bán thi tham gia thị trường yếu tố sản xuất - Doanh nghiệp
+ Là người bán khi tham gia thị trường hàng hóa dịch vụ
+ Là người mua khi tham gia thị trường yếu tố sản xuất - Chính phủ:
+ điều tiết sự hoạt động của toàn bộ nền kinh tế
+ phân bố các nguồn lực trong nền kinh tế 1 cách hiệu quả
+ tái phân phối lại thu nhập cho các thành viên trong nền kinh tế
2. Ba mô hình nền kinh tế.
Hiện nay Việt Nam đang theo mô hình nền kinh tế thị trường có sự quản lí
của nhà nước theo định hướng xã hội chũ nghĩa. 3. Chi phí cơ hội.
● Là giá trị của cơ hội tốt nhất bị bỏ qua khi đưa ra sự lựa chọn.
Chi phí cơ hội của việc sản xuất thêm
1 đơn vị hàng hóa này sẽ là số lượng đơn
vị hàng hóa khác phải từ bỏ
4. Đường giới hạn khả năng sản xuất.
a. Khái niệm: (production possibility frontier) là đường thể hiện kết
hợp hàng hóa tối đa mà một nền kinh tế có khả năng sản xuất dựa
trên các nguồn lực và công nghệ sẵn có.
- Đường giới hạn khả năng sản xuất thường có xu hướng cong
lõm so với gốc tọa độ, minh họa quy luật CPCH tăng dần
- Nếu đường PPF là đường thẳng thì có nghĩa là CPCH không thay đổi.
b. Dựa vào biểu đồ ta có :
- Nếu không sản xuất hàng hóa Y thì sản xuất hàng hóa X và ngược lại do nguồn lực có hạn
- Để đạt (H) thì phải nâng cao phát triển công nghệ, nguồn lực.
- ABCDE không thể nằm thẳng, nếu thẳng dốc thì CPCH không đổi.
- Nếu chỉ sản xuất đến (G) thì kém hiệu quả vì chưa tận dụng được hết nguồn lực.
- Theo thời gian, nguồn lực của mỗi quốc gia có xu hướng tăng -> PPF dịch chuyển ra ngoài.
- PPF biểu hiện : trình độ sản xuất công nghệ hiện có, phân bố nguồn lực hiệu
quả, CPCH và sự phát triển khi PPF dịch chuyển ra ngoài.
-=> Dựa vào đường PPF ta có: Quy luật CPCH tăng dần: để thu thêm số lượng
hàng hóa bằng nhau phải hi sinh lượng hàng hóa nhiều hơn hàng hóa khác. 5. Phân tích cận biên:
● Thay đổi cận biên là những điều chỉnh nhỏ so với hiện tại.
● Nhà sản xuất ra quyết định bằng cách so sánh lợi ích và chi phí tại điểm cận biên.
Chương 2: Lý thuyết cung cầu 1. Cầu a. Định nghĩa
● Cầu: là số lượng hàng hóa dịch vụ mà người mua muốn và có khả năng
mua tại các mức giá khác nhau trong một thời gian nhất đinh, các yếu tố khác không thay đổi
● Cầu thể hiện những nhu cầu có khả năng thanh toán.
● Lượng cầu: là số lượng hàng hóa dịch vụ mà người mua muốn và có khả
năng mua tại mức giá xác định trong một thời gian nhất định.
● Có đường cầu sẽ viết được biểu cầu và hàm cầu.
- Đường cầu là đường dốc xuống minh họa cho luật cầu là mối
quan hệ giữa giá và lượng cầu là ngược chiều nhau gây ra sự
vận động dọc theo đường cầu
Luật cầu: người tiêu dùng sẽ mua nhiều hàng hóa dịch vụ
hơn nếu như giá của hàng hóa dịch vụ đó giảm xuống, ceteris paribus. P tăng-> Qd giảm P giảm -> Qd tăng
Thay đổi giá hàng hóa gây ra sự vận động theo dọc cầu ( move along the demand curve)
b. Các yếu tố tác động đến cầu
● Gây ra sự vận động dọc theo đường cầu - Giá hàng hóa (P)
+ Giá hàng hóa thay đổi-> vận động dọc theo đường cầu ( đây là yếu tố nội
sinh, trực tiếp gây ra sự vận động)
● Gây ra sự dịch chuyển của đường cầu ( đây là yếu tố ngoại sinh, gián
tiếp gây ra sự dịch chuyển) - Thu nhập
Hàng hóa bình thường (normal goods)
Cầu tăng khi thu nhập tăng
I tăng-> D dịch chuyển sang phải
I giảm-> D dịch chuyển sang trái
Hàng hóa cấp thấp (inferior goods)
I tăng-> D dịch chuyển sang trái
I giảm -> D dịch chuyển sang phải
VD: Chị Diễm My là một người lao động có thu nhập thấp ngày ngày bữa cơm
của chị chỉ xoay quanh ngô, khoai, …một hôm chị trúng số chị trở thành người
giàu nhất thông, chị chuyển sang ăn sơn hào hải vị bởi vậy mà cầu về hàng hóa
khoai khi đó đã giảm. Từ đây ta rút ra được kết luận khi thu nhập tăng, đường
cầu hàng hóa cấp thấp dịch sang trái còn hàng hóa bình thường ( cao cấp) dịch phải.
