



















Preview text:
lOMoAR cPSD| 58950985
Đề tài: ” Tìm hiểu về Doanh nghiệp Coca Cola và ngành công nghiệp nước giải
khát. Phân tích chuỗi cung ứng toàn cầu của ngành và doanh nghiệp. Định vị
doanh nghiệp trong chuỗi cung ứng toàn cầu đó .”
Lớp tín chỉ: TMKD1123(123)_01
GVHD: Ths. Bùi Thị Lành
Nhóm thực hiện: 10
Các thành viên: 1. Trần Khánh Ly – 11216895
2 . Đinh Trọng Nhân – 11216895
3 . Đào Thị Phương Thảo – 11206902
4 . Nguyễn Thị Hồng Vân – 11208421
5 . Bùi Thọ Hưng – 11216872
6 . Lê Quốc Dương – 11217516 lOMoAR cPSD| 58950985 Mục lục
Mở đầu .......................................................................................................................................................... 2
Nội dung ....................................................................................................................................................... 2
1.Tổng quan chung về ngành CN nước giải khát ...................................................................................... 2
1.1. Khái niệm về nước giải khát .......................................................................................................... 2
1.2 Ngành công nghiệp nước giải khát .................................................................................................. 3
1.3 Lịch sử hình thành và phát triển ...................................................................................................... 3
1.4 Xu hướng phát triển của ngành công nghiệp nước giải khát ........................................................... 4
2.Chuỗi cung ứng toàn cầu của ngành CN nước giải khát ........................................................................ 5
2.1. Thực trạng tiêu dùng của ngành ..................................................................................................... 5
2.2. Các giai đoạn trong chuỗi cung ứng quốc tế ngành nước giải khát ............................................... 8
3. Coca-Cola và vị trí chuỗi cung ứng toàn cầu ...................................................................................... 10
3.1. Tổng quan về Coca Cola .............................................................................................................. 10
3.1.1. Sơ lược về lịch sử hình thành ................................................................................................ 10
3.1.2. Tập đoàn Coca-Cola: ............................................................................................................ 10
3.2. Hệ thống Logistics của Coca-cola: .............................................................................................. 16
3.3. Quy trình làm việc trong hệ thống Logistics của Coca-cola: ....................................................... 17
3.4. Chuỗi cung ứng của Coca-cola: ................................................................................................... 19
3.4.1. Mô hình chuỗi cung ứng: ...................................................................................................... 19
3.4.2. Chuỗi giá trị của Coca-Cola: ................................................................................................. 23
3.4.3. Vai trò của các thành viên trong chuỗi: ................................................................................. 27
3.5. Chiến lược phân phối của Coca-Cola: ........................................................................................ 30
3.5.1. Phân phối trực tiếp đến người tiêu dùng: .............................................................................. 30
3.5.2. Phân phối đến các doanh nghiệp bán lẻ: ............................................................................... 31
3.5.3. Phân phối đến siêu thị, đại lý: ............................................................................................... 31
3.5.4. Phân phối cho Key Account (địa điểm bán hàng còn lại): .................................................... 31
4. Phân tích ma trận SWOT để đánh giá vị trí của CoCa- Cola trong chuỗi cung ứng toàn cầu: ........... 35
4.1. Phân tích Coca-Cola trong chuỗi cung ứng theo mô hình SWOT: .............................................. 35
4.2. Đánh giá vị trí của Coca-cola trong chuỗi cung ứng toàn cầu: .................................................... 41
Kết luận ....................................................................................................................................................... 44 lOMoAR cPSD| 58950985
Tài liệu tham khảo ...................................................................................................................................... 45 Mở đầu
Chuỗi cung ứng là một bộ phận quan trọng trong hoạt động sản xuất kinh doanh của một
doanh nghiệp và luôn nhận được sự quan tâm của các cấp lãnh đạo. Bên cạnh đó, lý thuyết
về chuỗi cung ứng đã được áp dụng và đem lại thành công ở một số doanh nghiệp tại Việt
Nam. Tuy nhiên, nhiều doanh nghiệp vẫn chưa hiểu rõ về hoạt động của chuỗi cung ứng,
thường có sự nhầm lẫn chuỗi cung ứng với chuỗi phân phối hay logistic. Điều này dẫn đến
sự quan tâm và đầu tư chưa đúng mức dành cho hoạt động của chuỗi cung ứng, áp dụng
các lý thuyết chuỗi cung ứng còn sơ sài, chưa triệt để, … dẫn đến hoạt động chuỗi cung
ứng còn rời rạc, đơn lẻ, thiếu gắn kết với các bộ phận khác và không thực sự đem lại hiệu quả cao cho doanh nghiệp.
Với thực trạng như trên, chuỗi cung ứng ngày càng khẳng định rõ hơn vai trò quan trọng
của mình. Giờ đây trong quá trình hội nhập, toàn cầu hóa nền kinh tế thế giới và cạnh tranh
ngày càng khốc liệt để cạnh tranh thành công trong môi trường biến động như vậy đòi hỏi
các doanh nghiệp phải tham gia công việc kinh doanh của nhà cung cấp cũng như khách
hàng của họ bằng việc xây dựng riêng cho mình một chuỗi cung ứng hoàn chỉnh. Phát triển
chuỗi cung ứng hoàn chỉnh sẽ tạo ra nền tảng cho doanh nghiệp tiết kiệm chi phí không
cần thiết, nâng cao giá trị gia tăng cho sản phẩm, tăng sức cạnh tranh cho sản phẩm với đối
thủ. Điều này, đòi hỏi doanh nghiệp phải quan tâm sâu sắc đến toàn bộ dòng dịch chuyển
nguyên vật liệu cách thức thiết kế, đóng gói sản phẩm, dịch vụ của nhà cung cấp cũng như
cách thức vận chuyển bảo quản sản phẩm hoàn thiện. Sự thành công của doanh nghiệp trên
thị trường chính là nhờ có một chuỗi cung ứng hoạt động hiệu quả, nó đến từ vị trí và vai
trò chủ chốt của các thành viên trong chuỗi cung ứng đó.
