



















Preview text:
lOMoAR cPSD| 58950985 lOMoAR cPSD| 58950985 MỤC LỤC
Lời mở đầu ............................................................................................................................... 3
CHƯƠNG 1: TÌM HIỂU VỀ NGÀNH CÔNG NGHIỆP XE ĐIỆN (Ô TÔ ĐIỆN) ......... 4
1. Khái niệm xe ô tô điện: ................................................................................................... 4
2. Lợi ích khi sử dụng xe ô tô điện: ................................................................................... 5
3. Lịch sử phát triển ngành công nghiệp xe ô tô điện: ..................................................... 5
4. Sự phát triển của thị trường xe điện những năm gần đây:......................................... 6
CHƯƠNG 2: PHÂN TÍCH CHUỖI CUNG ỨNG TOÀN CẦU CỦA NGÀNH CÔNG . 7
NGHIỆP XE ĐIỆN ................................................................................................................. 7
1. Các tác nhân ảnh hưởng đến chuỗi cung ứng toàn cầu ngành xe điện: .................... 7
1.1. Nhóm nhân tố thị trường: ........................................................................................ 7
1.2. Nhóm nhân tố chi phí: .............................................................................................. 8
1.3. Nhóm nhân tố chính phủ: ........................................................................................ 8
1.4. Nhóm nhân tố cạnh tranh:....................................................................................... 9
2. Những đối tượng tham gia vào chuỗi: .......................................................................... 9
2.1. Nhà sản xuất: ............................................................................................................ 9
2.2. Nhà phân phối: ....................................................................................................... 10
2.3. Nhà bán lẻ: .............................................................................................................. 11
2.4. Khách hàng: ............................................................................................................ 11
2.5. Nhà cung cấp dịch vụ: ............................................................................................ 13
3. Cấu trúc chuỗi cung ứng xe điện toàn cầu: ................................................................ 13
CHƯƠNG 3: TÌM HIỂU VỀ HOẠT ĐỘNG KINH DOANH TOÀN CẦU CỦA ......... 14
VINFAST ............................................................................................................................... 14
1. Khái quát về chung về Vinfast: .................................................................................... 14
2. Lĩnh vực hoạt động chính: ........................................................................................... 15
3. Hoạt động sản xuất kinh doanh: ................................................................................. 16
3.1. Hoạt động kinh doanh của VinFast tại thị trường Việt Nam: ............................ 16
3.2. Hoạt động phân phối của chuỗi cung ứng toàn cầu Vinfast:.............................. 17
3.3. Chính sách của Vinfast: ......................................................................................... 18
3.4. Thị trường mục nổi bật hiện tại của Vinfast: ....................................................... 19
CHƯƠNG 4: PHÂN TÍCH CHUỖI CUNG ỨNG TOÀN CẦU CỦA VINFAST .......... 19
1. Quản trị hệ thống thông tin và các ứng dụng công nghệ: ......................................... 20
2. Quản trị nguồn hàng: ................................................................................................... 23 lOMoAR cPSD| 58950985
2.1. Nhà cung cấp nước ngoài: ..................................................................................... 23
2.2. Nhà cung cấp trong nước: ...................................................................................... 25
2.3 Market Channels: .................................................................................................... 26
3. Quản trị vận tải và kho bãi: ......................................................................................... 28
4. Quản trị tồn kho: .......................................................................................................... 28
5. Đánh giá quản lý chuỗi cung ứng của Vinfast: .......................................................... 29
5.1. Những thành tựu đạt được: ................................................................................... 29
5.2. Điều làm nên thành công của Vinfast: .................................................................. 29
5.3. Bài học rút ra: ......................................................................................................... 30
CHƯƠNG 5: ĐỊNH VỊ VINFAST TRONG CHUỖI CUNG ỨNG TOÀN CẦU CỦA 31
NGÀNH ................................................................................................................................. 31
1. Phân tích SWOT: .......................................................................................................... 32
1.1. Điểm mạnh: ............................................................................................................. 32
1.2. Điểm yếu: ................................................................................................................. 36
1.3. Cơ hội: ..................................................................................................................... 37
1.4. Thách thức: ............................................................................................................. 38
2. Giải pháp: ...................................................................................................................... 39
Kết luận .................................................................................................................................. 40
Tài liệu tham khảo ................................................................................................................ 41
Lời mở đầu
Bắt đầu từ thập niên 60, 70 của thế kỷ trước, thế giới phải đối mặt với hai vấn đề lớn
mang tính toàn cầu. Các nguồn năng lượng hóa thạch như dầu mỏ, than đá bắt đầu cạn kiệt.
