



















Preview text:
TRẮC NGHIỆM
Câu 1: Một phần kết quả thực hiện bằng Stata được biểu diễn như sau:
Dựa vào kết quả của bảng trên, chúng ta có thể kết luận: Đây là mô hình A. Hồi quy đa biến B. Hồi quy đơn biến
C. Không xác định được
D. Hàm hồi quy mẫu phù hợp với mức ý nghĩa 5%
Câu 2: Một phần kết quả thực hiện bằng Stata được biểu diễn như sau:
Nếu biết cỡ mẫu là 20 thì giá trị tới hạn cần tra bảng khi tìm khoảng tin cậy cho các hệ số ước lượng là?
A. Phân phối Student, bậc tự do 19
B. Phân phối Student, bậc tự do 18
C. Phân phối Student, bậc tự do 17 D. Phân phối chuẩn
Câu 3: Một phần kết quả thực hiện bằng Stata được biểu diễn như sau:
Một số khẳng định được đọc từ bảng kết quả như sau:
i. Tổng bình phương các sai lệch TSS = 723.975
ii. Tổng bình phương các phần dư ESS = 107.1512
iii. Số biến độc lập trong mô hình, kể cả hằng số là 3
iv. Giá trị kiểm định trong bài toán kiểm định độ phù hợp là 0.0515
Có bao nhiêu khẳng định SAI: A. 1 B. 2 C. 3 D. 4
Câu 4: Một phần kết quả thực hiện bằng Stata được biểu diễn như sau:
Ý nghĩa của việc thực hiện kiểm định này là:
A. Kiểm định thừa biến và mô hình không xảy ra thừa biến với mức ý nghĩa 5%.
B. Kiểm định thừa biến và mô hình xảy ra thừa biến với mức ý nghĩa 5%.
C. Kiểm định thiếu biến và mô hình không xảy ra thiếu biến với mức ý nghĩa 5%.
D. Kiểm định thiếu biến và mô hình xảy ra thiếu biến với mức ý nghĩa 5%.
Câu 5: Một phần kết quả thực hiện bằng Stata được biểu diễn như sau:
Bảng ma trận hiệp phương sai trên là:
A. Hiệp phương sai của các giá trị của các biến độc lập trong mô hình hồi quy
B. Hiệp phương sai của các hệ số ước lượng trong mô hình hồi quy
C. Phương sai của các giá trị của các biến độc lập trong mô hình hồi quy
D. Phương sai của các hệ số ước lượng trong mô hình hồi quy
Câu 6: Phân tích hồi quy là một công cụ thống kê nhằm xây dựng một mô hình toán học mô tả:
A. Một biến độc lập có tương quan với một hoặc nhiều biến phụ thuộc.
B. Một số biến độc lập có tương quan với một số biến phụ thuộc.
C. Một phụ thuộc có tương quan với một hoặc nhiều biến độc lập.
D. Các đáp án trên đều sai.
Câu 7: Bỏ sót một biến giải thích quan trọng khi chạy hồi quy thường
A. Làm tăng phương sai của các hệ số ước lượng.
B. Làm giảm phương sai của các hệ số ước lượng
C. Không ảnh hưởng đến phương sai của các hệ số ước lượng.
D. Ước lượng bị chệch và tăng phương sai của hệ số ước lượng.
Câu 8: Giả sử mô hình hồi quy đa biến:
𝑌𝑖= 𝛽1+ 𝛽2. 𝑋𝑖2 + 𝛽3. 𝑋𝑖3 + 𝜀𝑖
trong đó cả hai biến 𝑋2 và 𝑋3 là có ảnh hưởng thật sự đến biến phụ thuộc 𝑌. Trước tiên, ta hồi
quy mô hình (1): 𝑌𝑖= 𝛽1+ 𝛽2. 𝑋𝑖2 + 𝜀𝑖 và nhận thấy hệ số 𝛽2 không có ý nghĩa thống kê. Tuy
nhiên khi hồi quy mô hình (1): 𝑌𝑖= 𝛽1+ 𝛽2. 𝑋𝑖2 + 𝛽3. 𝑋𝑖3 + 𝜀𝑖 hệ số ước lượng 𝛽2 thay đổi bởi
một lượng lớn và do đó tham số 𝛽2 trở nên có ý nghĩa thống kê. Điều này cho thấy rằng:
A. Mô hình (1) đúng vì vậy có thể kết luận 𝑋2 thật sự không ảnh hưởng đến 𝑌.
B. Mô hình (1) bị chệch do bỏ sót biến quan trọng.
C. Mô hình (1) bị thừa biến.
D. Mô hình (2) bị thừa biến.
Câu 9: Giá trị kiểm định trong bài toán kiểm định độ phù hợp của biến phụ thuộc Y là:
A. 1.7695 và hàm hồi quy mẫu phù hợp với mức ý nghĩa 5%
B. 0.1285 và hàm hồi quy mẫu phù hợp với mức ý nghĩa 5%
C. 1.7695 và hàm hồi quy mẫu KHÔNG phù hợp với mức ý nghĩa 5%
D. 0.1285 và hàm hồi quy mẫu KHÔNG phù hợp với mức ý nghĩa 5%
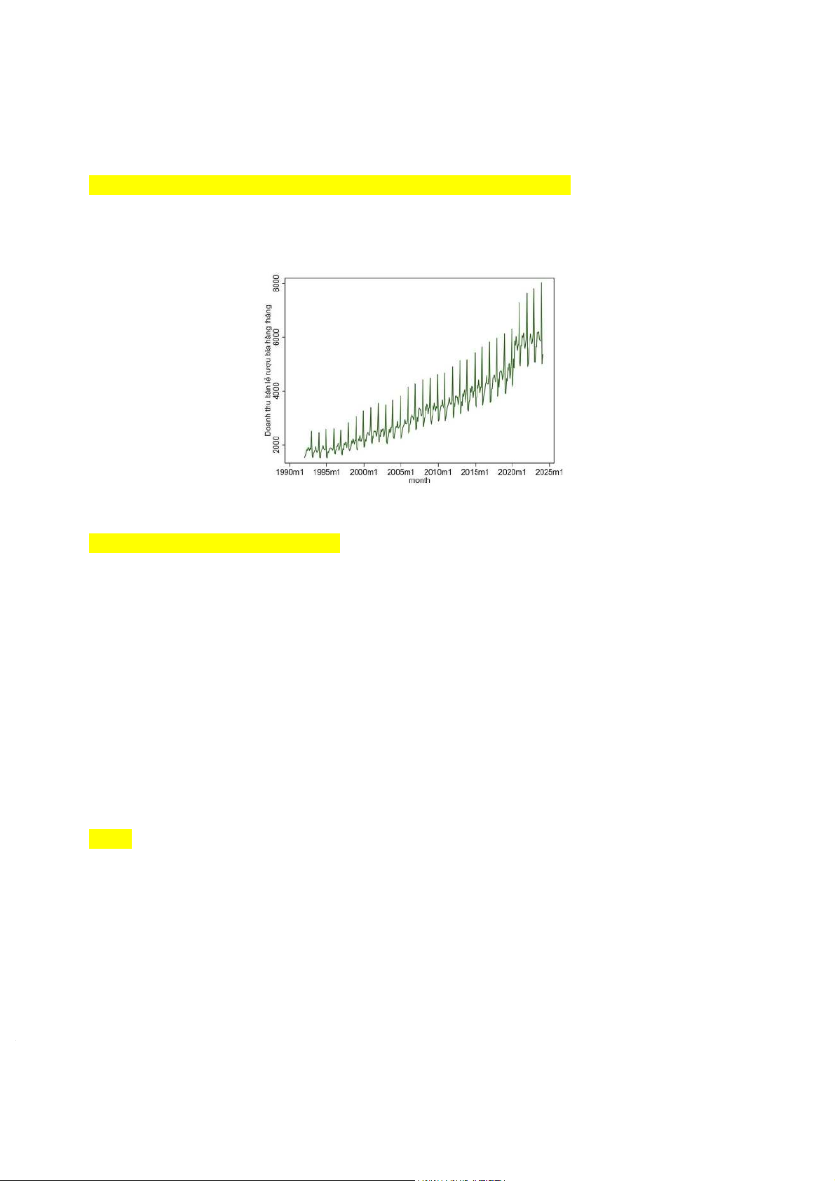
Câu 10: Đồ thị thời gian của dữ liệu về doanh thu bán lẻ rượu bia hàng tháng được cho như sau:
Đồ thị trên cho thấy dữ liệu:
A. Có tính xu thế tăng theo thời gian B. Không có tính mùa vụ
C. Có trung bình không thay đổi theo thời gian
D. Có xu thế giảm dần theo thời gian
Câu 11: Kết quả ước lượng tiền lương (wage) theo kinh nghiệm (exp (đơn vị: năm) và exp2),
giới tính (male: = 1 đối với nam, = 0 đối với nữ), khu vực việc làm (state: = 1 đối với những
người làm việc trong khu vực công, = 0 đối với những người làm việc trong khu vực tư
nhân) được cho như sau: 𝑤𝑎𝑔 𝑒
= 40.5 + 0.4𝑒𝑥𝑝 − 0.08𝑒𝑥𝑝2+ 4.6𝑚𝑎𝑙𝑒 − 2.3𝑠𝑡𝑎𝑡𝑒 + 1.2𝑚𝑎𝑙𝑒 ∗ 𝑠𝑡𝑎𝑡𝑒
Sự khác biệt về tiền lương trung bình giữa một phụ nữ có 10 năm kinh nghiệm làm việc trong
khu vực công và một người đàn ông có cùng số năm kinh nghiệm nhưng làm việc trong khu vực tư nhân là: A. 6.9 B. 2.3 C. 4.6 D. 1.2
Câu 12: Xét mô hình hồi quy 𝒀 = 𝜷𝟎+ 𝜷𝟏∗ 𝑿𝟏+ 𝜷𝟐∗ 𝑿𝟐+ 𝜺. Dựa trên 50 quan sát, ta tìm
được hệ số xác định 𝑹𝟐= 𝟎. 𝟖𝟓𝟐𝟔. Xác định giá trị của thống kê F và kiểm định sự phù
hợp của mô hình ở mức ý nghĩa 5%. Cho biết giá trị tra bảng Fisher là 𝑭𝟎.𝟎𝟓;𝟐;𝟒𝟕 = 𝟑. 𝟏𝟗𝟓.
A. F=135.93, mô hình không phù hợp
B. F=135.93, mô hình phù hợp
C. F=138.82, mô hình không phù hợp
D. F=138.82, mô hình phù hợp
Câu 13: Kết quả hồi quy được cho trong bảng sau
Trong đó: wage (tiền lương); educ (số năm đi học); exper (số năm kinh nghiệm)
Tìm tất cả các phát biểu SAI:
i. Adj R-squared của mô hình là xấp xỉ 22.22%
ii. Mô hình có ý nghĩa (phù hợp) với p_value có giá trị là 0.049 tại mức ý nghĩa 1%.
iii. Số lượng tham số (hệ số) cần ước lượng của mô hình là 2. A. ii, iii B. ii C. i D. i, iii
Câu 14: Kết quả hồi quy dữ liệu bảng như sau
Tìm đáp án ĐÚNG, với mức ý nghĩa 5%.