Để cùng làm sáng tỏ nội dung này, nhóm chúng em đã tìm hiểu, phân tích về chuỗi cung
ứng toàn cầu của ngành nước giải khát nói chung, và của doanh nghiệp Coca - Cola nói riêng. Nội dung
1.Tổng quan chung về ngành CN nước giải khát
1.1. Khái niệm về nước giải khát
Nước giải khát là một loại thức uống được sử dụng để làm dịu cảm giác khát và cung cấp
nước cho cơ thể. Nó có thể có các thành phần khác nhau như nước, đường, chất điện giải,
hương liệu, và có thể có gas (nước có ga) hoặc không gas (nước không ga). Nước giải khát lOMoAR cPSD| 58950985
có gas (còn gọi là nước ngọt có gas hay nước ngọt) là một loại thức uống thường chứa
nước carbon dioxide bão hòa, chất làm ngọt, và thường có thêm hương liệu. Chất làm ngọt
có thể là đường, Si Rô bắp high-gluctose, chất làm ngọt thay thế thường thấy trong các loại
sản phẩm đề là "không đường".
Có thể nói, khái niệm nước giải khát xuất hiện lần đầu tiên từ thế kỷ 17, thế nhưng phải
đến những năm 1880 thì thị trường nước giải khát mới tràn ngập các loại nước có nhãn hiệu như bây giờ.
1.2 Ngành công nghiệp nước giải khát
Ngành công nghiệp nước giải khát là một ngành sản xuất, tiếp thị và phân phối đồ uống
làm từ nước không cồn. Những đồ uống này thường có ga, có hương vị và chất tạo ngọt.
Ngành công nghiệp này là lĩnh vực lớn nhất trong ngành công nghiệp không cồn.
Ngành FMCG là viết tắt của cụm từ Fast Moving Consumer Goods là ngành hàng tiêu
dùng nhanh, bao gồm các sản phẩm có vòng đời ngắn, biên lợi nhuận tương đối nhỏ, nhưng
chúng thường được bán với số lượng lớn, tỉ lệ mua lại cao, do đó lợi nhuận tích lũy trên
các sản phẩm đó khá đáng nể.Nước giải khát là một mặt hàng thuộc nhóm ngành FMCG,
nó có sức tiêu thụ lớn nằm trong top những mặt hàng có sản lượng bán ra nhiều nhất nhóm ngành này.
1.3 Lịch sử hình thành và phát triển
Lịch sử hình thành và phát triển của ngành công nghiệp nước giải khát có thể bắt nguồn từ
loại nước khoáng được tìm thấy trong các dòng suối tự nhiên. Các nhà khoa học phát hiện
ra Carbon dioxide (CO2) có trong các bọt nước khoáng thiên nhiên.
Vào thế kỷ 17, loại nước giải khát không ga đầu tiên xuất hiện với thành phần pha
chế gồm nước lọc, chanh và một chút mật ong.
Năm 1676, Công ty Compagnie de Limonadiers tại Paris (Pháp) độc quyền bán các
loại nước chanh giải khát.
Đến năm 1767, tiến sĩ Joseph Priestley- một nhà hóa học người Anh đã pha chế
thành công loại nước giải khát có ga.
Năm 1810, bằng sáng chế Mỹ đầu tiên dành cho các loại máy sản xuất hàng loạt
nước khoáng nhân tạo được trao cho Simons và Rundell ở Charleston thuộc Nam Carolina (Mỹ).
Năm 1832 loại nước khoáng có ga mới trở nên phổ biến nhờ sự ra đời hàng loạt của
loại máy sản xuất nước có ga trên thị trường. lOMoAR cPSD| 58950985
Kể từ 1852, với việc nước gừng được tung ra thị trường, các sản phẩm có thương
hiệu đã xuất hiện và được cấp quyền kinh doanh.
Bắt đầu từ những năm 1880, thị trường nước giải khát tràn ngập các loại nước uống
có nhãn hiệu như Coca-Cola (1886), Pepsi-Cola (1898)
Năm 1892, William Painter - ông chủ cửa hàng bán máy móc tại Baltimore (Mỹ)
nhận bằng sáng chế ra loại nắp chai ngăn chặn bọt ga hữu hiệu nhất có tên gọi “Crown Cork Bottle Seal”.
Năm 1899, ý tưởng về loại máy thổi thủy tinh sản xuất tự động chai thủy tinh đã
được cấp bằng sáng chế. 4 năm sau đó, máy thổi thủy tinh đi vào hoạt động.
Đầu những năm 1920, máy bán nước giải khát tự động bắt đầu xuất hiện trên thị trường Mỹ.
Năm 1923, những lốc nước ngọt gồm 6 hộp carton được gọi là Hom Paks đầu tiên ra đời.
1.4 Xu hướng phát triển của ngành công nghiệp nước giải khát
Xu hướng phát triển của ngành công nghiệp nước giải khát hiện nay phản ánh sự thay đổi
trong sở thích và yêu cầu của người tiêu dùng, sự quan tâm đến sức khỏe, bền vững và
công nghệ. Vì vậy nên các doanh nghiệp sản xuất nước giải khát đã hướng tới một số các
xu hướng chung cụ thể như sau:
Sản phẩm tự nhiên và hữu cơ: Sự quan tâm đến các thành phần tự nhiên và hữu cơ đang
thúc đẩy sự phát triển của nước giải khát được làm từ nguyên liệu tự nhiên và không chứa hóa chất tổng hợp.