- Giá hàng hóa liên quan.
+ Hàng hóa thay thế: Những hàng hóa có cùng giá trị sử dụng hoặc thỏa mãn
một nhu cầu. Px tăng -> D dịch sang phải
(LOTTE và KFC là hai hàng hóa thay thế, khi giá gà của KFC tăng thì cầu của KFC
giảm, mọi người chuyển sang ăn gà LOTTE, bởi đó mà cầu LOTTE dịch sang phải)
+ Hàng hóa bổ sung: những hàng hóa được sử dụng cùng nhau. Py tăng-> D dịch sang trái.
- Quy mô thị trường: số lượng người mua tham gia vào thị trường
- Thị hiếu: sở thích của người tiêu dùng với hàng hóa dịct vụ
- Kỳ vọng: dự đoán các yếu tố ảnh hưởng đến cầu trong tương lai
- Yếu tố khác: dịch bệnh, thiên tai, quảng cáo. 2. Cung
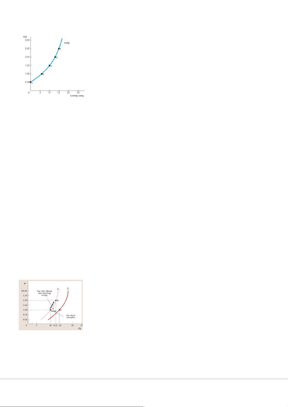
● Cung là số lượng hàng hóa hoặc dịch vụ mà người bán muốn bán và có khả
năng bán ở các mức giá khác nhau trong khoảng thời gian nhất địng, ceteris paribus.
● Lượng cung là số lượng hàng hóa dịch vụ mà người bán muốn và có
khả năng bán tại mức giá xác định trong thời gian nhất định
● Đường cung là đường dốc lên thể hiện mối quan hệ thuận chiều giữa giá và cung a. Luật cung.
Nhà sản xuất sẽ bán hàng hóa dịch vụ nhiều hơn nếu giá của hàng hóa hoặc dịch vụ tăng, ceteris paribus. P tăng-> Qs tăng P giảm-> Qs giảm
Thay đổi giá hàng hóa gây ra sự vận động dọc theo đường cung b.
Các yếu tố tác động đến cung.
Gây ra sự vận động dọc theo đường cung: thay đổi giá hàng hóa
Gây ra sự dịch chuyển của đường cung.
● Công nghệ sản xuất được cải tiến-> tăng năng suất, giảm chi phí-> cung tăng tại mỗi mức giá
● Giá yếu tố đầu vào ảnh hưởng trực tiếp đến chi phí sản xuất ● Thuế và trợ cấp
● Số lượng người sản xuất: cung tăng khi số lượng người sản xuất nhiều hơn và ngược lại ● Kỳ vọng
Nếu các yếu tố làm cho cung tăng thì đường cung dịch
chuyển sang bên phải và ngược lại.
3. Cân bằng thị trường. a. Khái niệm
- Là trạng thái trong đó không có sức ép làm cho giá và sản lương thay đổi.
- Đường cung và cầu cắt nhau tại điểm cân bằng là điểm E, và tại điểm này mức
sản lượng cân bằng là Qe và giá cân bằng là Pe. Ngoài ra ở điểm này người mua
và người bán đều thỏa mãn, vì không có sức ép gây nên cho giá.
-Trên thị trường còn có 2 tình huống ngoài cân bằng thị trường là:
+ Dư thừa: khi mức giá thị trường > mức giá cân bằng
-> Qs>Qd: Qs-Qd=dư thừa
+Thiếu hụt: khi mức giá thị thị trường-> Qs Qd-Qs= thiếu hụt
b.Thay đổi trạng thái cân bằng
Trạng thái cân bằng này được xác định bởi đường cầu đường cung trong khi 2
đường này hoàn toàn có thể thay đổi nên trạng thái cân bằng này có thể thay đổi.
Trạng thái thay đổi có thể xảy ra: (lưu ý là những bài liên quan đến thay đổi trạng
thái cb mọi người nên phác họa thật nhanh biểu đồ ra để nhìn được kết quả chính xác nhất)
● Cầu tăng mà cung không đổi: giá cân bằng tăng và lượng cân bằng tăng và ngược lại ●
● Cung tăng mà cầu không đổi: giá cân bằng giảm và lượng cân bằng tăng
● Cung giảm mà cầu không đổi: giá cân bằng tăng, lượng cân bằng giảm.