A. Mô hình REM tốt hơn mô hình FEM
B. Mô hình REM tốt hơn mô hình gộp (Pooled OLS)
C. Mô hình FEM tốt hơn mô hình REM
D. Mô hình gộp (Pooled OLS) tốt hơn mô hình FEM
Wald test: {𝐻0: 𝑢𝑖= 0 → (𝑃𝐿𝑂𝑆) 𝐻1:∑
𝑛−1 𝑢𝑖𝑖2=1 > 0 → (𝐹𝐸𝑀)
LM test: {𝐻0: 𝜎𝑢2= 0 → (𝑃𝐿𝑂𝑆)
𝐻1: 𝜎𝑢2> 0 → (𝑅𝐸𝑀)
Hausman test: {𝐻0: 𝐶𝑜𝑣(𝑢𝑖, 𝑥𝑖𝑡) = 0 → (𝑅𝐸𝑀)
𝐻1: 𝐶𝑜𝑣(𝑢𝑖, 𝑥𝑖𝑡) ≠ 0 → (𝐹𝐸𝑀)
𝑝 − 𝑣𝑎𝑙𝑢𝑒 < 𝛼 => Bác bỏ H0
Câu 15: Sử dụng dữ liệu thu thập từ 100 nhân viên để ước tính mối quan hệ giữa thu nhập
(X, triệu đồng) và chi tiêu (Y, triệu đồng) hàng tháng bằng mô hình hồi quy đơn biến 𝒀 =
𝜷𝟎+ 𝜷𝟏∗ 𝑿𝒊+ 𝜺𝒊. Ta có kết quả hồi quy như sau: 𝑌 = 5.5 + 0.7𝑋. Tìm khoảng dự báo với
độ tin cậy 95% cho chi tiêu trung bình của một người có thu nhập 15 triệu đồng / tháng.
Cho biết, tại 𝑋0=15 thì 𝑆𝑒(𝑌0)= 0.57, và 𝑡0. 025 98 = 1.98 A. (15.43, 16.57) B. (14.87, 17.13) C. (14.02, 17.98) D. (14.50, 17.50)
Câu 16: Kết quả hồi quy giữa tiền lương (wage) phụ thuộc vào trình độ học vấn (educ) thể
hiện trong bảng sau:
Đếm số phát biểu ĐÚNG
i. educ giải thích được 16.48% sự thay đổi của wage
ii. Biến educ có ý nghĩa ở mức ý nghĩa 1%.
iii. Mô hình đề xuất phù hợp với mức ý nghĩa 5%. A. 3 B. 1 C. 2 D. 0
Câu 17: Kết quả hồi quy dữ liệu bảng như sau
Tìm đáp án ĐÚNG, với mức ý nghĩa 5%.
A. Mô hình FEM tốt hơn mô hình gộp (Pooled OLS)
B. Mô hình REM tốt hơn mô hình gộp (Pooled OLS)
C. Mô hình gộp (Pooled OLS) tốt hơn FEM
D. Mô hình gộp (Pooled OLS) tốt hơn REM
Câu 18: Một nghiên cứu nhằm kiểm tra xem thời gian di chuyển từ nơi ở đến trường có
ảnh hưởng đến kết quả học tập của học sinh hay không. Dữ liệu nghiên cứu gồm: điểm bài
kiểm tra của học sinh (y), số giờ học sinh dành cho việc di chuyển trên đường mỗi ngày (d,
giờ), x1, x2, x3 là một số biến kiểm soát khác.
Với một mẫu gồm 30 quan sát, kết quả ước lượng mô hình hồi quy thu được như sau (trong dấu
ngoặc đơn là độ lệch chuẩn của hệ số ước lượng):
ln(𝑦)= 5.0 − 5.7𝑥1−10𝑥2+ 0.03𝑥3− 0.3𝑑, với 𝑅2= 0.78
Ý nghĩa của hệ số ước lượng đứng trước biến giải thích d là: trong điều kiện tất cả các yếu tố
khác không đổi, khi thời gian học sinh di chuyển trên đường mỗi ngày tăng thêm 1 giờ, điểm thi
trung bình của học sinh đó giảm A. 0.3% B. 3% C. 0.3 đơn vị D. 30%
Câu 19: Một bảng kết quả thu được từ Stata như sau:
Ý nghĩa của việc thực hiện kiểm định này là:
A. Đây là kết quả của kiểm định thừa biến và mô hình không xảy ra thừa biến với mức ý nghĩa 5%.
B. Đây là kết quả của kiểm định thiếu biến và mô hình có xảy ra thiếu biến với mức ý nghĩa 5%.
C. Đây là kết quả của kiểm định đa cộng tuyến và mô hình xảy ra đa cộng tuyến với mức ý nghĩa 5%.
D. Đây là kết quả của kiểm định phương sai sai số thay đổi và mô hình có xảy ra hiện tượng
phương sai sai số thay đổi ở mức ý nghĩa 5%.
Câu 20: Mô hình hồi quy bội được sử dụng để đánh giá tác động của các biến X1, X2, X3
lên Y. Sau khi thực hiện hồi quy, chúng ta nhận được các hệ số phóng đại phương sai trên STATA như sau: Tìm đáp án ĐÚNG
A. Mô hình không có hiện tượng tự tương quan
B. Mô hình có hiện tượng đa cộng tuyến
C. Mô hình không có hiện tượng đa cộng tuyến
D. Mô hình có hiện tượng phương sai thay đổi
Câu 21: Xét một mô hình hồi xu thế của logarit doanh số bán lẻ rượu bia hàng năm
(ln_liquor=log(liquor), tính bằng đô la) như sau:
Trong các khẳng định sau, có bao nhiêu khẳng định ĐÚNG?
i. Hàm xu thế bậc nhất là phù hợp với chuỗi thời gian này ở mức ý nghĩa 5%.
ii. Khi t tăng 1 năm thì doanh số bán lẻ rượu bia tăng trưởng với tốc độ trung bình là 0.34% .