Nước giải khát có lợi cho sức khỏe: Người tiêu dùng đang chuyển hướng từ nước giải
khát có hại cho sức khỏe đến các loại nước giải khát có giá trị dinh dưỡng cao hơn. Vì vậy
các công ty nước giải khát đã sản xuất ra những sản phẩm bổ sung vitamin, khoáng chất
và chất chống oxi hóa và đang dần trở nên phổ biến.
Thiết kế sản phẩm và bao bì sáng tạo: Các nhà sản xuất nước giải khát đang đầu tư vào
thiết kế sản phẩm và bao bì sáng tạo để thu hút người tiêu dùng. Bao bì eco-friendly và
thân thiện với môi trường cũng đang được ưa chuộng.
Sản phẩm lành mạnh và ít đường: Xu hướng giảm đường trong nước giải khát đang gia
tăng do sự tăng cường nhận thức về tác động của đường đối với sức khỏe. Người tiêu dùng
đang tìm kiếm các sản phẩm nước giải khát có lượng đường ít hơn hoặc không đường. Vì
vậy các công ty nước giải khát ngày càng tập trung vào việc sản xuất sản phẩm ít đường lOMoAR cPSD| 58950985
và có lợi cho sức khỏe. Điều này bao gồm cả việc giảm lượng đường tổng hợp và sử dụng
các chất tạo ngọt tự nhiên hoặc thay thế đường.
Sản phẩm tùy chỉnh và cá nhân hóa: Các công ty nước giải khát cũng đang tìm cách
cung cấp sản phẩm tùy chỉnh cho người tiêu dùng thông qua các dịch vụ đặt hàng trực
tuyến và máy pha chế tự động.
Phát triển thị trường mới: Ngành công nghiệp nước giải khát đang tập trung vào việc mở
rộng thị trường đến các vùng đang phát triển và các thị trường mới. Điều này bao gồm cả
việc tìm cách phát triển sản phẩm phù hợp với văn hóa và khẩu vị địa phương.
Công nghệ sản xuất và phân phối: Các công ty nước giải khát đã áp dụng công nghệ tiên
tiến như tự động hóa và trí tuệ nhân tạo (AI) để nhằm tối ưu hóa quy trình sản xuất và phân
phối giúp một phần quan trọng trong việc tiết kiệm thời gian và chi phí của mình.
Bền vững và trách nhiệm xã hội: Các công ty nước giải khát đang thúc đẩy các sáng kiến
bền vững và trách nhiệm xã hội, bao gồm sử dụng bao bì tái chế, giảm lượng rác thải nhựa,
và hỗ trợ các dự án xã hội và môi trường.
Có thể thấy, xu hướng phát triển của ngành công nghiệp nước giải khát hiện nay tập trung
vào việc đáp ứng yêu cầu người tiêu dùng về sức khỏe, bền vững và cá nhân hóa, cùng với
sáng tạo trong sản phẩm và bao bì nhưng cũng không quên việc bảo vệ môi trường và trách nhiệm xã hội.
2.Chuỗi cung ứng toàn cầu của ngành CN nước giải khát
2.1. Thực trạng tiêu dùng của ngành
Nước giải khát có sức tiêu thụ lớn nằm trong top những mặt hàng có sản lượng bán ra nhiều
nhất nhóm ngành FMCG (nhóm hàng tiêu dùng nhanh). Trên thế giới, đây cũng là mặt
hàng được nhiều thương hiệu nổi tiếng đầu tư và tham gia nhất, tại nhiều quốc gia, đây là
mặt hàng có lượng người sử dụng bình quân/ ngày ở mức gần 50%. lOMoAR cPSD| 58950985
Hình 2.1. 10 thị trường hiện nay đang dẫn đầu trên thế giới về doanh số cũng như sản lượng tiêu thụ
Hình 1.1. Tiêu thụ đồ uống hàng năm trong một thập kỷ từ 2011 đến 2021
Từ hình trên ta thấy được rằng, đồ uống trong 10 năm qua, có sự tăng trưởng đều đặn
qua các năm trung bình khoảng 3%/ năm.
Tại Việt Nam, có những chủng loại sản phẩm nước giải khát chính là: Nước khoáng có
ga và không ga, nước tinh khiết, nước ngọt, nước tăng lực, trà uống liền và nước hoa quả các loại.
Theo thống kê thị trường đồ uống Việt Nam năm 2020: lOMoAR cPSD| 58950985
- 85% lượng sản xuất và tiêu thụ mỗi năm của thị trường nước giải khát Việt Nam là
tới từ nước ngọt, trà uống liền, nước ép hoa quả các loại, nước tăng lực… 15% còn
lại là do nước khoáng chiếm phần còn lại.
- Bình quân người Việt nam tiêu thụ mặt hàng nước giải khát trên 23 lít/ người/ năm
- 85% cũng là con số mà các doanh nghiệp nước giải khát đang nắm giữ tỷ lệ sản
xuất trong cả 1 ngành hàng bia rượu.
Nhìn chung, sản lượng tiêu thụ của ngành công nghiệp nước giải khát vẫn đang phát triển.
Dự kiến trong giai đoạn từ 2022 đến 2024, Mức độ tăng trưởng doanh số tiêu thụ của nước
giải khát có thể dao động trong khoảng từ 4.3% đến 4.8%. Việc mở cửa lại các hoạt động
ăn uống ngoài trời và trong nhà sau thời kỳ dịch, cùng với việc thúc đẩy mạnh mẽ thương
mại điện tử, đều sẽ trở thành những yếu tố thúc đẩy cho tăng trưởng doanh số trong ngành
nước giải khát. Thêm vào đó, người tiêu dùng có nhiều lựa chọn hơn trong việc chọn nước
giải khát. Ngoài nước ngọt truyền thống, có sự gia tăng của các loại nước giải khát không
có calo, nước trái cây tự nhiên, nước ép và nước có chức năng đặc biệt như nước tăng
cường năng lượng hay nước bổ sung vitamin.