Môi trường ngày càng ô nhiễm nghiêm trọng, trong đó nguồn phát thải lớn là từ các phương
tiện giao thông, đặc biệt là ô tô chạy bằng xăng. Tình trạng biến đổi khí hậu đã bắt đầu xảy ra
và ngày càng trở nên rõ rệt đang ảnh hưởng trực tiếp đến hệ sinh thái, tài nguyên môi trường,
cuộc sống của con người và nền kinh tế. Trong bối cảnh đó, để góp phần đảm bảo một môi
trường trong sạch hơn, ít khói bụi và giảm sự nóng lên của Trái Đất, xe điện được xem là giải
pháp tối ưu giúp giải quyết cả 2 vấn đề lớn trên. Đó là lý do khiến xe điện ngày càng được
quan tâm đặc biệt từ nửa sau thế kỉ 20 trở lại đây.
Nhận thấy một tiềm năng lớn trong việc nhu cầu sử dụng xe điện ngày một gia tăng,
vào năm 2017, Công ty trách nhiệm hữu hạn sản xuất và kinh doanh Vinfast đã được thành lập
và sau 5 năm xây dựng và phát triển, Vinfast đã đạt được những thành công đáng vượt trội
trong ngành kinh doanh xe điện và đã đem xe điện của Việt Nam ra tầm thế giới và đã nhận
được sự ủng hộ nhiệt tình từ người dân Việt Nam cả trong và ngoài nước. Tất cả thành công lOMoAR cPSD| 58950985
này đều có một sự đóng góp không nhỏ của chiến lược quản lý chuỗi cung ứng một hiệu quả
của Vinfast. Phân tích chuỗi cung ứng và các hoạt động trong quản lý chuỗi cung ứng của
Vinfast góp phần hiểu rõ hơn những cơ hội và thách thức, đồng thời đưa ra những giải pháp
thiết thực nhằm hoàn thiện hơn và tăng cường hiệu quả phát triển của quy trình quản lý chuỗi
cung ứng quốc tế của Vinfast.
CHƯƠNG 1: TÌM HIỂU VỀ NGÀNH CÔNG NGHIỆP XE ĐIỆN (Ô TÔ ĐIỆN)
1. Khái niệm xe ô tô điện:
Xe ô tô điện là loại phương tiện được cung cấp năng lượng bởi động cơ điện. Thay vì
sử dụng các động cơ đốt trong với các nhiên liệu như xăng hoặc dầu diesel, ô tô điện sử dụng
năng lượng được cung cấp từ một bộ pin sạc. Động cơ điện giúp chuyển hóa điện năng thành
cơ năng, không thải ra các khí CO2 nên được đánh giá là phương tiện xanh, thân thiện với môi trường.
Hiện nay, trên thị trường đang lưu hành 4 loại xe ô tô điện, bao gồm : -
BEV (Battery Electric Vehicle) - xe điện chạy hoàn toàn bằng pin -
PHEV (Plug-in Hybrid Electric Vehicle) - xe hybrid sạc ngoài, xe sử dụng song song điện và xăng/dầu -
HEV (Hybrid Electric Vehicle) - xe hybrid, là loại xe ô tô sử dụng kết hợp động cơ
điện và động cơ đốt trong. -
FCEV - Xe điện nhiên liệu Hydro, là dòng xe điện dùng pin nhiên liệu để vận hành
giúp chuyển khí Hydro thành điện năng cung cấp năng lượng cho máy móc. lOMoAR cPSD| 58950985
2. Lợi ích khi sử dụng xe ô tô điện:
Xe ô tô điện đang là xu hướng hiện nay và ngày càng cho thấy những lợi ích đặc biệt:
Bảo vệ môi trường : Cấu tạo của xe điện không có ống xả, qua đó góp phần hạn chế khí
thải ra ngoài môi trường, giúp giảm ô nhiễm không khí cục bộ, đặc biệt ở những thành phố
lớn đông dân cư. Bên cạnh đó nhờ việc sử dụng động cơ điện giúp xe điện vận hành êm ái, không gây tiếng ồn.