iii. Hàm xu thế bậc nhất giải thích được khoảng 90.28% cho tổng biến thiên của doanh số bán lẻ rượu bia hàng năm. A. 0 B. 3 C. 2 D. 1
Câu 22: Dùng dữ liệu thu thập từ 42 nhân viên để ước tính mối quan hệ giữa thu nhập (X,
triệu đồng) và chi tiêu (Y, triệu đồng) hàng tháng bằng mô hình hồi quy đơn biến 𝒀 =
𝜷𝟏+ 𝜷𝟐𝑿𝟐+ 𝜺. Ta có kết qua hồi quy như sau:
Với kết quả ước lượng trên, xét các khẳng định sau:
(i) Sai số chuẩn của mô hình hồi quy mẫu (S.E. of regression), ký hiệu 𝜎 bằng 0.1699
(ii) Trị thống kê F-Statistics dùng kiểm định độ phù hợp của mô hình với cặp giả thuyết {𝐻0: 𝑅2= 0
𝐻1: 𝑅2≠ 0 là 𝐹 = 281.853
(iii) Mô hình phù hợp ở mức ý nghĩa 5%, biết 𝐹0.05;1;40 = 4.0847
Trong các khẳng định trên có bao nhiêu khẳng định đúng? A. 0 B. 1 C. 2 D. 3
(i) Để tính sai số chuẩn của hồi quy (S.E. of regression), ta lấy căn bậc hai của Mean Squared
Error (MSE). MSE được tính bằng cách chia Sum squared resid cho degrees of freedom (bậc tự do). 𝑀𝑆𝐸 = 1.155147 40 = 0.028879
𝜎 = √𝑀𝑆𝐸 = √0.028879 = 0.169938
Câu 23: Xét mô hình hồi quy giữa biến phụ thuộc Y và biến độc lập X, dựa trên bộ dữ liệu mẫu, ta có: 𝑛 𝑛
∑𝑖=1 𝑋=90; ∑𝑌 𝑖=1 =340; 𝑛 = 4; 𝐸𝑆𝑆 = 104 𝑛 𝑛 𝑛 ∑𝑖=1 (𝑌 − = 𝑌 −1) 5 ( 6;𝑋 − ∑( 𝑋 𝑋 )− 𝑋 𝑖=1 =234;)
2∑(𝑌 − 𝑌 𝑖=1 =19 7 ) 4 2
Hệ số góc của mô hình hồi quy mẫu là: A. -0.667 B. 0.667 C. 100 D. -100
Hệ số góc của mô hình hồi quy mẫu (ký hiệu là b) được tính bằng công thức: 𝛽2=∑(𝑌𝑛𝑖 − =1 𝑌 𝑖=1 =) − (1𝑋5 − 6 𝑋) 𝑛 234 ∑(𝑋 − 𝑋 ) = −0.667 2
Tổng bình phương toàn phần (TSS): 𝑇𝑆𝑆 = ∑(𝑛𝑌 𝑖=1 − = 𝑌 19 7 ) 4 2
Hệ số xác định (R-squared): 𝑅2=𝐸𝑆𝑆𝑇𝑆𝑆 =1041974 = 0.0527 H 𝑛 𝑛
ệ số chặn: 𝛽1= 𝑌− 𝛽2𝑋=∑𝑌 𝑖=1𝑛− 𝑏 ∑𝑋 𝑖=1𝑛=340 4−(−0.667)90 4=100.0075
Phương trình hồi quy: 𝑌 = 100.0075 − 0.667𝑋
Độ lệch chuẩn của sai số chuẩn (Standard Error of Regression - SER): 𝑆𝐸𝑅 = √𝑅𝑆𝑆 𝑛−2 =√1870 4−2 = 30.578
Kiểm định t với 𝑆𝑒(𝛽1)=𝑆𝐸𝑅 𝑖=1 =30.578 √234 = 1.9989 √ ∑ (𝑛𝑋−𝑋 )2
Câu 24: Trong hồi quy tuyến tính nếu 𝑻𝑺𝑺 = 𝟒𝟓𝟎𝟎 và 𝑹𝑺𝑺 =𝟏𝟓𝟕𝟓, thì hệ số xác định 𝑹𝟐 là: A. 0.45 B. 2.85 C. 0.35 D. 0.65
Câu 25: Nếu kết quả ước lượng OLS từ một tập dữ liệu có 𝑬𝑺𝑺 = 𝟒𝟎𝟎 và 𝑹𝑺𝑺 =𝟏𝟎𝟎 thì
hệ số xác định 𝑹𝟐 là: A. 0.80 B. 0.25 C. 0.10 D. 0.40
Câu 26: Kết quả ước lượng chi tiêu (Y, triệu đồng) theo thu nhập (X, triệu đồng) có dạng
𝒀 = 𝜷𝟏+ 𝜷𝟐𝑿 + 𝑼 từ một mẫu dữ liệu được cho trong bảng sau:
Thu nhập trung bình và hệ số ước lượng của tham số 𝛽2 của mô hình hồi quy mẫu trên lần lượt là: A. 14.2 và 0.6715 B. 15 và 0.7095 C. 12.6 và 0.8264 D. 15 và 0.4369 Ta có: 𝑡 𝑠𝑡𝑎𝑡 =𝛽2 . ∗ 0. = 0. 𝑆𝑒(𝛽) => 𝛽2
= 𝑡𝑠𝑡𝑎𝑡 ∗𝑆𝑒(𝛽2)=30 79635 02304 7095 2 𝑌= 𝛽 −𝛽1
1+ 𝛽2𝑋 => 𝑋=𝑌 𝛽2=11.7−1.056 618 0.7095 =15.001
Câu 25: Trong mô hình hồi quy: 𝒀 = 𝜷𝟏+ 𝜷𝟐𝑿 + 𝜺 kỳ vọng có điều kiện của Y, 𝑬(𝒀|𝑿) là:
A. Trung bình của tất cả các giá trị của Y trong mẫu khảo sát B. 𝛽1+ 𝛽2𝑋 + 𝜀 C. 𝛽1+ 𝛽2𝑋
D. Trung bình của tất cả các giá trị của X trong mẫu khảo sát
Câu 26: Trong mô hình hồi quy tuyến tính đơn biến có dạng 𝒀𝒊= 𝜷𝟏+ 𝜷𝟐𝑿𝒊+ 𝑼𝒊, phát
biểu nào sau đây không phải là giả định của phương pháp bình phương cực tiểu OLS về
các sai số ngẫu nhiên 𝑼𝒊?
