Report tài liệu
Chia sẻ tài liệu
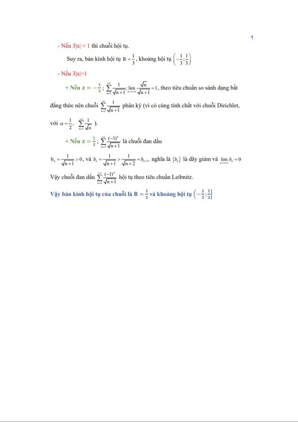
Lý thuyết và Tiêu chuẩn Hội tụ của Chuỗi Số
Lý thuyết và Tiêu chuẩn Hội tụ của Chuỗi Số
Môn: Giải Tích (MA006) 18 tài liệu
Trường: Trường Đại học Công nghệ Thông tin, Đại học Quốc gia Thành phố Hồ Chí Minh 560 tài liệu
Tác giả:


















Tài liệu khác của Trường Đại học Công nghệ Thông tin, Đại học Quốc gia Thành phố Hồ Chí Minh
Tài liệu liên quan:
-
Đề thi giữa HKI học phần Giải tích năm 2024 - 2025 | Trường Đại học Công nghệ Thông tin, Đại học Quốc gia Thành phố Hồ Chí Minh
130 65 -
Đề thi giữa HKI học phần Giải tích năm 2024 - 2025 | Trường Đại học Công nghệ Thông tin, Đại học Quốc gia Thành phố Hồ Chí Minh
103 52 -
Đề thi giữa HKI học phần Giải tích năm 2024 - 2025 | Trường Đại học Công nghệ Thông tin, Đại học Quốc gia Thành phố Hồ Chí Minh
102 51 -
Đề thi cuối kỳ học phần Giải tích năm 2024 - 2025 | Trường Đại học Công nghệ Thông tin, Đại học Quốc gia Thành phố Hồ Chí Minh
270 135