Trong vài năm gần đây là sử dụng các loại nước ép trái cây và nước ép trái cây chứa sữa
để bổ sung dưỡng chất cho cơ thể. Theo khảo sát của công ty nghiên cứu thị trường W&S
về nhu cầu và thói quen sử dụng các loại nước trái cây đóng gói, có 62% người tiêu dùng
lựa chọn nước uống trái cây trong khi có 60% người tiêu dùng lựa chọn nước uống có ga.
Đáng chú ý hơn là hơn một nửa số người được khảo sát có thói quen sử dụng nước uống trái cây mỗi ngày.
Tuy nhiên, doanh thu trong ngành nước giải khát vẫn đến nhiều từ nước uống không cồn,
trong đó đồ uống có gas chiếm tỷ lệ rất nhiều. Bởi lẽ Cảm giác tươi mát và sảng khoái khi
sử dụng sản phẩm. Hơn thế nữa đồ uống có gas còn là lựa chọn thay thế cho đồ uống có
cồn. nó mang lại sự thú vị, tăng độ sảng khoái, thú vị mà không cần có tác động của cồn. lOMoAR cPSD| 58950985
2.2. Các giai đoạn trong chuỗi cung ứng quốc tế ngành nước giải khát
Các giai đoạn trong chuỗi cung ứng toàn cầu của ngành nước giải khát
- Khai thác nguyên liệu:
Nước: Nước được khai thác từ các nguồn tự nhiên như suối, ao, hồ, mạch nước hoặc từ
nguồn nước dưới lòng đất thông qua quá trình khoan giếng và lấy nước. Nước được xử lý
và làm sạch để đảm bảo an toàn và chất lượng trước khi sử dụng trong sản xuất nước giải khát.
Đường: Đường thường được sản xuất từ mía đường hoặc cây củ cải đường. Quá trình sản
xuất đường bao gồm thu hoạch và nghiền nát mía đường hoặc trích xuất nước từ cây đường,
sau đó tiến hành tinh chế và làm khô để thu được đường tinh khiết.
Chất điều chỉnh độ axit: Các chất điều chỉnh độ axit như axit citric, axit malic hoặc axit
phosphoric có thể được tổng hợp từ nguồn tự nhiên hoặc sản xuất theo quy trình hóa học.
Chất tạo màu: Chất tạo màu có thể được sản xuất từ các nguồn tự nhiên như cây cỏ, trái
cây hoặc hải sản, hoặc tổng hợp bằng cách sử dụng các chất hóa học phù hợp. lOMoAR cPSD| 58950985
Chất tạo hương: Chất tạo hương có thể được chiết xuất từ các nguồn tự nhiên như trái cây,
cây cỏ hoặc các loại gia vị. Ngoài ra, chất tạo hương cũng có thể được tổng hợp từ các hợp chất hóa học.
Chất bảo quản: Các chất bảo quản có thể là hợp chất tự nhiên hoặc hợp chất hóa học được
sản xuất để đảm bảo tính bền vững và an toàn của sản phẩm.
Chất điều chỉnh độ mặn: Các chất điều chỉnh độ mặn như muối natri và kali thường được
sản xuất từ quá trình raffinose hoặc công nghệ điện phân.
- Sản xuất và chế biến:
Sau khi thu thập nguyên liệu, giai đoạn tiếp theo là quá trình sản xuất và chế biến nước giải
khát. Các công ty sẽ sử dụng các quy trình công nghệ để tạo ra sản phẩm cuối cùng, bao
gồm việc lọc, tinh chế, pha trộn và đóng chai. Quá trình này đòi hỏi sự nghiêm ngặt về
quản lý chất lượng và tuân thủ các quy định về an toàn thực phẩm.
- Đóng gói và bao bì:
Sản phẩm cuối cùng được đưa vào trong chai hoặc lon. Các container được ngay lập tức
niêm phong chặt chẽ. Do nước ngọt thường được làm mát trong quá trình sản xuất, chúng
phải được đưa về nhiệt độ phòng trước khi ghi nhãn để ngăn chặn sự ngưng tụ gây hư hỏng
nhãn. Điều này thường được thực hiện bằng cách phun nước ấm lên container và làm khô
chúng. Nhãn sau đó được gắn lên với chai, cung cấp các thông tin về thương hiệu, thành
phần, thời hạn sử dụng, và cách sử dụng an toàn sản phẩm. Hầu hết nhãn được làm bằng
giấy mặc dù một số nhãn được làm bằng phim nhựa. Cuối cùng, các chai, lon nước ngọt sẽ
được đóng gói vào thùng carton hoặc khay và sau đó được vận chuyển đến các nhà phân phối.
- Vận chuyển và phân phối:
Ngành công nghiệp nước giải khát có những phương thức phân phối điển hình sau:
+ Nhà sản xuất phân phối trực tiếp đến người tiêu dùng
+ Nhà sản xuất phân phối đến nhà bán lẻ rồi đến người tiêu dùng
+ Nhà sản xuất đến nhà bán sỉ, sau đó đến các nhà bán lẻ rồi cuối cùng là người tiêu dùng
+ Nhà sản xuất đến các đại lí bán sỉ, sau đó đến nhà bán sỉ, rồi đến nhà bán lẻ và
cuối cùng là người tiêu dùng. lOMoAR cPSD| 58950985
Hầu hết những doanh nghiệp trong ngành công nghiệp nước giải khát sẽ lựa chọn một trong
số những cách phân phối trên hoặc cùng lúc áp dụng tất cả để tối ưu hoá mức độ phân phối
sản phẩm trong chuỗi cung ứng toàn cầu của mình. Mỗi một hãng sẽ có những chiến lược
phân phối riêng, Coca-Cola là một ví dụ điển hình của một mô hình chiến lược phân phối
thành công nhất thế giới trong ngành công nghiệp nước giải khát nói riêng.