A. Phương sai của các sai số ngẫu nhiên 𝑈𝑖 là giống nhau cho tất cả các giá trị của biến độc lập
B. Các sai số ngẫu nhiên 𝑈𝑖 tuân theo phân phối chuẩn.
C. Kỳ vọng của các sai số ngẫu nhiên 𝐸(𝑈𝑖)= 1 (=0)
D. Các sai số ngẫu nhiên 𝑈𝑖 là độc lập với nhau
Câu 27: Xét mô hình 𝑾𝑨𝑮𝑬 = 𝜷𝟏+ 𝜷𝟐𝑨𝑮𝑬 + 𝑼, kết quả khảo sát một mẫu gồm 100 quan
sát có các giá trị trung bình của tiền lượng (WAGE) và tuổi (AGE) lần lượt là 70 và 30. Mô
hình hồi quy mẫu thu được có hệ số gốc là 2. Khi đó, xét một cá nhân 20 tuổi. Đối với cá
nhân này, mức lương trung bình được dự đoán từ mô hình hồi quy là:
A. Không thể dự đoán được B. 60 C. 50 D. 70
Câu 28: Xét mô hình hồi quy tuyến tính đơn biến 𝒀𝒊= 𝜷𝟏+ 𝜷𝟐𝑿𝒊+ 𝑼𝒊. Gỉa sử giá trị 𝑹𝟐
của mô hình hồi quy ước lượng đúng bằng 1. Điều nào sau đây là đúng?
(i) Tất cả các điểm dữ liệu phải nằm hết trên 1 đường thẳng.
(ii) Tất cả các sai số ước lượng đều phải bằng 0.
(iii) Tất cả sự biến động so với trung bình của Y đều được giải thích bằng mô hình.
(iv) Đường hồi quy ước lượng là đường thẳng nằm ngang.
A. Không thể được xác định từ thông tin được cung cấp
B. Chỉ có (i) và (iii) đúng
C. Chỉ có (ii) và (iv) đúng
D. Chỉ có (i), (ii) và (iii) đúng
Câu 29: Kết quả ước lượng của một quyển sách (Y, đơn vị đôla) theo số trang của quyển
sách đó (X, trang) như sau:
Trong số các khẳng định sau, có bao nhiêu khẳng định đúng?
(i) Số trang sách trung bình của quyển sách đó xấp xỉ 601 trang.
(ii) Tổng bình phương phần dư, RSS, có giá trị bằng 4.903075
(iii) Hai biến X và Y có tương quan nghịch biến.
(iv) Số trang sách giải thích được 56.3% cho tổng biến thiên trong giá bán của một quyển sách. A. 1 B. 2 C. 3 D. 4
Câu 30: Kết quả ước lượng của một quyển sách (Y, đơn vị đôla) theo số trang của quyển
sách đó (X, trang) như sau:
Trong các khẳng định sau, có bao nhiêu khẳng định đúng?
(i) Trung bình của X bằng 500
(ii) Khoảng ước lượng với độ tin cậy 95% cho hệ số góc là (-0.0001; 0.0199)
(iii) Hai biến X và Y có tương quan đồng biến A. 0 B. 1 C. 2 D. 3
TỰ LUẬN
Câu 1: Một bài toán có kết quả hồi quy như sau: price:
Giá trị ước tính (triệu VND) total_area: Tổng diện tích sàn (m2) duration:
Thời gian sinh sống (năm)
no_of_bedroom: Số lượng phòng ngủ
no_of_bathroom: Số lượng phòng tắm travel_time: Thời gian đi làm (phút) distance:
Khoảng cách từ nhà đến trung tâm thành phố - CBD (km) popu_density:
Mật độ dân số khu vực (người/km2) Giá trị tra bảng 𝑡0. 025
102 = 1.983; 𝐹0.05;7;102 = 2.100; 𝐹0.05;4;102 = 2.460
a) Với mức ý nghĩa 5% bạn hãy kiểm định tính có ý nghĩa của từng biến giải thích.
Cặp giả thuyết: 𝐻0: 𝛽𝑖= 0; 𝐻1: 𝛽𝑖≠ 0 - Bi
ến total_area: 𝑡𝑡𝑜𝑡𝑎𝑙_𝑎𝑟𝑒𝑎 =𝛽𝑡𝑜𝑡𝑎𝑙_𝑎𝑟𝑒𝑎)=26.9925.765 = 4.682
𝑆𝑒(𝛽𝑡𝑜𝑡𝑎𝑙_𝑎𝑟𝑒𝑎 |𝑡 ỏ ả ế
ến total_area có ý nghĩa thố
𝑡𝑜𝑡𝑎𝑙_𝑎𝑟𝑒𝑎|> 𝑡0.025
102 => Bác b gi thuy t H0 => Bi ng kê. - Bi
ến duration: 𝑡𝑑𝑢𝑟𝑎𝑡𝑖𝑜𝑛 =𝛽𝑑𝑢𝑟𝑎𝑡𝑖𝑜𝑛 )=129.802 38.455 = 3.375
𝑆𝑒(𝛽𝑑𝑢𝑟𝑎𝑡𝑖𝑜𝑛
|𝑡𝑑𝑢𝑟𝑎𝑡𝑖𝑜𝑛|> 𝑡0.025
102 => Bác bỏ giả thuyết H0 => Biến duration có ý nghĩa thống kê. - Bi