Bảo vệ sức khỏe con người : Khi môi trường được bảo vệ thì sức khỏe con người cũng
được bảo vệ một cách tương ứng. Môi trường càng xanh sạch đẹp thì con người càng khỏe
mạnh, hạn chế những bệnh liên quan tới hô hấp, ngoài da.
An toàn : Năng lượng của xe điện đến từ pin, bởi vậy trong quá trình xe hoạt động hoàn
toàn không diễn ra quá trình đốt cháy, nhờ đó xe có khả năng giảm thiểu tối đa nguy cơ cháy nổ.
Tiết kiệm chi phí : Chi phí mua một chiếc xe điện rẻ hơn so với một chiếc xe dùng động
cơ đốt trong thông thường. Ngoài ra, chi phí vận hành , nhiên liệu và sửa chữa cũng thấp hơn
đáng kể. Bên cạnh đó, với trang bị tiện nghi, hiện đại và nhiều tính năng hỗ trợ, việc cầm lái
phương tiện năng lượng mới sẽ mang đến trải nghiệm thú vị và vượt trội cho người dùng.
3. Lịch sử phát triển ngành công nghiệp xe ô tô điện:
Lịch sử xe điện bắt đầu từ thế kỷ thứ 19 và đến nay đã phát triển được hơn 100 năm.
Chiếc xe điện đầu tiên ra đời bởi nhà vật lý học Gaston Planté, người Pháp. Ông cũng chính
là người đã phát minh ra pin axit-chì vào năm 1859.
Năm 1880: Nhà phát minh Gustave Trouvé đã gắn pin sạc vào xe ba bánh, tạo ra chiếc
xe chạy điện đầu tiên.
Năm 1884: Thomas Parker tạo ra chiếc ô tô điện đầu tiên trên thế giới tại Anh.
Năm 1897: Walter Bersey chế tạo ra đội taxi điện hoạt động trên đường phố London.
Sau đó, loại taxi điện được sử dụng rộng rãi ở New York.
Năm 1900-1912: là thời kỳ hoàng kim của những chiếc ô tô điện, được nhiều hộ gia
đình ưa chuộng sử dụng. (Trong số 4192 chiếc ô tô được sản xuất tại Hoa Kỳ thì có khoảng
28% xe chạy điện. Ngoài ra, xe ô tô chạy điện chiếm 1/3 tổng số ô tô lưu thông trên các con
đường tại thành phố New York, Boston và Chicago.)
Đến những năm 1920: hãng Ford sản xuất xe xăng với giá rẻ, thời điểm đó, xăng dầu
cũng bớt đắt đỏ, trạm xăng mọc lên nhiều hơn, tiện lợi cho người dùng. Do đó, xe điện bị đưa
vào dĩ vãng và gần như biến mất vào năm 1935. Trong hơn 30 năm tiếp theo, xe điện bước
vào thời kỳ “đen tối” với rất ít tiến bộ trong công nghệ.
Những năm 1990, Đạo luật kiểm soát ô nhiễm không khí sửa đổi năm 1990 và Đạo luật
Chính sách năng lượng năm 1992 được thông qua. Cộng với các quy định về khí thải giao
thông do Hội đồng quản trị tài nguyên không khí California ban hành đã tạo ra sự quan tâm
mới đối với xe điện. Trong thời gian này, các nhà sản xuất ô tô bắt đầu chuyển đổi một số mẫu lOMoAR cPSD| 58950985
xe phổ biến của họ thành xe điện. Những chiếc xe này đã đạt được tốc độ và hiệu suất vận
hành tương đương với xe chạy bằng xăng, một số chiếc có thể di chuyển với tốc độ 60km/giờ.
Đến năm 1997, Toyota giới thiệu mẫu xe điện hybrid đầu tiên mang tên Prius được sản
xuất hàng loạt và phát hành trên toàn thế giới đánh dấu sự trở lại của ngành công nghiệp ô tô
điện. Prius trở thành chiếc xe hybrid bán chạy nhất trên toàn thế giới trong suốt một thập kỷ
qua, tạo điều kiện cho thị trường xe ô tô điện hồi sinh.
4. Sự phát triển của thị trường xe điện những năm gần đây:
Năm 2019, tổng số xe điện bán ra trên toàn thế giới là 1,4 triệu xe, tăng so với năm
2018. Tuy nhiên, mức tăng chỉ là 9% trong khi tốc độ tăng trưởng xe điện của 6 năm trước đó
rất mạnh, từ 46 – 69%. Nguyên nhân đến từ doanh số xe điện 6 tháng cuối năm 2019 tại hai
thị trường lớn là Mỹ và Trung Quốc giảm. Tuy nhiên, doanh số xe điện bán ra tại các nước
châu Âu lại tăng mạnh trong năm 2019 lên tới 44%.