- Tiếp thị và bán hàng:
Cuối cùng, sau khi sản phẩm đã đến được các điểm bán hàng, giai đoạn tiếp theo trong
chuỗi cung ứng là tiếp thị và bán hàng. Các công ty sử dụng các chiến lược tiếp thị và
quảng cáo để quảng bá sản phẩm, tạo nhận thức và tăng cường doanh số bán hàng. Tiếp thị
trực tuyến và quảng cáo trên mạng xã hội đã trở thành một phần quan trọng trong việc tiếp
cận khách hàng và tạo dựng hình ảnh thương hiệu.
3. Coca-Cola và vị trí chuỗi cung ứng toàn cầu
3.1. Tổng quan về Coca Cola
3.1.1. Sơ lược về lịch sử hình thành
Coca-Cola được phát minh bởi dược sĩ John Stith Pemberton, chủ một phòng thí nghiệm
và hiệu thuốc tư nhân. Ban đầu, Pemberton chỉ định sáng chế ra một loại thuốc bình dân
giúp chống đau đầu và mệt mỏi. Ông đã màu mò và thử nghiệm, pha chế thành công một
loại siro có màu đen như cà phê. Loại siro này trộn với nước lạnh sẽ có thể có được một
thứ nước giảm nhức đầu và tăng sảng khoái.
Vào năm 1886, lần đầu tiên Coca-Cola được giới thiệu đến công chúng đã thật sự thu hút
được sự chú ý của hầu hết những người thưởng thức bởi hương thơm và màu sắc hấp dẫn.
Coca-Cola là công ty sản xuất nước giải khát có gas số một thế giới. Ngày nay, tên nước
giải khát Coca-Cola gần như được coi là một biểu tượng của nước Mỹ. Công ty phấn đấu
làm “tươi mới” thị trường, làm phong phú nơi làm việc, bảo vệ môi trường và củng cố truyền thông công chúng.
Trên thế giới, Coca-Cola hoạt động tại 5 vùng: Bắc Mỹ, Mỹ Latinh, Châu Auu, Châu Á, Trung Đông và Châu Phi
Ở Châu Á, Coca-Cola hoạt động tại 6 khu vực: Trung Quốc, Ấn Độ, Nhật Bản, Philippine,
Nam Thái Bình Dương và Hàn Quốc, Khu vực phía Tây và Đông Nam Á.
3.1.2. Tập đoàn Coca-Cola:
Hiện nay, tập đoàn Coca-Cola hoạt động tại 200 quốc gia trên thế giới. Đặc biệt, sản phẩm
Coca-Cola được bán chạy hàng đầu và tất cả mọi người trên thế giới đều yêu thích nó. lOMoAR cPSD| 58950985
Theo thống kê, cứ một giây đồng hồ có tới 11.200 người trên khắp thế giới đang uống thứ
nước giải khát màu nâu này. Sau hơn 100 năm thành lập và phát triển, Coca-Cola đã có
hơn 500 nhãn hàng với hơn 3500 loại đồ uống khác nhau như nước có gas, nước trái cây,
nước tăng lực cho thể thao, nước suối, trà và một số loại khác.
- Loại hình: Công ty đại chúng
- Trụ sở: Atlanta, Georgia, Hoa Kỳ
- Ngành nghề: công ty đồ uống và là nhà sản xuất, bán lẻ, quảng bá các đồ uống và
siro không cồn đa quốc gia
a. Tầm nhìn và sứ mệnh của công ty Coca Cola: - Tầm nhìn:
"Tầm nhìn của chúng tôi phục vụ như là khuôn khổ. Lộ trình của chúng tôi và
hướng dẫn mọi khía cạnh của kinh doanh của chúng tôi bằng cách mô tả những gì chúng
tôi cần phải thực hiện để tiếp tục đạt được tăng trưởng bền vững, chất lượng.” - Sứ mệnh:
Với tầm nhìn của một nhãn hiệu lớn, Coca-Cola tiên phong tạo ra những sự thay đổi này.
Một phần của tuyên bố sứ mệnh của Thương hiệu 120 năm tuổi này là:
“Mang lại hạnh phúc cho thế giới và tạo sự khác biệt”.
“Chúng tôi tuyên bố mục đích của chúng tôi là một công ty phục vụ như là một tiêu
chuẩn cho chúng tôi cân nhắc hành động và quyết định của chúng tôi. Nó là nền tảng của
Tuyên ngôn của chúng tôi”.
b. Yếu tố nhận diện thương hiệu của Coca-Cola: - Tên thương hiệu:
Một trong những thương hiệu mạnh nhất thế giới, Coca-Cola được đặt tên từ lá coca và
hạt kola được dùng để tạo hương vị. Người tạo ra Coca-Cola John S. Pemberton đã đổi
chữ “K” trong kola thành chữ “C” để tạo nên cái tên hài hòa hơn. -
Biểu trưng (logo): Đơn giản và độc đáo. lOMoAR cPSD| 58950985
Có lẽ Coca-cola không còn xa lạ gì với mọi người. Với sự hình thành và phát triển hơn 100
năm. Coca-Cola hay còn gọi tắt là Coke, đã khẳng định được vị trí của mình trên toàn cầu.
Logo Coca-Cola giai đoạn 1950 trở đi chuyển từ màu đen sang màu chữ trắng trên nền đỏ.
