






Preview text:
TRƯỜNG ĐẠI HỌC KHOA HỌC TỰ NHIÊN, ĐHQG-HCM MÃ LƯU TRỮ (do phòng KT-ĐBCL ĐỀ THI CUỐI KỲ ghi)
Học kỳ II – Năm học 2016-2017 Tên học phần:
Hóa Đại cương 3 (Phần Hữu cơ)
Mã HP: CHE00003 Thời gian làm bài: 60 phút Ngày thi: 08/07/2017
Ghi chú: Sinh viên [ ◻ được phép / ☒ không được phép] sử dụng tài liệu khi làm bài.
HỌ VÀ TÊN: Số TT trong danh sách:
MSSV: Chữ ký CB coi thi: Điểm số Điểm chữ
Chữ ký CB chấm thi Trắc nghiệm Tự luận Câu 1 Câu 2 Câu 3 Tổng
SINH VIÊN LÀM TRỰC TIẾP TRÊN ĐỀ VÀ NỘP LẠI ĐỀ THI
A. Phần trắc nghiệm: (3.0 đ) Khoanh tròn câu được chọn 1 2 3 4 5 6 7 8 9 10 11 12 A A A A A A A A A A A A B B B B B B B B B B B B C C C C C C C C C C C C D D D D D D D D D D D D
Câu 1. Gọi tên hợp chất sau theo IUPAC: (Đề thi gồm 7 trang)
Họ tên người ra đề/MSCB: Chữ ký: [Trang 1/7]
Họ tên người duyệt đề: Chữ ký:
TRƯỜNG ĐẠI HỌC KHOA HỌC TỰ NHIÊN, ĐHQG-HCM MÃ LƯU TRỮ (do phòng KT-ĐBCL ĐỀ THI CUỐI KỲ ghi)
Học kỳ II – Năm học 2016-2017
A. 2,2-Dimethyl-6-oxocyclohexane-1-carboxylic acid
B. 1-Oxo-5,5-diethylcyclohexane-6-carboxylic acid
C. 2,2-Diethyl-6-oxocyclohexane-1-carboxylic acid
D. 6-Hydroxy-2,2-diethylcyclohexane-1-carboxylic acid
Câu 2. Với 02 hydrocarbon có tên sau: (1) 2-methylbutane (2) 2,3-dimethylpentane
Trong các công thức biểu diễn sau (A-H), công thức nào biểu diễn cho hợp chất trên.
A. (1): A, F, G, H (2): B, C, D
B. (1): B, F, H (2): A, D, E, G
C. (1): A, C, F, G (2): B, E, H
D. (1): B, D, E (2): C, F, H
Câu 3. Cho biết tổng số electron π trong ba chất sau: benzene , naphthalene , anthracene .
A. 10 B. 16 C. 24 D. 30 (Đề thi gồm 7 trang)
Họ tên người ra đề/MSCB: Chữ ký: [Trang 2/7]
Họ tên người duyệt đề: Chữ ký:
TRƯỜNG ĐẠI HỌC KHOA HỌC TỰ NHIÊN, ĐHQG-HCM MÃ LƯU TRỮ (do phòng KT-ĐBCL ĐỀ THI CUỐI KỲ ghi)
Học kỳ II – Năm học 2016-2017
Câu 4. Cho biết chất nào có thể phản ứng với Br2 ở nhiệt độ phòng trong bóng tối
1. Benzene 2. Cyclohexene 3. Cyclohexane 4. Propionic acid
5. Phenol 6. Nitrobenzene 7. Hexyne 8. 2,2-Dichloropropane
A. 1, 4, 8 B. 2, 5, 7 C. 2, 6, 7 D. 3, 4, 5
Câu 5. Tác chất còn thiếu trong phản ứng sau là?
A. CH3CH2COOH B. CH3CH2CHO C. CH3CH2Cl D. CH3CH2COCH3
Câu 6. Hãy cho biết hợp chất nào sau đây là đồng phân của cycloheptanol?
Câu 7. Tác nhân nào sau đây được sử dụng để chuyển hóa hex-3-yne thành (E)-hex-3-ene?
A. H2, Pt B. Na, NH3 lỏng C. H2, xúc tác Lindlar D. H2SO4, H2O
Câu 8. Trong phân tử acid acetic (CH3COOH), carbon ở trạng thái lai hóa nào?
A. sp3 và sp2 B. sp2 và sp C. sp và sp3 D. Đáp án khác
Câu 9. Hai hợp chất dưới đây có mối liên hệ gì với nhau?