ến no_of_bedroom: 𝑡𝑛𝑜_𝑜𝑓_𝑏𝑒𝑑𝑟𝑜𝑜𝑚 =𝛽𝑛𝑜_𝑜𝑓_𝑏𝑒𝑑𝑟𝑜𝑜𝑚)=723.504368.484 = 1.963
𝑆𝑒(𝛽𝑛𝑜_𝑜𝑓_𝑏𝑒𝑑𝑟𝑜𝑜𝑚 |𝑡 ấ ậ ả
ết H0 => Biến no_of_bedroom không có ý nghĩa
𝑛𝑜_𝑜𝑓_𝑏𝑒𝑑𝑟𝑜𝑜𝑚|< 𝑡0.025 102 => Ch p nh n gi thuy thống kê. - Bi
ến no_of_bathroom: 𝑡𝑛𝑜_𝑜𝑓_𝑏𝑎𝑡ℎ𝑟𝑜𝑜𝑚 =𝛽𝑛𝑜_𝑜𝑓_𝑏𝑎𝑡ℎ𝑟𝑜𝑜𝑚)=166.382 381.748 = 0.436
𝑆𝑒(𝛽𝑛𝑜_𝑜𝑓_𝑏𝑎𝑡ℎ𝑟𝑜𝑜𝑚
|𝑡𝑛𝑜_𝑜𝑓_𝑏𝑎𝑡ℎ𝑟𝑜𝑜𝑚|< 𝑡0.025
102 => Chấp nhận giả thuyết H0 => Biến no_of_bathroom không có ý nghĩa thống kê. - Bi
ến travel_time: 𝑡𝑡𝑟𝑎𝑣𝑒𝑙_𝑡𝑖𝑚𝑒 =𝛽𝑡𝑟𝑎𝑣𝑒𝑙_𝑡𝑖𝑚𝑒)=−26.06523.992 𝑆𝑒(𝛽 = −1.0864
𝑡𝑟𝑎𝑣𝑒𝑙_𝑡𝑖𝑚𝑒 |𝑡 ấ ậ ả
ết H0 => Biến travel_time không có ý nghĩa thống
𝑡𝑟𝑎𝑣𝑒𝑙_𝑡𝑖𝑚𝑒|< 𝑡0.025 102 => Ch p nh n gi thuy kê. - Bi
ến distance: 𝑡𝑑𝑖𝑠𝑡𝑎𝑛𝑐𝑒 =𝛽𝑑𝑖𝑠𝑡𝑎𝑛𝑐𝑒 )=−55.944 44.047 = −1.2701
𝑆𝑒(𝛽𝑑𝑖𝑠𝑡𝑎𝑛𝑐𝑒
|𝑡𝑑𝑖𝑠𝑡𝑎𝑛𝑐𝑒|< 𝑡0.025
102 => Chấp nhận giả thuyết H0 => Biến distance không có ý nghĩa thống kê. - Bi
ến popu_density: 𝑡𝑝𝑜𝑝𝑢_𝑑𝑒𝑛𝑠𝑖𝑡𝑦 =𝛽𝑝𝑜𝑝𝑢_𝑑𝑒𝑛𝑠𝑖𝑡𝑦)=0.008 0.015 = 0.533
𝑆𝑒(𝛽𝑝𝑜𝑝𝑢_𝑑𝑒𝑛𝑠𝑖𝑡𝑦 |𝑡 ấ ậ ả ế
ến popu_density không có ý nghĩa
𝑝𝑜𝑝𝑢_𝑑𝑒𝑛𝑠𝑖𝑡𝑦|< 𝑡0.025
102 => Ch p nh n gi thuy t H0 => Bi thống kê. - Bi
ến tự do (_cons): 𝑡_𝑐𝑜𝑛𝑠 =𝛽_𝑐𝑜𝑛𝑠 )=−1438.496 1294.727 = −1.111 𝑆𝑒(𝛽_𝑐𝑜𝑛𝑠
|𝑡_𝑐𝑜𝑛𝑠|< 𝑡0.025
102 => Chấp nhận giả thuyết H0 => Biến tự do không có ý nghĩa thống kê.
b) Hãy kiểm định sự phù hợp của mô hình với mức ý nghĩa 5%
Cặp giả thuyết: 𝐻0: 𝑅2= 0; 𝐻1:𝑅2≠ 0
𝐹(7,182)< 𝐹0.05;7;102 => Bác bỏ giả thuyết H0
Vậy, tại mức ý nghĩa 5%, hàm hồi quy không phù hợp.
c) Có ý kiến cho rằng các biến No_of_bathroom; Travel_time; Distance; Popu_density có
thể bị loại khỏi mô hình với mức ý nghĩa 5%. Bạn hãy xây dựng giả thiết và kiểm định ý kiến này. Cặp giả thuyết:
H0: Các biến no_of_bathroom, travel_time, distance, popu_density không ảnh hưởng đáng kể đến mô hình.
H1: Có ít nhất một biến có ảnh hưởng đáng kể đến biến phụ thuộc. Kiểm định:
Chạy hồi quy bằng Stata với mô hình rút gọn (loại bỏ các biến no_of_bathroom, travel_time,
distance, popu_density). Ta có được các giá trị 𝑅2, 𝑅2 mới. Ta có thể so sánh hai mô hình bằng
cách so sánh giá trị 𝑅2: + Nếu 𝑅2
tăng, mô hình mới giải thích biến động của biến phụ thuộc tốt hơn mô hình cũ. Ta có
thể loại bỏ đồng thời các biến no_of_bathroom, travel_time, distance, popu_density.
+ Nếu 𝑅2 giảm, mô hình mới giải thích kém hơn mô hình cũ. Ta không nên loại bỏ đồng thời các
biến no_of_bathroom, travel_time, distance, popu_density.
d) Giải thích ý nghĩa của R-squared.
Chỉ số R-squared cho biết phần trăm biến động của biến phụ thuộc được giải thích bởi các biến độc lập trong mô hình.
ESS: tổng bình phương được giải thích bởi mô hình, chỉ ra mức độ biến thiên của biến phụ
thuộc được mô hình giải thích.
RSS: tổng bình phương sai lệch còn lại sau khi đã tính đến ảnh hưởng của các biến độc lập,
chỉ ra mức độ biến thiên không được giải thích bởi mô hình.
TSS: Tổng bình phương sai lệch toàn bộ, bao gồm cả phần được giải thích và phần không được giải thích.
df (Degrees of freedom): Bậc tự do.
Model df: Số biến độc lập trong mô hình (không tính hằng số).