Hai gam màu đỏ, trắng kết hợp mang đến sự vui tươi, sảng khoái. Màu đỏ thể hiện sự đam
mê, nhiệt huyết trong khi màu trắng thể hiện sự quyến rũ. Hai gam màu tương phản tạo sự
nổi bật. Tổng thể Coca-Cola logo khá đơn giản với font chữ uốn lượn, nhưng lại rực rỡ thu
hút với màu sắc và kích thích vị giác. Logo Coca-Cola được đồng bộ với màu thương hiệu
để dễ dàng đi vào tâm trí khách hàng. Song hành với vị đặc trưng của mình là những ý
tưởng design về Logo và về kiểu dáng chai của mình. Có rất nhiều người biết đến Coke là
ông vua quảng cáo. Với những ý tưởng cực kì thú vị, những designer của Coke đã mang
lại một nguồn thu cực lớn về cho công ty. Chúng ta cùng tham quan một chút về Logo của Coke. - Slogan:
Kể từ năm 1986, Coca-Cola đã ban hành hơn 45 khẩu hiệu chính thức. Khẩu hiệu đã được
sử dụng không chỉ để mô tả các đồ uống có ga mà còn phản ánh các xu hướng trong thời
gian họ sử dụng. Slogan hiện tại của Coca Cola là ‘Real Magic’, nhưng đây không phải là
tagline (khẩu hiệu) được sử dụng liên tục trong suốt những năm qua. Sau đây là một số
slogan nổi bật thương hiệu này đã sử dụng và phát triển qua các năm: -
1886 – Drink Coca-Cola and enjoy it. -
1905 – Coca-Cola revives and sustains. - 1941 – Coca-Cola is Coke! -
1942 – The only thing like Coca-Cola is Coca-Cola itself. -
1957 – The sign of good taste. -
1979 – Have a Coke and a smile (see also Hey Kid, Catch!) lOMoAR cPSD| 58950985 - 1980 – Coke is it! -
2001 – Life tastes good. (also used in the UK) -
2006 – The Coke Side of Life (also used in the UK) - 2016 – Taste The Feeling - 2023 – Real Magic
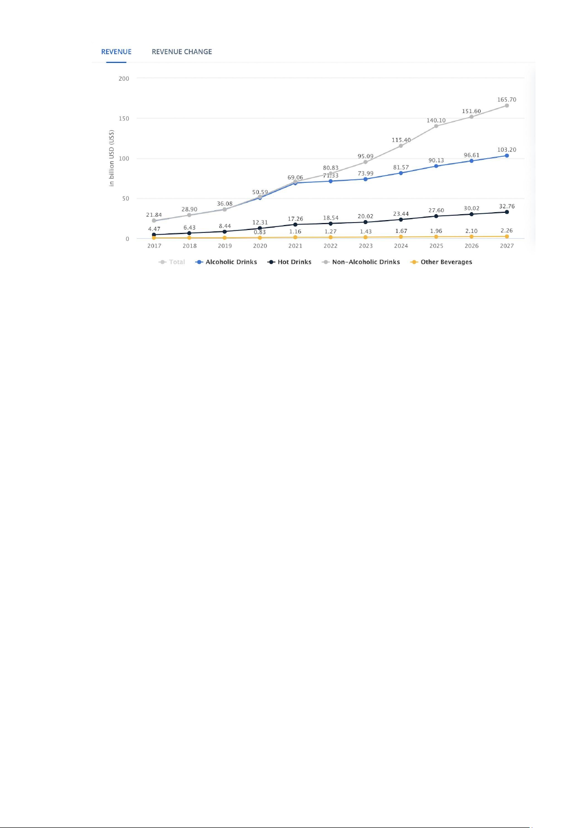
Thực trạng kinh doanh của Coca Cola
Công ty Coca-Cola đã báo cáo kết quả kinh doanh quý 4 và cả năm 2022 khả quan. James
Quincey, Chủ tịch kiêm Giám đốc điều hành của Công ty Coca-Cola cho biết: “Mặc dù
năm 2022 có nhiều thách thức nhưng chúng tôi tự hào về kết quả chung của mình trong
một môi trường hoạt động năng động”. “
Doanh thu trong quý 4/2022, doanh thu thuần rất cao, tăng 7% lên 10,1 tỷ USD. Doanh thu
năm 2022 là 43,004 tỷ USD, tăng 11,25% so với năm 2021. Doanh thu của Coca Cola
trong quý 2 kết thúc vào ngày 30 tháng 6 năm 2023 là 11,972 tỷ USD, tăng 5,71% so với cùng kỳ năm trước.
Giá trị bán lẻ trên mỗi phân khúc địa lý tính bằng đô la Mỹ (tỷ USD) lOMoAR cPSD| 58950985
Tỷ lệ phân bổ doanh thu của Coca Cola trên toàn thế giới năm 2021 theo phân khúc hoạt động
Tỷ lệ phân bổ doanh thu của Coca Cola trên toàn thế giới năm 2022 theo phân khúc hoạt động Nguồn: Marketsplash
Châu á Thái Bình Dương -
Doanh thu giảm 1% trong năm 2022, được thúc đẩy bởi sự tăng trưởng mạnh mẽ ở
ẤnĐộ và Việt Nam, được bù đắp nhiều hơn bởi sự sụt giảm ở Trung Quốc do các mức độ
hạn chế di chuyển liên quan đến đại dịch khác nhau.
Trong năm, công ty đã giành được thị phần giá trị trong tổng số đồ uống giải khát, dẫn đầu
là mức tăng thị phần ở Ấn Độ, Úc, Nhật Bản và Hàn Quốc. lOMoAR cPSD| 58950985 Bắc Mỹ
Thực tế là Bắc Mỹ vẫn chiếm tỷ trọng phân phối doanh thu lớn nhất của công ty CocaCola
vào năm 2022 (36,5 % tổng doanh thu trên toàn thế giới) nhưng cho thấy sự tăng trong tiêu
thụ nước giải khát với gần 2,5% so với thị phần 34,1% năm 2021.Công ty đã giành được
thị phần giá trị trong tổng số đồ uống, nhờ hiệu quả hoạt động mạnh mẽ ở các kênh bán tại
nhà với nước ngọt có ga, nước trái cây và nước ép trái cây cũng như đồ uống từ sữa.