A. Cùng một chất B. Đối phân C. Xuyên lập thể phân D. Đồng phân vị trí
Câu 10. Hợp chất dưới đây thuộc loại hợp chất gì? (Đề thi gồm 7 trang)
Họ tên người ra đề/MSCB: Chữ ký: [Trang 3/7]
Họ tên người duyệt đề: Chữ ký:
TRƯỜNG ĐẠI HỌC KHOA HỌC TỰ NHIÊN, ĐHQG-HCM MÃ LƯU TRỮ (do phòng KT-ĐBCL ĐỀ THI CUỐI KỲ ghi)
Học kỳ II – Năm học 2016-2017
A. Carbohydrate B. Lipid C. Protein D. Đáp án khác
Câu 11. Polypeptide dưới đây được cấu tạo bởi mấy đơn vị amino acid?
A. Hai B. Ba C. Bốn D. Năm
Câu 12. Hợp chất dưới đây thuộc loại hợp chất gì?
A. Monosaccharide B. Disaccharide C. Oligosaccharide D. Polysaccharide
B. Phần tự luận: (7.0 đ)
Câu 1. (2.5 đ) Cho hợp chất sau đây:
a) Xác định cấu hình R,S,E,Z của hợp chất trên (ghi ngay trên công thức). (1.5 đ) (Đề thi gồm 7 trang)
Họ tên người ra đề/MSCB: Chữ ký: [Trang 4/7]
Họ tên người duyệt đề: Chữ ký:
TRƯỜNG ĐẠI HỌC KHOA HỌC TỰ NHIÊN, ĐHQG-HCM MÃ LƯU TRỮ (do phòng KT-ĐBCL ĐỀ THI CUỐI KỲ ghi)
Học kỳ II – Năm học 2016-2017
Chú ý: đầu tiên phải xác định carbon thủ tính (ký hiệu C*). Tiếp theo phải xác định thứ tự
ưu tiên của các nhóm thế (ký hiệu 1, 2, 3, 4). Sau cùng là xác định R, S. Làm thiếu các bước sẽ bị trừ điểm.
Cấu hình R,S: 0.5đ cho mỗi cấu hình đúng. Với mỗi cấu hình, xác
định đúng thứ tự ưu tiên 0.25đ, đọc đúng cấu hình 0.25đ.
Cấu hình E,Z: 0.25đ cho mỗi cấu hình đúng
b) Gọi tên các nhóm chức được khoanh tròn (ghi cạnh nhóm chức). (1.0 đ)
Mỗi nhóm chức gọi đúng tên 0.25đ
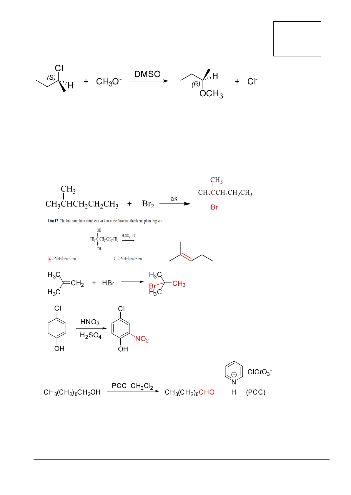
Câu 2. (2.0 đ) Một mẫu (S)-CH3CH2CH(CH3)Cl phản ứng với CH3O- trong dimethyl
sulfoxide (DMSO hay (CH3)2SO). Sản phẩm thu được có tính triền quang.
a) DMSO là loại dung môi gì: dung môi không phân cực, dung môi phân cực proton hay
dung môi phân cực phi proton?
Dung môi phân cực phi proton. 0.5đ
b) Cho biết cấu trúc của sản phẩm? 0.5đ
c) Viết phương trình phản ứng, cho biết chất thân hạch, chất thân điện tử và nhóm xuất? (Đề thi gồm 7 trang)
Họ tên người ra đề/MSCB: Chữ ký: [Trang 5/7]
Họ tên người duyệt đề: Chữ ký:
TRƯỜNG ĐẠI HỌC KHOA HỌC TỰ NHIÊN, ĐHQG-HCM MÃ LƯU TRỮ (do phòng KT-ĐBCL ĐỀ THI CUỐI KỲ ghi)
Học kỳ II – Năm học 2016-2017 0.5đ
Chất thân điện tử Chất thân hạch Nhóm xuất
d) Phản ứng thuộc loại phản ứng nào SN1, SN2, E1 hay E2. Giải thích? Phản ứng SN2. 0.5đ
Câu 3. (2.5 đ) Viết sản phẩm chính cho các phản ứng sau. 0.5đ cho mỗi câu. a) b) c) d) e) (Đề thi gồm 7 trang)
Họ tên người ra đề/MSCB: Chữ ký: [Trang 6/7]
Họ tên người duyệt đề: Chữ ký:
TRƯỜNG ĐẠI HỌC KHOA HỌC TỰ NHIÊN, ĐHQG-HCM MÃ LƯU TRỮ (do phòng KT-ĐBCL ĐỀ THI CUỐI KỲ ghi)
Học kỳ II – Năm học 2016-2017 (Đề thi gồm 7 trang)
Họ tên người ra đề/MSCB: Chữ ký: [Trang 7/7]
Họ tên người duyệt đề: Chữ ký: