



















Preview text:
Nguyên lí thống kê A- Lý thuyết
1. Tổng thể thống kê? Đơn vị tổng thể? Tiêu thức thống kê? Chỉ tiêu thống kê? (ĐẠT)
* Tổng thể thống kê: A) Khái niệm:
- Là hiện tượng kinh tế - xã hội số lớn, gồm các đơn vị cấu thành nên hiện tượng
cần đc quan sát và phân tích mặt lượng của chúng, để tìm ra quy luật và bản chất
vốn có của chúng trong điều kiện thời gian và ko gian cụ thể.
VD: Muốn tính chiều cao trung bình của sv nam UTC2 thì tổng thể là toàn bộ nam sinh UTC2. B) Phân loại:
- Tổng thể bộc lộ (trực quan): là tổng thể có các đơn vị cấu thành có thể nhận thấy bằng trực quan.
VD: Tổng thể sv của 1 trường,….
- Tổng thể tiềm ẩn: là tổng thể có các đơn vị cấu thành không thể nhận thấy bằng
trực quan, ranh giới của tổng thể ko rõ ràng.
VD: Tổng số người ham thích thể thao, mê tín dị đoan,….
- Tổng thể đồng chất: là tổng thể bao gồm các đơn vị giống nhau ở một hay 1 số
đặc điểm chủ yếu có liên quan đến mục đích nghiên cứu.
VD: sản lượng lúa của VN năm 2004
- Tổng thể không đồng chất: là tổng thể bao gồm các đơn vị không giống nhau ở
một hay một số đặc điểm chủ yếu có liên quan đến mục đích nghiên cứu.
VD: Sản lượng các loại cây hàng năm.
--> Sự phân loại tổng thể đồng chất và ko đồng chất có ý nghĩa rất quan trọng
trong việc xác định tính đại diện của các số liệu thống kê. Tính đồng chất của tổng
thể chỉ mang tính chất tương đối.
- Tổng thể chung: là tổng thể gồm tất cả các đơn vị thuộc phạm vi nghiên cứu
- Tổng thể bộ phận: là tổng thể bao gồm 1 số bộ phận đơn vị trong tổng thể chung
được đưa ra nghiên cứu.
VD: Tổng thể sv UTC2 là tổng thể chung, tổng thể sv khoa CNTT là tổng thể bộ phận.
* Đơn vị tổng thể:
Đơn vị tổng thể là những đơn vị cá biệt có cùng một hay một số đặc điểm chung
được chọn ra để hình thành nên tổng thể thống kê.
VD: Khi nghiên cứu học lực của học sinh trong một lớp thì đơn vị tổng thể là từng học sinh trong lớp đó.
* Tiêu thức thống kê: A) Khái niệm:
Tiêu thức thống kê là khái niệm chỉ đặc điểm được chọn ra để nghiên cứu của các đơn vị tổng thể.
VD: Các tiêu thức khi nghiên cứu nhân khẩu: Giới tính, độ tuổi, trình văn hóa,…. B) Phân loại:
- Tiêu thức số lượng: là tiêu thức được biểu hiện trực tiếp bằng các con số.
VD: Tuổi, chiều cao, NSLĐ của công nhân,….
+ Các chỉ số cụ thể của tiêu thức số lượng được gọi là lượng biến.
VD: lượng biến của tiêu thức tuổi: 19 tuổi, 20 tuổi,…. .
- Tiêu thức thuộc tính: ko được biểu hiện trực tiếp bằng các con số, mà nó được
dùng để phản ánh loại hình hay tính chất của các đơn vị tổng thể.
VD: Giới tính, nghề nghiệp, dân tộc, tôn giáo,….
+ Các tiêu thức số lượng hay tiêu thức thuộc tính có 2 biểu hiện ko trùng nhau đc
gọi là tiêu thức thay phiên.
VD: tiêu thức giới tính chỉ có 2 biểu hiện là nam và nữ
+ Đối với tiêu thức có nhiều biểu hiện ta có thể chuyển thành tiêu thức thay phiên
bằng cách rút gọn thành 2 biểu hiện.
VD: Số sp đạt chất lượng và ko đạt chất lượng,…. * Chỉ tiêu thống kê A) Khái niệm:
Chỉ tiêu thống kê là khái niệm biểu hiện một cách tổng hợp đặc điểm về mặt
lượng trong sự thống nhất về mặt chất của tổng thể thống kê trong điều kiện thời
gian và không gian cụ thể.
VD: Tổng sản lượng, tổng doanh thu,….
+ Chỉ tiêu thống kê được biểu hiện ở 2 mặt:
• Mặt khái niệm: bao gồm tên gọi, định nghĩa và nội dung
• Mặt con số: bao gồm trị số và đơn vị tính B) Phân loại:
- Chỉ tiêu số lượng: là những chỉ tiêu biểu hiện quy mô, khối lượng của tổng thể
VD: số nhân khẩu, số doanh nghiệp,…. .
- Chỉ tiêu chất lượng: là những chỉ tiêu biểu hiện tính chất, trình độ phổ biến và
mối quan hệ giữa các bộ phận trong tổng thể.
VD: Giá thành đơn vị sản phẩm, biểu hiện quan hệ so sánh giữa tổng chi phí sản
xuất và số lượng sản phẩm bán ra, đồng thời nó phản ánh tính chất phổ biến về
mức chi phí cho 1 đơn vị sản phẩm đã được sản xuất ra.
2. Khái niệm điều tra thống kê, tổng hợp thống kê, phân tích thống kê? Các
hình thức tổ chức điều tra thống kê? Các loại điều tra thống kê? Các phương
pháp thu thập tài liệu điều tra thống kê? (CHÂU)
- KN điều tra thống kê: là việc tổ chức một cách khoa học với một kế hoạch
thống nhất việc thu thập, ghi chép nguồn tài liệu ban đầu về hiện tượng nghiên cứu
trong điều kiện về thời gianvà không gian cụ thể dựa trên hệ thống chỉ tiêu đã được xác định trước.
- KN tổng hợp thống kê: là sự tập trung, chỉnh lý, hệ thống hóa một cách khoa
học các tài liệu ban đầu thu thập được trong điều tra thống kê.
- KN phân tích thống kê: là nêu lên một cách tổng hợp bản chất, tính quy luật của
hiện tượng kinh tế – xã hội trong điều kiện không gian và thời gian nhất định qua
việc biểu hiện về số lượng và tính toán các mức của hiện tượng trong tương lai
nhằm đưa ra những căn cứ cho quyết định quản lý.
* Các hình thức tổ chức điều tra thống kê
- Báo cáo thống kê định kì
+ KN: là hình thức tổ chức điều tra thống kê thường xuyên, có định kỳ theo nội
dung, phương pháp và chế độ báo cáo thống nhất đã được quy định từ trước.
+ ÝN: Nhờ có tài liệu báo cáo thống kê định kỳ mà số liệu được phản ánh một
cách có hệ thống, giúp cho lãnh đạo có thể thường xuyên kiểm tra tình hình thực
hiện kế hoạch, phát hiện những khâu còn yếu để có biện pháp chỉ đạo kịp thời.
- Điều tra chuyên môn:
+ KN: điều tra chuyên môn chỉ được tổ chức khi có nhu cầu. Đây là hình thức tổ
chức điều tra thống kê không thường xuyên, được tiến hành theo kế hoạch và
phương pháp quy định riêng cho mỗi lần điều tra theo những nhu cầu và mục đích nhất định.
Ví dụ: Điều tra hộ nghèo trên phạm vi toàn quốc; nhu cầu tiêu dùng sản phẩm A tại các tỉnh phía Bắc. .
+ Đối tượng: là những hiện tượng mà báo cáo thống kê định kỳ chưa phản ánh
được đầy đủ, đồng thời nó dùng để kiểm tra chất lượng của báo cáo thống kê định kỳ
* Các loại điều tra thống kê
- Căn cứ vào yếu tố thời gian
+ Điều tra thường xuyên: là việc tiến hành thu thập, ghi chép tài liệu ban đầu
của hiện tượng nghiên cứu một cách liên tục, có hệ thống, gắn liền với sự phát
sinh, phát triển của hiện tượng.
Ví dụ: việc tổ chức chấm công lao động, theo dõi số công nhân đi làm hàng ngày
tại các doanh nghiệp, việc ghi chép số sản phẩm nhập, xuất kho hàng ngày tại các kho hàng. .
+ Điều tra không thường xuyên: là tiến hành thu thập, ghi chép tài liệu ban đầu
của hiện tượng một cách không liên tục, không gắn với quá trình phát sinh, phát
triển của hiện tượng, thông thường tài liệu này chỉ phản ánh trạng thái của hiện
tượng vào một thời điểm nhất định.
Ví dụ: Tổng điều tra dân số, các cuộc điều tra nghiên cứu thị trường. .
- Căn cứ vào phạm vi điều tra
+ Điều tra toàn bộ: là tiến hành thu thập tài liệu ban đầu trên toàn thể các đơn vị
thuộc đối tượng điều tra, không loại trừ bất cứ đơn vị nào.
Ví dụ: Tổng điều tra dân số; tổng điều tra tồn kho vật tư, hàng hoá; điều tra tất cả
các chợ trên địa bàn Hà Nội. .
+ Điều tra không toàn bộ: là tiến hành thu thập tài liệu ban đầu trên một số đơn
vị được chọn ra trong toàn bộ các đơn vị thuộc đối tượng điều tra. Căn cứ vào
phương pháp lựa chọn các đơn vị để điều tra, điều tra không toàn bộ được chia làm 3 loại:
• Điều tra chọn mẫu: là loại điều tra không toàn bộ trong đó người ta chọn ra
một số đơn vị nhất định trong tổng thể để điều tra, sau đó dùng kết quả thu
thập được để tính toán, suy rộng thành đạc điểm của tổng thể.
• Điều tra trọng điểm: là loại điều tra không toàn bộ trong đó chỉ điều tra ở
bộ phận chủ yếu nhất trong toàn bộ tổng thể nghiên cứu, kết quả điều tra cho
thấy tình hình cơ bản của hiện tượng, không dùng suy rộng ra đặc điểm chung của tổng thể
• Điều tra chuyên đề (điều tra đơn vị cá biệt): là loại điều tra không toàn bộ,
trong đó chỉ tiến hành điều tra một hoặc một số rất ít đơn vị của tổng thể,
nhưng lại đi sâu vào nghiên cứu chi tiết nhằm rút ra những bài học kinh
nghiệm để chỉ đạo phong trào.
* Các phương pháp thu thập tài liệu điều tra thống kê
- Phương pháp đăng ký trực tiếp: là phương pháp ghi chép tài liệu ban đầu mà
nhân viên điều tra phải tiếp xúc với đối tượng điều tra, trực tiếp tiến hành cân,
đong, đo, đếm và ghi chép tài liệu vào phiếu điều tra.
Ví dụ: Thống kê vật liệu tồn kho, kiểm kê tài sản cố định
- Phương pháp phỏng vấn: là phương pháp ghi chép tài liệu ban đầu mà nhân
viên điều tra thu thập được qua sự trả lời của đối tượng điều tra. Căn cứ vào tính
chất của sự tiếp xúc giữa người hỏi và người trả lời, ta phân biệt hai loại:
+ Phỏng vấn trực tiếp (phái viên điều tra): nhân viên điều tra được cử đến tận
địa điểm điều tra, gặp đối tượng điều tra, đặt câu hỏi, nghe trả lời và ghi số liệu vào phiếu điều tra.
+ Phỏng vấn gián tiếp: bao gồm
• Phương pháp tự ghi báo: đối tượng được điều tra sau khi nghe hướng dẫn
tự mình ghi số liệu vào phiếu điều tra rồi nộp cho cơ quan điều tra
• Phương pháp gửi thư (thông tấn): cơ quan điều tra và đối tượng được điều
tra không trực tiếp gặp nhau mà chỉ trao đổi tài liệu hướng dẫn và phiếu
điều tra bằng cách thông qua bưu điện.
3. Tiêu thức phân tổ. Khái niệm, tác dụng, phân loại dãy số phân phối? Cho ví dụ. (MY)
Tiêu thức phân tổ là tiêu thức được chọn làm căn cứ để tiến hành phân tổ thống kê.
Tiêu thức phân tổ khác nhau sẽ nói lên những mặt khác nhau của hiện tượng.
Có những tiêu thức nói được bản chất của hiện tượng và đáp ứng được mục đích
nghiên cứu, nhưng cũng có những tiêu thức không phản ánh được bản chất của
hiện tượng và không đáp ứng được mục đích, yêu cầu nghiên cứu. Như vậy, việc
phân tổ chính xác và khoa học trước hết phụ thuộc vào việc lựa chọn tiêu thức phân tổ.
Những yêu cầu về lựa chọn tiêu thức phân tổ:
- Phải dựa trên cơ sở phân tích lý luận một cách sâu sắc để chọn ra tiêu thức
bản chất nhất, phù hợp với mục đích nghiên cứu.
Ví dụ: Muốn phân tổ các doanh nghiệp sản xuất công nghiệp để biểu hiện quy
mô lớn nhỏ, ta phải căn cứ vào thực tế của các doanh nghiệp đó, để xem xét tiêu
thức nào có khả năng phản ánh quy mô của chúng như: số lượng lao động, giá trị
sản xuất, giá trị thiết bị chủ yếu, diện tích doanh nghiệp… Đối với những doanh
nghiệp mà quá trình sản xuất chủ yếu dựa vào sức lao động thì có thể chọn tiêu
thức “số lượng lao động” để tiến hành phân tổ, vì số lượng lao động nhiều hay ít sẽ
nói lên quy mô của doanh nghiệp lớn hay nhỏ. Nhưng đối với doanh nghiệp mà
quá trình sản xuất đã được cơ giới hoá hoặc tự động hoá cao, thì muốn biểu hiện
quy mô của chúng cần phải phân tổ theo các tiêu thức như: giá trị sản xuất, giá trị
thiết bị sản xuất chủ yếu…
- Phải căn cứ vào điều kiện lịch sử cụ thể của hiện tượng nghiên cứu để chọn ra
tiêu thức phân tổ thích hợp
Cùng một loại hiện tượng nghiên cứu, nhưng chúng phát sinh trong những điều
kiện thời gian và địa điểm khác nhau, thì bản chất có thể thay đổi khác nhau. Vì
vậy, tiêu thức phân tổ cũng mang ý nghĩa khác nhau. Nếu chỉ dùng một tiêu thức
phân tổ chung cho mọi trường hợp thì tiêu thức thức đó trong điều kiện này có thể
giúp ta nghiên cứu chính xác, nhưng trong điều kiện khác lại không có tác dụng gì cả.
- Phải tuỳ theo mục đích nghiên cứu và điều kiện tài liệu thực tế mà quyết định
phân tổ hiện tượng theo một hay nhiều tiêu thức
Hiện tượng nghiên cứu thường phức tạp, cho nên nếu việc phân tổ theo một tiêu
thức, dù đó là tiêu thức bản chất nhất cũng chỉ phản ánh được một mặt nào đó của
hiện tượng. Nếu phân tổ kết hợp theo nhiều tiêu thức, nó sẽ phản ánh được nhiều
mặt khác nhau của hiện tượng. Các mặt này có thể bổ sung cho nhau và giúp cho
việc nghiên cứu được đầy đủ, chính xác. Trong nhiều trường hợp phân tổ kết hợp
giúp ta nghiên cứu mối liên hệ giữa các tiêu thức với nhau.