Residual df: n - k - 1, với n là số quan sát và k là số biến độc lập.
Total df: n - 1.
MS (Mean Square): Bình phương trung bình. Được tính bằng SS chia cho df.
Model MS: Đo lường sự biến thiên được giải thích trên mỗi bậc tự do của mô hình.
Residual MS: Đo lường sự biến thiên không được giải thích trên mỗi bậc tự do của phần dư.
F(df1, df2): Thống kê F. So sánh phương sai của mô hình với phương sai của phần dư. Được
dùng để kiểm định ý nghĩa tổng thể của mô hình.
Prob > F: Giá trị p (p-value) tương ứng với thống kê F. Nếu p-value nhỏ hơn mức ý nghĩa
(thường là 0.05), ta bác bỏ giả thuyết không rằng tất cả các hệ số hồi quy đều bằng 0 (mô hình có ý nghĩa thống kê).
Coefficient: Hệ số hồi quy ước lượng. Chỉ ra ảnh hưởng của biến độc lập đến biến phụ thuộc.
Nếu hệ số dương, biến độc lập có mối quan hệ thuận với biến phụ thuộc, và ngược lại.
Std. Err.: Sai số chuẩn của hệ số hồi quy. Đo lường độ chính xác của ước lượng hệ số. Sai số
chuẩn càng nhỏ, ước lượng càng chính xác.
t: Thống kê t. Được dùng để kiểm định ý nghĩa thống kê của từng hệ số hồi quy. Được tính
bằng Coefficient / Std. Err..
P>|t|: Giá trị p (p-value) tương ứng với thống kê t. Nếu p-value nhỏ hơn mức ý nghĩa (thường
là 0.05), ta bác bỏ giả thuyết không rằng hệ số hồi quy bằng 0 (biến độc lập có ảnh hưởng đáng
kể đến biến phụ thuộc).
[95% Conf. Interval]: Khoảng tin cậy 95% cho hệ số hồi quy. Khoảng này cho biết khoảng
giá trị mà hệ số hồi quy thực sự có thể nằm trong đó với xác suất 95%.
Câu 2: Một nhóm sinh viên tại trường A muốn tìm hiểu về những yếu tố có thể ảnh hưởng
đến khối điểm khi ra trường. Tuy nhiên nếu chỉ liệt kê các biến có thể ảnh hưởng đến mức
lương, điều này sẽ gây ra một sự tranh cãi lớn vì sẽ không ai biết mình ĐÚNG hay SAI,
theo bạn đề này bạn sẽ làm gì?
Đầu tiên, mô hình được chọn phải là mô hình đảm bảo tính tiết kiệm, tính đồng nhất, tính thích
hợp (có R2 hoặc R2 cao), tính vững về mặt lý thuyết và có khả năng dự báo.
Để giải quyết các tranh cãi đúng hay sai giữa nhóm sinh viên, ta có thể chạy hồi quy mô hình
trên bằng phần mềm Stata để kiểm định các giả thuyết đánh giá mô hình.
+ Kiểm định độ phù hợp của các hệ số hồi quy (kiểm định t): xem xét các biến độc lập trong mô
hình có ý nghĩa thống kê hay không. Từ đó giải thích tác động của biến độc lập đến biến phụ
thuộc đối với các biến có ý nghĩa thống kê, và đưa ra lời khuyên bỏ hoặc bỏ đồng thời các biến
không có ý nghĩa thống kê.
+ Kiểm định độ phù hợp của mô hình (kiểm định F, xem xét giá trị R-squared, Adj R-squared):
xem xét mô hình này có ý nghĩa thống kê tổng thể, có phù hợp hay không; đo lường phần trăm
biến động của biến phụ thuộc được giải thích bởi mô hình.
Tránh để mô hình mắc phải các loại sai lầm chỉ định, vi phạm giả thuyết OLS như:
+ Bỏ sót biến thích hợp (thiếu biến) hay đưa vào những biến không thích hợp (thừa biến): sử
dụng kiểm định Ramsey với sự hỗ trợ của phần mềm Stata.
+ Kiểm định đa cộng tuyến, phương sai sai số thay đổi, sai số ngẫu nhiên không tuân theo phân phối chuẩn.
Câu 3: Sử dụng số liệu của 190 doanh nghiệp thương mại năm 2016 được kết quả ước lượng sau:
NS = 8.47 + 0.02K - 12.40L + e Se (7.32) (0.001) (1.96)
R² = 0.817; F - statistic = 425.5; n = 190
Trong đó NS là năng suất lao động trung bình, K là tài sản vốn, L là số lao động của doanh nghiệp.
a) Nêu ý nghĩa của các hệ số ước lượng được
- Biến K: Khi K tăng 1 đơn vị, các yếu tố khác không đổi thì NS tăng 0.02 đơn vị.
- Biến L: Khi L tăng 1 đơn vị, các yếu tố khác không đổi thì NS giảm 12.4 đơn vị.
- Khi các biến khác bằng 0, NS bằng 8.47 đơn vị.
b) Tìm khoảng tin cậy 90% cho các tham số của mô hình hồi quy Giá trị 𝑡0. 05 187 = 𝑍(0.05)= 1.645
- Khoảng tin cậy 90% của biến K: (𝛽𝐾
± 𝑡𝛼𝑛−𝑘 ∗𝑆𝑒(𝛽𝐾)) =(0.02 ± 1.645 ∗ 0.001) 2 ⇒ (0.018; 0.022)
- Khoảng tin cậy 90% của biến L: (𝛽𝐿± 𝑡𝛼𝑛−𝑘 ∗𝑆𝑒(𝛽𝐿)) =(−12.4 ± 1.645 ∗ 1.96) 2 ⇒ (−15.624; −9.176)
- Khoảng tin cậy 90% của biến tự do: (𝛽𝑐𝑜𝑛𝑠
± 𝑡𝛼𝑛−𝑘 ∗𝑆𝑒(𝛽𝑐𝑜𝑛𝑠
)) =(8.47 ± 1.645 ∗ 7.32) 2 ⇒ (−3.571;20.511)
c) Với mức ý nghĩa 5%, hãy cho biết: Số lao động có tác động đến năng suất trung bình của
doanh nghiệp hay không?