● Cả cung và cầu đều tăng nên có 4 trường hợp:
4. Chính sách của chính phủ.
Trong một số trường hợp trạng thái cân bằng thay đổi là do sự can thiệp của
chính phủ, có 2 hình thức can thiệp:
a. Can thiệp về giá ● Giá trần
- Là mức giá cao nhất đối với một mặt hàng nào đó do CP ấn
định, thường thấp hơn mức giá cân bằng
- Nhằm bảo vệ người tiêu dùng
- Gây ra hiện tượng thiếu hụt ● Giá sàn:
- Là mức giá thấp nhất đối với một mặt hàng nào đó do CP ấn
định, thường cao hơn mức giá cân bằng
- Nhằm bảo vệ người sản xuất
- Gây ra hiện tượng dư thừa
● Việc kiểm soát giá của chính phủ còn lảm giảm lợi ích ròng của xã hội, gây
ra phần mất không.(là diện tích phần TEK)
- Thặng dư tiêu dùng và thặng dư sản xuất thay đổi -> giảm lợi
ích ròng của xã hội, gây ra phần mất không ( diện tích TEK)
b. Chính sách thuế và trợ cấp
● Chính sách thuế.
Khi đánh thuế làm đường cung thay đổi. Người đi nộp thuế là người bán. Người
chịu thuế thông thường là cả người bán và người mua. Phần người mua chịu thuế
là sự thay đổi của giá còn người bán chịu thuế phần còn lại
● Chính sách trợ cấp
Khi trợ cấp thì người được nhận trợ cấp là người bán và cả người mua người
bán đều được hưởng trợ cấp
Chương 3: Co giãn của cung và cầu
I. Co giãn của cầu (elasticity of demand)
1. Co giãn của cầu theo giá.
● Thước đo không đơn vị đo mức độ phản ứng của lượng cầu hàng hóa
trước sự thay đổi của giá cả, trong điều kiện các yếu tố khác không đổi
Ví dụ: nếu tính được hệ số co giãn được 0,6 thì có nghĩa là nếu giá hàng hóa X
thay đổi 1& thì lượng cầu hàng hóa X thay đổi 0,6% ● Đặc điểm:
- chỉ là số tương đối
- Luôn mang giá trị âm thể hiện giá và lượng cầu là ngược chiều nhau.
- Đo lường % của lượng cầu trên 1% thay đổi của giá ● Cách tính: ● Phân loại:
- Cầu co giãn ít: đường cầu là đường dốc
- Cầu co giãn nhiều: đường cầu là đường thoải
- Cầu co giãn đơn vị: đường cầu tạo với trục tung và hoành 1 góc 45 độ
- Cầu hoàn toàn co giãn: đường cầu nằm ngang
- Cầu hoàn toàn không co giãn: đường câu nằm thẳng 2.
Các nhân tố ảnh hưởng.
● Bản chất của hàng hóa: hàng hóa xa xỉ có độ co giãn lớn hơn hàng hóa thiết yếu
● Sự sẵn có của hàng hóa thay thế: có nhiều hàng hóa thay thế thì hệ số co
giãn càng lớn, 1 số hàng hóa kém co giãn vì ít hàng hóa thay thế như thuốc chữa bệnh
● Tỷ lệ thu nhập chi tiêu cho hàng hóa: tỷ lệ càng lớn-> hệ số co giãn càng lớn.
● Khoảng thời gian khi giá thay đổi: cầu hàng hóa có xu hướng co giãn nhiều hơn trong dài hạn. 3.
Co giãn của cầu theo giá
a. Quan hệ với tổng doanh thu (add ảnh cho sinh động) Quy luật chung:
● Nếu cầu co giãn, giá và tổng doanh thu tỷ lệ nghịch
● Nếu cầu ít co giãn: giá và tổng doanh thu tỉ lệ thuận
● Nếu cầu co giãn đơn vị thì tổng doanh thu không đổi
-> chiến lược xác định giá của doanh nghiệp c.
Độ co giãn chéo của cầu trên đường tuyến tính
● Dọc theo đường cầu tuyến tính, độ dốc đường cầu không thay đổi nhưng độ
co giãn của cầu theo giá thì có
● Cầu co giãn hơn tại mức giá cao hơn
Chứng minh giáo trình trang 98
c. Độ co giãn chéo của cầu.
● Là thước đo độ phản ứng của cầu hàng hóa với sự thay đổi giá của hàng hóa khác, ceteris paribus ● Phân loại: Exy > 0 : X Y là hàng hóa thay thế
Exy < 0 : X Y là hàng hóa bổ sung
Exy = 0 : X Y là hàng hóa độc lập d.
Co giãn của cầu theo thu nhập
● Thước đo độ phản ứng của cầu với sự thay đổi của thu nhập, ceteris paribus ● Phân loại:
II. Co giãn của cung theo giá.
● Thước đo không đơn vị đo độ phản ứng của lượng cung hàng hóa với sự
thay đổi của giá cả, ceteris paribus
● Phân loại: Esp = 0: cung hoàn toàn không co giãn