Ví dụ: Có thể phân tổ nhân khẩu theo giới tính và theo độ tuổi (kết hợp 2 tiêu
thức); phân tổ các doanh nghiệp theo nhóm, ngành và theo thành phần kinh tế (kết
hợp 3 tiêu thức). Tuy nhiên cũng cần chú ý là không nên phân tổ kết hợp theo quá
nhiều tiêu thức (trên 3 tiêu thức) vì làm như vậy số tổ và tiểu tổ tăng lên nhiều,
tổng thể bị chia nhỏ thành nhiều tổ sẽ trở ngại cho việc nghiên cứu. - Dãy số phân phối: a) Khái niệm
Dãy số phân phối là dãy số trình bày thứ tự số lượng các đơn vị của từng tổ
trong một tổng thể đã được phân tổ theo một tiêu thức nào đó.
Có 2 cách trình bày dãy số: theo cột dọc và theo hàng ngang
Ví dụ: Có dãy số phân phối trình bày số sinh viên theo điểm thi môn Nguyên lý
thống kê kinh tế của một lớp:
b) Tác dụng của dãy số phân phối
Thông qua dãy số phân phối, người ta khảo sát tình hình phân phối các đơn vị
tổng thể theo tiêu thức nghiên cứu; thấy được kết cấu của tổng thể và sự biến động
của kết cấu đó. Thông qua dãy số phân phối người ta có thể tính được các chỉ tiêu
nêu lên đặc trưng của tổng thể.
c) Phân loại dãy số phân phối
Căn cứ tiêu thức phân tổ dãy số phân phối được chia thành 2 loại sau:
- Dãy số thuộc tính: là dãy số phản ánh kết cấu của tổng thể theo tiêu thức thuộc tính.
Ví dụ: Khi phân tổ lao động trong phân xưởng theo trình độ, ta có dãy số phân phối sau: Trình độ PTTH Trung cấp Cao đẳng Đại học Số lao động 15 13 10 20
- Dãy số lượng biến: là dãy số phản ánh kết cấu của tổng thể theo tiêu thức số lượng.
Ví dụ: phân tổ lao động của một phân xưởng theo tiêu thức thu nhập, ta có dãy số lượng biến sau: Thu nhập (106đồng) Số lao động 1 – 1,5 3 1,5 – 2 10 2 – 2,5 15 2,5 – 3 10 3 – 3,5 6
Dãy số lượng biến bao gồm 2 thành phần
- Lượng biến (xi): là trị số nói lên biểu hiện cụ thể của tiêu thức số lượng.
Lượng biến có hai khả năng biểu hiện:
+ Lượng biến rời rạc là lượng biến chỉ biểu hiện bằng số nguyên, giữa lượng
biến này và lượng biến kia cách nhau ít nhất 1 số nguyên.
Ví dụ: Phân tổ sinh viên của 1 khoa theo tiêu thức độ tuổi, …
+ Lượng biến liên tục là lượng biến biểu hiện bằng con số bất kỳ (gồm số
nguyên và số thập phân).
Ví dụ: Phân tổ các doanh nghiệp theo tỷ lệ % hoàn thành kế hoạch:
- Thành phần thứ hai của dãy số lượng biến là tần số (ký hiệu fi). Tần số là số
đơn vị cụ thể được phân phối vào mỗi tổ. Khi tần số được biểu hiện bằng số tương
đối gọi là tần suất (ký hiệu di).
4. Bảng thống kê, đồ thị thống kê? (ĐĂNG) A. Bảng thống kê
*Khái niệm: Bảng thống kê là một hình thức trình bày các tài liệu tổng hợp thống
kê một cách có hệ thống, hợp lý, rõ ràng nhằm nói lên đặc trưng về mặt lượng của hiện tượng nghiên cứu.
+Mỗi bảng thống kê bao giờ cũng có những con số có mối liên hệ với nhau để nêu
lên đặc trưng từng tổ và tổng thể.
* Tác dụng của bảng thống kê:
+ Giúp cho người xem dễ hiểu
+ Giảm thiểu số liệu các giá trị của dữ liệu trong văn bản
+ Dễ dàng đối chiếu, so sánh dữ liệu , có sức thuyết phục
* Cấu tạo bảng thống kê: - Về hình thức:
Hình thức bảng thống kê bao gồm: các hàng ngang, cột dọc, tiêu đề và con số
+ Các hàng ngang, cột dọc nói lên quy mô của bảng thống kê, số hàng ngang, cột
dọc càng nhiều thì quy mô của bảng càng lớn. Thông thường để tiện cho việc theo
dõi người ta có thể đánh số các hàng và các cột. Hàng ngang, cột dọc cắt nhau tại các ô để ghi con số.
+ Con số phản ánh mặt lượng của hiện tượng. Nó phải được thu thập qua kết quả
của tổng hợp thống kê và ghi vào các ô trong bảng.
+ Tiêu đề của bảng thống kê phản ánh nội dung, ý nghĩa các chi tiết trong bảng
thống kê. Có 2 loại tiêu đề:
° Tiêu đề chung (tên bảng): Tiêu đề chung thường đặt ở đầu bảng thống kê. Nội
dung của nó phải ngắn gọn, dễ hiểu và phải phản ánh nội dung trong bảng thống
kê. Bảng thống kê cần được đánh số.
° Tiêu mục (tên của các hàng và các cột): Tiêu mục phản ánh nội dung, ý nghĩa các hàng, các cột đó. - Về nội dung:
Nội dung của bảng thống kê gồm phần chủ đề và phần giải thích:
+ Phần chủ đề nói lên tổng thể hiện tượng được trình bày trong bảng thống kê.
Tổng thể này được phân thành những đơn vị nào, bộ phận nào? Nó giải đáp vấn đề:
Đối tượng nghiên cứu là những đơn vị nào, những loại hình gì? Phần chủ đề được
trình bày trên các hàng ngang.