Để biết số lao động có tác động đến năng suất trung bình của doanh nghiệp không, ta tiến hành
kiểm định tính có ý nghĩa thống kê của biến L.
Cặp giả thuyết: 𝐻0: 𝛽𝐿= 0; 𝐻1: 𝛽𝐿≠ 0 𝑡 𝐿=𝛽𝐿 )=−12.4 1.96 𝑆𝑒(𝛽 = −6.327 𝐿 |𝑡𝐿|> 𝑡0. 025
187 = 1.96 => Bác bỏ giả thuyết H0 => Biến L có ý nghĩa thống kê.
Vậy số lao động có tác động đến năng suất trung bình của doanh nghiệp (không có bằng chứng
cho rằng số lao động không tác động đến năng suất trung bình của doanh nghiệp).
d) Với mức ý nghĩa 5%, hãy cho biết: Hàm hồi quy mẫu có phù hợp hay không?
Cặp giả thuyết: 𝐻0: 𝑅2= 0; 𝐻1:𝑅2≠ 0
𝐹𝛼𝑘−1;𝑛−𝑘 = 𝐹0.05 2;187 = 3.493
𝐹𝑠𝑡𝑎𝑡 =𝑅2(𝑛 − 𝑘)
(1 − 𝑅2)(𝑘 − 1) =425.5 𝐹
𝑘−1;𝑛−𝑘 => Bác bỏ giả thuyết H0 => Hàm hồi quy mẫu phù hợp. 𝑠𝑡𝑎𝑡 > 𝐹𝛼
e) Với mức ý nghĩa 5%, hãy cho biết: Khi vốn và lao động cùng tăng một đơn vị thì năng
suất lao động giảm hay không? Biết rằng hiệp phương sai giữa các hệ số của K và L bằng -0.003? Giá trị 𝑡0. 025 187 = 𝑍(0.025)= 1.960
Cặp giả thuyết: 𝐻0: 𝐾 + 𝐿 ≤ 0; 𝐻1:𝐾 + 𝐿 > 0 𝑆𝑒(𝛽𝐾
+ 𝛽𝐿)=√𝑉𝑎𝑟(𝛽𝐾)+ 𝑉𝑎𝑟(𝛽𝐿)+ 2𝐶𝑜𝑣(𝛽𝐾 , 𝛽𝐿
)=√0.001 + 1.96 + 2 ∗ (−0.003) = 1.398
𝑡 = 𝛽𝐾+ 𝛽𝐿)=0.001 + 1.96 1.398 = 1.403 𝑆𝑒(𝛽𝐾 + 𝛽𝐿 |𝑡|< 𝑡0.025
187 => Chấp nhận giả thuyết H0 => Có bằng chứng cho thấy khi vốn và lao động cùng
tăng một đơn vị thì năng suất lao động giảm.
f) Có ý kiến cho rằng: Năng suất lao động còn phụ thuộc vào môi trường làm việc có thân
thiện hay không? Để đem biến môi trường làm việc vào mô hình, chúng ta có các cách nào
để đem biến đó vào mô hình?
Nếu năng suất lao động phụ thuộc vào môi trường làm việc, ta có thêm biến này bằng nhiều cách dưới dạng:
+ Biến giả: Nếu môi trường làm việc được phân loại (ví dụ: thân thiện/không thân thiện), ta có
thể tạo biến giả (= 1 nếu môi trường thân thiện, = 0 nếu môi trường không thân thiện).
+ Biến liên tục: Nếu môi trường làm việc được đo lường bằng thang điểm, ta có thể sử dụng biến liên tục.
Tạo mô hình mới bao gồm biến môi trường làm việc và chạy hồi quy bằng phần mềm Stata. Ta
thu được giá trị F-stat, R-squared, Adj R-squared mới.
Ta có thể so sánh giá trị Adj R-squared giữa mô hình cũ và mới để chọn mô hình phù hợp:
+ Nếu Adj R-squared tăng, mô hình mới giải thích biến động của biến phụ thuộc tốt hơn mô hình
cũ. Có thể đưa ra kết luận rằng môi trường làm việc có tác động đến năng suất lao động.
+ Nếu Adj R-squared giảm, mô hình mới giải thích kém hơn mô hình cũ. Có thể đưa ra kết luận
rằng môi trường làm việc không có tác động đáng kể đến năng suất lao động.
Câu 4: Câu hỏi về các yếu tố ảnh hưởng đến quyết định mua hàng ở một trang thương mại
điện tử thì biến phụ thuộc và các biến độc lập được lựa chọn là gì? Mô hình kinh tế lượng
được sử dụng? Các bài toán kinh tế lượng và kiểm định phù hợp với môn Kinh tế lượng là gì?
Biến phụ thuộc: purchase_decision: quyết định mua hàng, là biến nhị phân, = 1 nếu người dùng
quyết định mua, = 0 nếu người dùng không mua.
Biến độc lập có thể là:
+ Income: Thu nhập của người dùng (USD/tháng).
+ Age: Tuổi của người dùng.
+ Gender: Giới tính của người dùng (= 1 nếu là nam, = 0 nếu là nữ).
+ Price: Giá của sản phẩm (USD).
+ Review: Số lượng và chất lượng đánh giá của khách hàng (thang điểm từ 1 đến 5).
𝑝𝑢𝑟𝑐ℎ𝑎𝑠𝑒𝑑𝑒𝑐𝑖𝑠𝑖𝑜𝑛 = 𝑓(𝑖𝑛𝑐𝑜𝑚𝑒, 𝑎𝑔𝑒, 𝑔𝑒𝑛𝑑𝑒𝑟, 𝑝𝑟𝑖𝑐𝑒, 𝑟𝑒𝑣𝑖𝑒𝑤)