Châu Âu, Trung Đông và Châu Phi -
Doanh thu giảm 1% năm 2022, mặc dù sự tăng trưởng mạnh mẽ ở Tây Âu nhưng
chưabù đắp được sự sụt giảm tiêu thụ ở Nga. -
Trong năm, công ty đã giành được thị phần giá trị trong tổng giá trị đồ uống giải
khát,dẫn đầu là thị phần tăng ở Pháp, Tây Ban Nha và Ba Lan. Mỹ La-tinh -
Doanh thu tăng 0,3% trong năm 2022, với mức tăng trưởng vững chắc trên hầu hết
cácdanh mục. Tăng trưởng được dẫn đầu bởi Brazil và Mexico. -
Trong năm, công ty đã mất thị phần giá trị trong tổng giá trị đồ uống giải khát, do
thịphần tăng ở Brazil và Argentina được bù đắp nhiều hơn bởi áp lực từ nước giải khát có ga ở Mexico. Đầu tư đóng chai -
Số lượng đơn vị bán tăng 1% trong quý 4/2022, nhờ sức mạnh ở Ấn Độ và Việt
Nam.Thu nhập hoạt động giảm 15% trong quý. Năm 2022, hoạt động đầu tư đạt 18,3% giảm so với 2021.
Liên doanh toàn cầu -
Doanh thu thuần giảm 5% và doanh thu hữu cơ tăng 8% trong quý 4/2022. Hiệu
suấtdoanh thu được hưởng lợi từ việc xoay vòng tác động của việc đóng cửa cửa hàng bán
lẻ Costa liên quan đến đại dịch ở Vương quốc Anh trong năm trước. Tuy nhiên, doanh thu
của khu vực này vẫn giảm từ 18,6% năm 2021 xuống còn 18,3% năm 2022. lOMoAR cPSD| 58950985
3.2. Hệ thống Logistics của Coca-cola:
-BIG, viết tắt của Bottling Investments Group, được tạo ra nhằm mục đích kết nối các hoạt động
cũng như tối ưu hóa tiềm lực của công ty tại nhiều khu vực khác nhau-
Về hệ thống vận tải và kho bãi, Coca-cola cũng đã tích hợp cho mình những công nghệ và
những phương pháp tiên tiến phù hợp với xu thế nhằm nâng cao hiệu quả trong công tác
phân phối và quản lý hàng hóa:
Công nghệ GPS: Công ty đã hợp tác với các nhà cung cấp hàng dầu về giải pháp hiển thị
thời gian thực để tích hợp thiết bị ghi nhật ký có bật định vị GPS vào các xe tải giao hàng.
Điều này giúp cho Coca-Cola quản lý hiệu quả hơn và có nguồn dữ liệu đáng tin cậy hơn
về các hoạt động vận tải của mình.
Công nghệ định tuyến: Còn gọi là công nghệ tối ưu hóa tuyến đường, dựa vào các dữ liệu
và quy định giao thông ở từng khu vực khác nhau để lập ra một kế hoạch vận chuyển hàng
hóa tinh vi và linh hoạt chỉ trong một thời gian ngắn. Giúp công ty tối ưu một lượng lớn
các tài nguyên cả về thời gian cũng như nhiên liệu.
Giao hàng trực tiếp đến cửa hàng (DSD): Do có các cơ sở hoạt động ở gần như mọi quốc
gia và vùng lãnh thổ, Coca-Cola đã phân phối trực tiếp các sản phẩm của mình đến các cửa
hàng bán lẻ cuối cùng mà không cần qua các đại lý phân phối khu vực. Điều này giúp tiết
kiệm chi phí, giúp sản phẩm luôn có sẵn trên kệ và giảm thiểu khả năng bị hư hỏng, vì
chúng ít bị các bên trung gian tiếp xúc.
Tự động hóa kho hàng: Coca-cola giống như nhiều ông lớn khác cũng sử dụng Hệ thống
Truy xuất và Lưu trữ Tự động (ASRS) ở nhiều nhà máy thuộc công ty. Bằng cách này, các
nhà máy được thiết kế để lưu trữ và tự động di chuyển gần 30.000 kệ kê hàng trong kho, lOMoAR cPSD| 58950985
giúp tăng gấp đôi năng lực lưu trữ của nhà máy và cho phép tất cả các sản phẩm sau khi
sản xuất được giao trực tiếp cho khách hàng.
Giám sát hiệu suất: Red Classic, một công ty con hoàn toàn thuộc sở hữu của Coca-Cola
đã phát triển một hệ thống mà ở đó Bộ phận Thực hiện Hoạt động và Bán hàng (S&OE)
hàng tuần sẽ triệu tập các nhóm tham gia đánh giá hiệu quả hoạt động trong quá khứ và
giải quyết các biến động về cung và cầu hàng tuần. Dựa vào công nghệ định tuyến cũng
như GPS, cung cấp cho công ty tất cả dữ liệu quan trọng nhằm theo dõi hiệu suất vận
chuyển và cải thiện hoạt động của công ty.
3.3. Quy trình làm việc trong hệ thống Logistics của Coca-cola:
- Công đoạn tiền sản xuất:
Trong khuôn khổ mua sắm thống nhất, Coca-cola phân chia cơ sở cung ứng gồm khoảng
15.000 tổ chức nhà cung cấp cấp công ty mẹ (16.876 mã nhà cung cấp) thành các nhà cung
cấp chi tiêu trực tiếp và gián tiếp:
Các nhà cung cấp chi tiêu trực tiếp: bao gồm các nhà cung cấp nguyên liệu và bao bì.
Các nhà cung cấp chi tiêu gián tiếp: bao gồm các hạng mục như CNTT, thiết bị sản
xuất, phụ tùng thay thế, dịch vụ bảo trì, đóng gói thứ cấp, nhà cung cấp dịch vụ hậu
cần, đội xe, dịch vụ tiện ích, bất động sản, quản lý cơ sở vật chất, dịch vụ tư vấn
chuyên môn và khác, nhân sự và lao động tạm thời.
- Công đoạn sản xuất:
Đầu tiên, mọi thứ xuất phát từ các nhà máy, 95% đồ uống của công ty được sản xuất tại
nơi mà chúng được bán. Công ty sẽ chỉ sản xuất Coca-cola dạng đặc, sau đó bán cho đến
các nhà máy đối tác của họ trên toàn cầu, phần nguyên liệu còn lại sẽ được tận dụng tối đa
từ nguồn cung ứng tại địa phương, giúp cho chuỗi cung ứng ngắn lại và nhanh hơn. Và
một khi nguyên liệu và các thành phần được đưa vào nhà máy, các loại thức uống có chất
lượng cao sẽ được sản xuất với số lượng lớn thông qua một trong những dây chuyền sản
xuất nhanh nhất thế giới của công ty.
Công ty cũng có đội ngũ nhân lực đông đảo tại các nhà máy hoạt động 24/7 nhằm giám sát
tất cả các hoạt động, đảm bảo rằng sau khi sản phẩm đã hoàn thiện, sẽ được đưa lên xe tải
và lên đường trong thời gian ngắn nhất lOMoAR cPSD| 58950985
Trong suốt quá trình sản xuất, tính bền vững và hiệu quả luôn được đặt lên hàng đầu. Tại
cơ sở sản xuất Wakefield ở Anh, Coca-cola mới đây đã giới thiệu một hệ thống nhiệt và
điện kết hợp mới, giúp tiết kiệm 1.500 tấn CO2 mỗi năm. Kiểu đổi mới này đã giúp công
ty giảm 23% lượng khí thải carbon trong hoạt động kể từ năm 2007.
- Công đoạn lưu kho và phân phối:
Các sản phẩm được sản xuất sau khi được sản xuất sẽ được đưa đến hệ thống kho của công
ty. Hệ thống kho của Coca-cola được thiết kế để giữ và tự động di chuyển các pallet chai
và lon, cho phép công ty phục vụ hiệu quả hơn nhu cầu của khách hàng cũng như tối đa
hóa không gian chở hàng được sử dụng trong xe tải. Hệ thống kho này cũng luôn được
công ty thử nghiệm những công nghệ và cải tiến mới như công nghệ đèn hiệu Bluetooth
và in 3D. Tất cả nhằm giúp cho sản phẩm đồ uống từ nhà máy có thể đến kệ siêu thị trong
48 giờ, thông qua hệ thống vận tải dày đặc và được tích hợp nhiều công nghệ thông minh của công ty.
- Công đoạn sau phân phối:
Sau khi sản phẩm được chuyển đến cửa hàng, công ty cũng có vai trò đảm bảo rằng các
chai sẽ được chuyển đến tủ lạnh của người mua hàng. Bộ phận tiếp thị của công ty có mối
quan hệ đặc biệt với các nhà bán lẻ để đảm bảo rằng việc bán hàng tại cửa hàng giúp sản
phẩm của Coca-Cola dễ dàng được tìm thấy.
Sản phẩm được tiêu thụ xong thì Coca-cola cũng có những chính sách thu hồi và tái chế
chai, lon để giảm thiểu tác động của sản phẩm đến môi trường, Coca-Cola cam kết đến
năm 2030, công ty sẽ thu gom và tái chế sản phẩm bán ra và đồng thời sử dụng 50% nguyên
liệu tái chế trong bao bì sản phẩm.
Từ đầu hành trình của mỗi chai khi nguyên liệu thô vào nhà máy, cho đến khi kết thúc
khi nó được làm lạnh trong tủ lạnh; sự hợp tác, tính bền vững, sự đổi mới và hiệu quả
là những yếu tố chính giúp hành trình từ nhà máy đến tủ lạnh đó trở nên liền mạch và thành công. lOMoAR cPSD| 58950985
3.4. Chuỗi cung ứng của Coca-cola:
3.4.1. Mô hình chuỗi cung ứng:
Quy trình chuỗi cung ứng của Coca Cola trên toàn cầu
Nhà cung cấp cấp 1 và cấp 2 -
Thành phần chính của Coca-Cola được cô đặc và siro. Các nhà cung cấp cấp 1 (được
gọi là nhà cung cấp bên thứ 3) chịu trách nhiệm cung cấp các thành phần này. Xi-rô
được làm từ caramel, axit photphoric, hương liệu tự nhiên, caffeine và carbon dioxide
cho quá trình thoát hơi. Các thành phần này được cung cấp bởi nhà cung cấp cấp 2
(nhà cung cấp bên thứ 3) của Coca-Cola, mặc dù Coca-Cola tạo ra hương vị riêng để tạo
sự khác biệt cho sản phẩm của họ nhưng Coca-Cola cũng nhập các thành phần sản xuất
khác như nước, đường từ địa điểm gần nhất hoặc từ công ty khác. -
Lá Coca và hạt Kola: Tận dụng nguồn cung nguyên liệu lá coca trải dài từ nhiều quốc
gia Nam Mỹ liên tục được thu mua và chế biến, lá coca trải qua quy trình phức tạp với
hiệu suất tốt nhằm đáp ứng nhu cầu tiêu thụ sản phẩm Cocacola từ khắp nơi trên thế
giới. Đồng thời là hạt Kola (quả của cây kola) là nguyên liệu tạo ra hương thơm cho
loại đồ uống này. Nguyên liệu này được cung cấp bởi Công ty Stepan, bang Illinois, Hoa Kỳ.