+ Phần giải thích gồm các chỉ tiêu giải thích các đặc điểm của đối tượng nghiên
cứu, tức là giải thích phần chủ đề của bảng và được trình bày trên các cột dọc.
* Phân loại bảng thống kê: gồm có 3 loại
- Bảng thống kê giản đơn:
+ Phần chủ đề không phân tổ
+ Liệt kê các đơn vị tổng thể
- Bảng thống kê phân tổ (bảng phân tổ): là bảng thống kê có phần chủ đề phân tổ theo 1 tiêu thức nào đó.
- Bảng thống kê kết hợp: Là bảng thống kê có phần chủ đề phân tổ theo hai tiêu thức trở lên B Đồ thị thống kê:
* Khái niệm: Đồ thị thống kê là những hình vẽ, đường nét hình học kết hợp
với màu sắc dùng để miêu tả có tính chất quy ước các tài liệu thống kê. * Đặc điểm:
- Khác với bảng thống kê chỉ dùng con số để miêu tả đặc trưng của hiện tượng
nghiên cứu, đồ thị thống kê dùng các con số kết hợp với hình vẽ, đường nét, màu
sắc để trình bày kết cấu, xu hướng phát triển của hiện tượng sao cho người xem dễ quan sát, dễ nhận biết.
- Các đồ thị thống kê không trình bày chi tiết, tỉ mỉ các đặc trưng số lượng của hiện
tượng, mà chỉ nêu lên một cách khái quát các đặc điểm chủ yếu về kết cấu, bản
chất và xu hướng phát triển cơ bản của hiện tượng nghiên cứu.
* Tác dụng của đồ thị thống kê:
- Đồ thị thống kê được sử dụng rộng rãi trong việc trình bày, phân tích kinh tế
nhằm mục đích hình tượng hóa các vấn đề sau:
- Sự phát triển của hiện tượng qua thời gian
- Kết cấu và biến động kết cấu của hiện tượng
- Trình độ phổ biến của hiện tượng
- So sánh giữa các mức độ của hiện tượng
- Mối liên hệ giữa các hiện tượng
- Tình hình thực hiện kế hoạch
Ngoài ra, đồ thị thống kê còn là phương tiện để tuyên truyền, quảng bá các kết quả
hoạt động sản xuất kinh doanh, hoạt động văn hóa xã hội. * Phân loại:
- Căn cứ vào hình thức biểu diễn, có thể phân chia đồ thị thống kê thành các loại sau:
+ Biểu đồ hình cột: là đồ thị thông qua sự biểu diễn của các hình chữ nhật để thấy
được hiện tượng nghiên cứu. Chiều cao của cột tuỳ thuộc vào độ lớn của hiện
tượng, chiều rộng không thay đổi theo thời gian. Tỷ lệ giữa chiều cao và chiều
rộng của hình chữ nhật được chọn sao cho đảm bảo cân đối, thẩm mỹ.
+ Đồ thị đường gấp khúc: biểu diễn mối quan hệ giữa hai tiêu thức theo thời gian
hoặc tình hình phát triển của hiện tượng.
+ Đồ thị hình tròn: dùng để biểu diễn kết cấu của hiện tượng.
+ Bản đồ thống kê: là một loại đồ thị thống kê thông qua đó người ta thấy được
diện tích, mật độ, vị trí, mức độ phổ biến và tình hình quy hoạch của hiện tượng
nghiên cứu (dùng nhiều trong nông nghiệp, công nghiệp, giao thông vận tải). - Căn cứ vào nội dung:
+ Đồ thị so sánh: dùng để so sánh giữa các hiện tượng với nhau, so sánh tình hình
thực hiện kế hoạch và kế hoạch đã đề ra, có thể dùng các loại đồ thị hình cột, đồ thị đường gấp khúc.
+ Đồ thị phát triển: dùng để biểu hiện tình hình phát triển của hiện tượng nào đó
theo thời gian, có thể dùng các loại đồ thị hình cột, đồ thị đường gấp khúc.
+ Đồ thị kết cấu: dùng để biểu hiện kết cấu và biến động kết cấu của hiện tượng, có
thể dùng các đồ thị hình cột, hình tròn.
+ Đồ thị liên hệ: dùng để biểu diễn mối liên hệ giữa hai tiêu thức có liên quan với nhau.
Chú ý: Người ta thường dùng đồ thị gấp khúc với trục hoành của đồ thị dùng để
biểu hiện trị số của tiêu thức nguyên nhân, trục tung của đồ thị được dùng để biểu
hiện trị số của tiêu thức kết quả.
5. Khái niệm, đặc điểm, ý nghĩa, phân loại số tuyệt đối, số tương đối (LY) * Số tuyệt đối: • Khái niệm:
Số tuyệt đối trong thống kê là loại chỉ tiêu biểu hiện quy mô, khối lượng của hiện
tượng kinh tế - xã hội trong điều kiện thời gian và điều kiện cụ thể.
Số tuyệt đối thống kê bao gồm:
- Số đơn vị của tổng thể hay bộ phận
- Trị số của một tiêu thức hay một chỉ tiêu thống kê nào đó. • Ý nghĩa:
- Thông qua số tuyệt đối người ta có thể nhận thức được quy mô, khối lượng của hiện
- tượng nghiên cứu. Nhờ số tuyệt đối, người ta thấy được nguồn lực, kết quả phát triển của nền - kinh tế. .
- Số tuyệt đối là cơ sở đầu tiên để phân tích thống kê và là cơ sở để tính toán các loại chỉ
- tiêu thống kê khác (như số tương đối, số trung bình).
- Là cơ sở để xây dựng kế hoạch và chỉ đạo thực hiện kế hoạch.
- Như vậy, số tuyệt đối trong thống kê là chỉ tiêu cơ bản nhất. - • Đặc điểm
- Số tuyệt đối trong thống kê bao giờ cũng phải mang một nội dung kinh tế – xã
hội nào đó trong thời gian và địa điểm xác định. Nó khác với số tuyệt đối trong
toán học ở chỗ là nó phản ánh nội dung gì, của ai, ở đâu và khi nào.
- Các số tuyệt đối trong thống kê không phải là con số được lựa chọn tuỳ ý mà nó
phải qua điều tra thực tế và tổng hợp một cách khoa học. Có khi người ta phải
dùng các phương pháp tính toán khác nhau mới có được các số tuyệt đối đó.
• Số tuyệt đối có 2 loại:
- Số tuyệt đối thời kì: là số tuyệt đối phản ánh quy mô, khối lượng của hiện
tượng trong một độ dài thời gian nhất định.
Ví dụ: doanh thu của doanh nghiệp vận tải năm 2007 là 50 tỷ đồng. Đặc điểm của
số tuyệt đối thời kỳ của cùng một chỉ tiêu có thể cộng lại với nhau để phản ánh mặt
lượng của hiện tượng ở thời kỳ dài hơn.
- Số tuyệt đối thời điểm: là số tuyệt đối phản ánh quy mô, khối lượng của hiện
tượng tại một thời điểm nhất định. Trước và sau thời điểm đó thì mặt lượng
của hiện tượng sẽ bị thay đổi. Do đó muốn có số tuyệt đối thời điểm chính
xác, phải quy định thời điểm hợp lý và tổ chức điều tra kịp thời.
Ví dụ: Dân số thành phố A vào 0 giờ ngày 1/4/1999 là 2,5 triệu người;
Đặc điểm của số tuyệt đối thời điểm không thể cộng lại với nhau, vì số tuyệt đối ở
thời điểm sau đã bao gồm 1 phần hay toàn bộ số tuyệt đối ở thời điểm trước. * Số tương đối: • Khái niệm:
Số tương đối trong thống kê là một loại chỉ tiêu biểu hiện quan hệ tỉ lệ so sánh
giữa hai mức độ của hiện tượng nghiên cứu. Hai mức độ này có thể cùng loại
nhưng khác nhau về thời gian hoặc không gian, hoặc giữa hai mức độ khác nhau
nhưng có liên quan với nhau. • Ý nghĩa
Trong thống kê số tương đối có ý nghĩa quan trọng, nó là một trong những chỉ
tiêu phân tích thống kê. Nếu như số tuyệt đối chỉ khái quát được về quy mô, khối
lượng của hiện tượng nghiên cứu, thì số tương đối cho phép phân tích đặc điểm
của hiện tượng, nghiên cứu hiện tượng trong mối quan hệ so sánh với nhau.
Số tương đối trong thống kê được sử dụng rộng rãi trong phân tích thống kê. Nó
thể hiện ở các mặt sau:
- Số tương đối cho biết kết cấu của hiện tượng
- Số tương đối biểu hiện mối quan hệ giữa hai chỉ tiêu
- Số tương đối biểu hiện trình độ phát triển của hiện tượng
- Số tương đối biểu hiện trình độ phổ biến của hiện tượng
- Số tương đối dùng để đánh giá tình hình thực hiện kế hoạch
- Nhờ có số tương đối mà người ta có thể đi sâu phân tích, so sánh đặc điểm của
hiện tượng và giữ bí mật số tuyệt đối. • Đặc điểm:
Các số tương đối trong thống kê không phải là con số trực tiếp thu được qua điều
tra thống kê mà là kết quả so sánh giữa hai số tuyệt đối đã có. Vì vậy mỗi số tương
đối phải có gốc để so sánh (gọi là chỉ tiêu gốc). Tuỳ theo mục đích nghiên cứu mà
người ta chọn gốc so sánh phù hợp.
• Số tương đối có 6 loại:
- Số tương đối động thái:
Số tương đối động thái biểu hiện sự biến động về mức độ của hiện tượng nghiên
cứu theo thời gian. Nó được xác định bằng cách so sánh tỉ lệ giữa hai mức độ của
chỉ tiêu thống kê cùng loại của hiện tượng (gọi tắt là mức độ của hiện tượng) ở 2
thời kỳ (hay thời điểm) khác nhau và được biểu hiện bằng số lần hay %.
Trong đó: y1 - mức độ của hiện tượng kỳ báo cáo (kỳ nghiên cứu)
y0 - mức độ của hiện tượng kỳ gốc
Ví dụ: Vốn đầu tư xây dựng của 1 địa phương năm 2006 là 250 tỷ đồng và năm
2007 là 300 tỷ đồng. Nếu đem so sánh vốn đầu tư xây dựng năm 2007 với năm
2006, ta sẽ có số tương đối động thái:
Như vậy vốn đầu tư xây dựng năm 2007 so với năm 2006 bằng 1,2 lần hay 120%.
- Số tương đối nhiệm vụ kế hoạch:
Số tương đối nhiệm vụ kế hoạch biểu hiện quan hệ tỷ lệ giữa mức độ cần đạt tới
của chỉ tiêu kinh tế nào đó trong kỳ kế hoạch so với mức độ của chỉ tiêu này ở kỳ gốc.
Trong đó: ykh - mức độ kế hoạch
- Số tương đối hoàn thành kế hoạch:
Số tương đối hoàn thành kế hoạch biểu hiện quan hệ tỷ lệ giữa mức độ thực tế
đạt được trong kỳ kế hoạch so với mức độ kế hoạch đã đặt ra của chỉ tiêu kinh tế nào đó.
Đối với những chỉ tiêu kinh tế mà thực tế thực hiện phải lớn hơn kế hoạch mới
là chiều hướng tốt, thì số tương đối hoàn thành kế hoạch tính ra trên 100% là vượt
kế hoạch, còn dưới 100% là không hoàn thành kế hoạch. Nhưng cũng có một số
chỉ tiêu kinh tế mà thực tế thực hiện thấp hơn kế hoạch dự kiến mới là chiều hướng
tốt (như giá thành, tiêu hao nguyên vật liệu cho 1 đơn vị sản phẩm. .) thì số tương
đối hoàn thành kế hoạch tính ra dưới 100% mới là vượt mức, còn trên 100% là
không hoàn thành kế hoạch. Mối quan hệ giữa 3 loại số tương đối trên : Số tương
đối động thái bằng tích của số tương đối nhiệm vụ kế hoạch và số tương đối hoàn thành kế hoạch.
Ví dụ: Một doanh nghiệp dự kiến tăng năng suất lao động 10% so với kỳ gốc, thực
tế năng suất lao động đã tăng 15% so với kỳ gốc. Tính tỷ lệ hoàn thành kế hoạch
chỉ tiêu năng suất lao động?
- Số tương đối kết cấu:
Số tương đối kết cấu phản ánh tỷ trọng của mỗi bộ phận cấu thành trong tổng thể.
Nó được xác định bằng cách so sánh tỉ lệ mức độ của từng bộ phận (tổ) với mức độ của cả tổng thể.
Ví dụ: Doanh thu của công ty vận tải A năm 2007 là 160 tỉ đồng, trong đó vận tải
hành khách chiếm 128 tỷ đồng và vận tải hàng hoá chiếm 32 tỷ đồng. Tính ra các
số tương đối kết cấu:
- Số tương đối so sánh:
- Số tương đối so sánh dùng để biểu hiện sự so sánh tỷ lệ về mức độ giữa hai bộ phận trong tổng thể.
Ví dụ: So sánh tỷ lệ số sinh viên nam và nữ ở một trường đại học; so sánh tỷ lệ
đóng góp vào ngân sách Nhà nước của khu vực quốc doanh và ngoài quốc doanh.
- Số tương đối so sánh dùng để biểu hiện sự so sánh tỷ lệ giữa hai mức độ của hiện
tượng cùng loại nhưng khác nhau về điều kiện không gian.
Ví dụ: So sánh giá cả của 1 loại hàng hoá giữa hai thị trường; so sánh khối lượng
sản phẩm của 2 xí nghiệp trong cùng một ngành; so sánh dân số của hai địa
phương. . Tác dụng của sự so sánh này nhằm nêu lên ảnh hưởng của các điều kiện
khác nhau đối với mức độ của hiện tượng nghiên cứu.
- Số tương đối cường độ:
Số tương đối cường độ dùng để biểu hiện trình độ phổ biến của hiện tượng nghiên
cứu trong điều kiện lịch sử nhất định. Nó được xác định bằng cách so sánh tỉ lệ chỉ
tiêu của hai hiện tượng khác nhau nhưng có liên quan với nhau và thường biểu hiện bằng đơn vị kép. Ví dụ:
6. Khái niệm, ý nghĩa, phương pháp tính số trung bình, Mốt, số trung vị (SƠN)
1. Số trung bình (số bình quân) a) Khái niệm
Các tổng thể thống kê bao gồm nhiều đơn vị cấu thành, tuy về cơ bản các đơn vị
này cùng có một số đặc điểm chung nhưng biểu hiện cụ thể về mặt lượng theo các
tiêu thức thường chênh lệch nhau. Điều đó tạo nên cho mỗi đơn vị tổng thể có một
số đặc điểm riêng. Mục đích của nghiên cứu thống kê là không thể nêu lên tất cả
các đặc điểm riêng biệt của từng đơn vị mà cần tìm một mức độ có tính chất đại
biểu, điển hình nhất, có khả năng khái quát đặc điểm chung của cả tổng thể. Mức
độ đó chính là số trung bình. Số trung bình trong thống kê là mức độ biểu hiện trị
số đại biểu theo một tiêu thức hoặc chỉ tiêu thống kê nào đó của một tổng thể bao
gồm nhiều đơn vị cùng loại.
Ví dụ: Để đánh giá học lực của sinh viên, người ta phải tính điểm trung bình. . b) Ý nghĩa
- Chỉ cần một trị số là số trung bình, ta có thể nêu lên mức độ chung nhất, phổ biến
nhất của tiêu thức nghiên cứu. Số trung bình không kể đến chênh lệch thực giữa
các đơn vị tổng thể, không biểu hiện mức độ cá biệt.
Ví dụ: tiền lương trung bình mỗi lao động, năng suất lao động trung bình mỗi công
nhân, giá thành trung bình mỗi đơn vị sản phẩm. .
- Do số trung bình biểu hiện đặc điểm chung của cả tổng thể nghiên cứu cho nên
những nét riêng biệt có tính chất ngẫu nhiên của từng đơn vị cá biệt bị loại trừ, tức
là số trung bình đã san bằng mọi chênh lệch giữa các đơn vị tổng thể về lượng biến
của tiêu thức nghiên cứu. Nhưng sự san bằng này chỉ có ý nghĩa khi ta tính cho
một số khá lớn đơn vị tổng thể
- Số trung bình nêu lên đặc điểm điển hình của hiện tượng kinh tế – xã hội số lớn
trong điều kiện thời gian và địa điểm cụ thể.
Ví dụ: giá cả bình quân, tốc độ chu chuyển vốn bình quân.
- Số trung bình dùng để so sánh các hiện tượng không cùng quy mô.
- Số trung bình có thể được dùng để nghiên cứu quá trình biến động của hiện tượng
theo thời gian như quá trình sản xuất, xu hướng phát triển của hiện tượng.
- Số trung bình được dùng trong công tác lập kế hoạch, phân tích tình hình thực hiện kế hoạch.
- Số trung bình chiếm một vị trí quan trọng trong việc vận dụng các phương pháp
phân tích thống kê, như phân tích dãy số thời gian, chỉ số, tương quan hồi quy. .
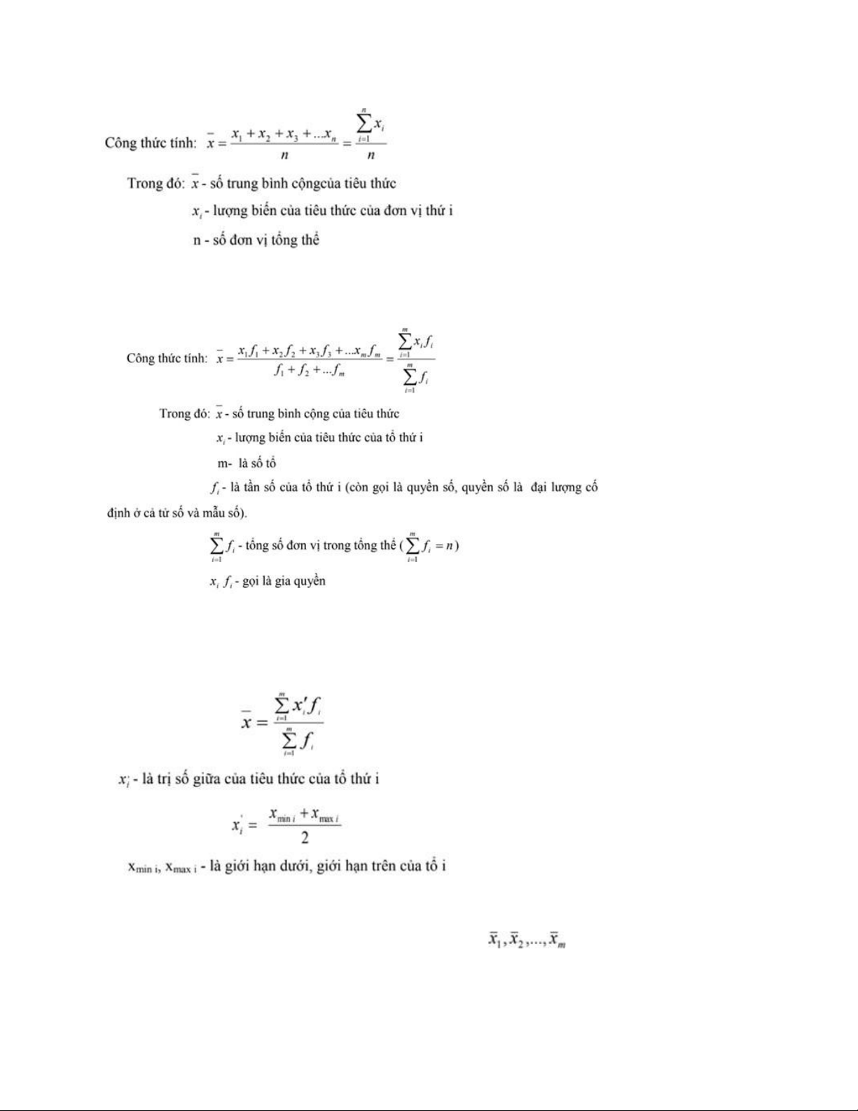
c)Phương pháp tính số trung bình
Số trung bình cộng được tính bằng cách đem chia tổng lượng biến của tiêu thức
cho tổng số đơn vị tổng thể
Số trung bình cộng gồm 2 loại sau:
+ Số trung bình cộng giản đơn: nó được sử dụng trong trường hợp mỗi lượng
biến xuất hiện một lần (mọi tần số đều bằng 1)
+ Số trung bình cộng gia quyền: được sử dụng trong trường hợp mỗi lượng biến
có tần số là số bất kỳ.
Các trường hợp đặc biệt của số trung bình công gia quyền
+ Trường hợp 1: Tính số trung bình gia quyền từ dãy số lượng biến có khoảng cách tổ
+ Trường hợp 2: Tính số trung bình gia quyền khi biết số trung bình của từng tổ
Giả sử có các số trung bình của m tổ lần lượt là :