Năm 2020, bất chấp sự ảnh hưởng của dịch bệnh Covid-19 số xe điện bán ra trên toàn
cầu vẫn tăng mạnh, đạt 2,01 triệu xe. Điều này cho thấy người dùng đã dần có cái nhìn rõ ràng
về xe điện và ngày càng có nhiều thiện cảm hơn với phương tiện xanh này. Cũng chính vì vậy,
trong năm 2020 thị phần xe điện trên toàn thế giới đã đạt mức kỷ lục là 4,6%.
Đến năm 2021, số xe điện bán ra trên toàn cầu đạt 4,2 triệu chiếc. Đây là con số
chứng minh xe điện đang dần chiếm ưu thế trên thị trường xe ô tô nói chung. Các nhà sản
xuất ô tô điện đã có được doanh số ngoài mong đợi khi hướng tới việc sử dụng năng lượng
xanh trong ngành công nghiệp ô tô.
Năm 2022, thị trường xe điện tiếp tục phát triển vượt bậc với số lượng xe điện bán ra
trên thị trường toàn cầu vượt hơn 10 triệu xe . Trước nhu cầu ngày càng cao của người dân,
các thương hiệu ô tô điện đã yêu cầu khách hàng phải đặt cọc trước khi muốn mua ô tô điện,
trong đó một vài mẫu xe ô tô được yêu thích đã bán hết sản phẩm trong vòng 2 năm tới.
Các thị trường xe điện lớn trên thế giới:
Thị trường xe điện đang nổi lên mạnh mẽ trên nhiều nơi trên thế giới, trong đó phải kể đến như:
Thị trường Trung Quốc : Theo công ty nghiên cứu Canalys, Trung Quốc là thị trường
xe điện lớn nhất thế giới với 5,9 triệu xe được bán vào năm 2022, chiếm 59% số xe điện được
bán trên toàn cầu, với các thương hiệu lớn như BYD, Wuling, Chery,
Thị trường Châu Âu : là thị trường xe điện lớn thứ 2 trên thế giới. Xe điện chiếm 13,6%
tổng doanh số bán ô tô mới, tăng từ mức dưới 10% vào tháng 7 năm 2022. Tại Na Uy, cứ 5
chiếc ô-tô được bán mới thì 4 chiếc là ô-tô điện.
Thị trường Mỹ : doanh số ô tô điện tại thị trường Mỹ đạt 5,8% tổng lượng xe mới bán
ra trong năm 2022, cao hơn mức 3,2% từng ghi nhận vào năm 2021. Thị trường xe điện tại
Mỹ đang phát triển mạnh mẽ từ 2 năm qua, trong đó Tesla là thương hiệu lớn nhất. lOMoAR cPSD| 58950985
Một số thị trường tiềm năng : Nhật Bản với thị phần xe điện ở mức 3% trong năm 2022,
tăng so với mức 1% trong năm 2021. Ngoài ra còn một số nước khác cũng đang phát triển và
có nhiều chính sách khuyến khích, hỗ trợ các hãng sản xuất và người tiêu dùng mua xe điện
như : Thái Lan, Indonesia,....
CHƯƠNG 2: PHÂN TÍCH CHUỖI CUNG ỨNG TOÀN CẦU CỦA NGÀNH CÔNG NGHIỆP XE ĐIỆN
1. Các tác nhân ảnh hưởng đến chuỗi cung ứng toàn cầu ngành xe điện:
1.1. Nhóm nhân tố thị trường:
Theo số liệu khảo sát, lãnh đạo các doanh nghiệp ô tô kỳ vọng xe điện sẽ chiếm 52%
thị phần tại Mỹ, Trung Quốc và Nhật Bản vào năm 2030 ngay cả khi không nhận được các
chương trình trợ cấp của chính phủ. Bên cạnh Mỹ, Trung Quốc và Nhật Bản, các nhà lãnh đạo
các tập đoàn ô tô được KPMG khảo sát cũng tin rằng thị phần xe điện tại Tây Âu, Ấn Độ và
Brazil sẽ tăng nhưng với tốc độ thấp hơn trong những năm tới.
Hơn 60% người tham gia khảo sát tin rằng làn sóng các công ty khởi nghiệp xe điện
mới tham gia vào ngành công nghiệp ô tô sẽ có “tác động vừa phải” đến thị trường toàn cầu.
Khoảng 53% lãnh đạo các doanh nghiệp ô tô tham gia khảo sát cho biết họ tin rằng ngành
công nghiệp này có thể đạt được mức tăng trưởng có lãi trong vòng 5 năm tới (từ 2023). Trên lOMoAR cPSD| 58950985
thị trường đã xuất hiện các nhà sản xuất ô tô điện mới có những cái tên như Lordstown, Canoo,
Fisker, Nikola, Aiways, và Việt Nam là Vinfast.
Ảnh hưởng đến chuỗi: Qua những số liệu trên, ta thấy được rằng xu hướng tương lai xe
điện phát triển mạnh mẽ là rất cao. Từ đó thấy được nhu cầu mua xe điện tăng cao → tiềm
năng cho các nhà cung ứng xe điện nắm bắt để tập trung đầu tư nhiều hơn, đón đầu xu hướng và phát triển.
1.2. Nhóm nhân tố chi phí:
Chi phí luôn là mối quan tâm lớn của khách hàng khi mua một chiếc ô tô nói chung. Và
giá thành ban đầu cao hơn so với xe xăng là một trong những điều khiến khách hàng ngần ngại
khi quyết định mua xe điện. Bên cạnh đó, chi phí thay pin cũng không hề rẻ. Pin xe điện chỉ
có tuổi thọ từ 6 - 7 năm, sau khoảng thời gian này, pin bắt đầu phân rã. Việc phải mua mới một
bộ pin bằng gần ¾ chi phí mua xe điện ban đầu là điều không tránh khỏi.
Tuy nhiên, những chi phí này hoàn toàn có thể giảm đi nhờ các ưu đãi và chính sách
của nhà nước. Bên cạnh đó, các nhà sản xuất cũng không ngừng cải tiến công nghệ sản xuất
pin xe điện → giảm giá thành xuống và nâng tuổi thọ pin lên → Giá thành xe điện cũng như
pin để thay thế sẽ giảm xuống trong tương lai là điều có thể nhìn thấy được. Ngoài ra, nhà sản
xuất có thể thực hiện chính sách bán xe điện không kèm pin và cho thuê các gói pin để giảm
mức chi phí ban đầu này.
Ảnh hưởng đến chuỗi: giá thành xe điện giảm sẽ kích cầu mua sắm xe của khách hàng.
Tuy nhiên các nhà cung ứng, sản xuất cũng cần xây dựng chiến về giá để vừa đảm bảo chất
lượng vừa đủ cạnh tranh với các bên sản xuất khác.
1.3. Nhóm nhân tố chính phủ:
Theo IEA, chính sách hỗ trợ của các chính phủ chính là động lực mạnh mẽ giúp ngành
sản xuất xe điện tăng trưởng. Chi tiêu công cho trợ cấp và ưu đãi đối với xe điện tăng gần gấp
đôi vào năm 2021, lên gần 30 tỷ USD. Ngày càng nhiều quốc gia cam kết loại bỏ dần các động
cơ đốt trong hoặc có các mục tiêu “điện hóa” phương tiện đầy tham vọng trong những thập niên tới.
Trong bối cảnh ô nhiễm môi trường ngày càng nghiêm trọng, Chính phủ và cơ quan
môi trường của các nước nói chung và Việt Nam nói riêng cũng đưa ra các quy định phát thải
nghiêm ngặt hơn để giảm lượng khí thải từ phương tiện giao thông => cơ hội đẩy mạnh tăng
trưởng thị trường xe điện hiện nay.
Ảnh hưởng đến chuỗi cung ứng: Nhu cầu gia tăng khiến nhiều nhà cung ứng mới tham
gia vào ngành xe điện làm tăng nhu cầu về xe điện của người dân → sự cạnh tranh gia tăng.
Những tiêu chuẩn nghiêm ngặt về môi trường khiến nhà cung ứng nếu muốn thành công thì
cần tuân thủ quy định tạo ra áp lực thực hiện các tiêu chuẩn. lOMoAR cPSD| 58950985
1.4. Nhóm nhân tố cạnh tranh:
Trong các đối thủ cạnh tranh, việc chế tạo, sản xuất xe điện không quá phức tạp như xe
sử dụng động cơ đốt trong. Rất nhiều hãng có thể sản xuất được vì có sẵn module, chỉ cần mua
về lắp ráp, cân chỉnh và thiết kế cho đẹp. Chính vì thế sẽ rất dễ gặp đối thủ cạnh tranh mà hiện
nay có thể kể ra như Tesla, BDY, Chery, Haima, Wuling… Ngoài ra xuất hiện các nhà sản xuất
ô tô điện mới có những cái tên như Lordstown, Canoo, Fisker, Nikola, Aiways, và Việt Nam là Vinfast.
Ảnh hưởng đến chuỗi cung ứng:
Nhu cầu cung ứng gia tăng: các công ty trong chuỗi cung ứng phải tập trung vào việc
cung cấp linh kiện và dịch vụ với hiệu suất và chất lượng cao → đòi hỏi đầu tư vào quá trình
sản xuất và kiểm soát chất lượng.
Áp lực giảm giá: các nhà sản xuất xe điện cố gắng cung cấp sản phẩm với giá cả cạnh
tranh hơn để thu hút khách hàng => Ảnh hưởng đến lợi nhuận của họ và tạo áp lực đối với các
nhà cung cấp trong chuỗi cung ứng để cung cấp linh kiện và dịch vụ với giá cả cạnh tranh.
2. Những đối tượng tham gia vào chuỗi:
2.1. Nhà sản xuất:
Chuỗi cung ứng xe điện toàn cầu bao gồm nhiều nhà sản xuất và công ty khác nhau trên
khắp thế giới. Một số nhà sản xuất xe điện hàng đầu: Tesla, Inc. (Hoa Kỳ), Nissan (Nhật Bản),
BMW (Đức), Hyundai/Kia (Hàn Quốc), Ford (Hoa Kỳ), XPeng Motors (Trung Quốc),...
Theo số liệu báo cáo xu hướng ô tô 2022, Tesla hiện đang dẫn đầu với sản lượng ô tô
điện nhiều nhất thế giới (339.000 xe) và đặt mục tiêu sản xuất 20 triệu xe năm 2030. Theo
ngay sau là Toyota, Stellantis, VW Group, Ford.. với sản lượng lần lượt là 54.000, 52.000, 46.000, 37.000,.. lOMoAR cPSD| 58950985
2.2. Nhà phân phối:
Chuỗi cung ứng xe điện toàn cầu có nhiều nhà phân phối khác nhau, và họ có thể là các
đại lý, đại lý ủy quyền, hoặc các đối tác kinh doanh của các nhà sản xuất xe điện.
Đại lý ô tô: là các nhà phân phối chính của các nhà sản xuất xe điện, đảm nhận việc bán
các mẫu xe điện của các nhà sản xuất cho người tiêu dùng cuối cùng, có mạng lưới rộng rãi
và đáng tin cậy trên toàn thế giới.
Các trang web xe trực tuyến: Có nhiều trang web và dịch vụ trực tuyến độc lập cung
cấp thông tin về các mẫu xe điện và cho phép người mua tìm hiểu và so sánh giữa các lựa chọn
trước khi đặt mua trực tiếp.
Các đối tác kinh doanh và đối tác liên kết: Các nhà sản xuất xe điện thường hợp tác với
các công ty hoặc đối tác kinh doanh khác để mở rộng mạng lưới phân phối. Ví dụ, họ có thể
hợp tác với các công ty năng lượng, trạm sạc, hoặc các nhà cung cấp dịch vụ đổi xe để tạo ra
các gói phân phối hoàn chỉnh cho khách hàng. lOMoAR cPSD| 58950985
Mạng lưới phân phối có thể thay đổi theo địa điểm và thị trường cụ thể, và có thể tồn
tại nhiều mô hình phân phối khác nhau trên toàn cầu.
2.3. Nhà bán lẻ:
Chuỗi cung ứng xe điện toàn cầu cũng bao gồm nhiều nhà bán lẻ khác nhau trên khắp
thế giới. Một số nhà bán lẻ lớn hoặc nổi tiếng trong lĩnh vực xe điện: Tesla Stores (Hoa Kỳ và
toàn cầu), Nissan Dealerships (Toàn cầu), BMW Dealerships (Toàn cầu), Hyundai/Kia
Dealerships (Toàn cầu), NIO Houses (Trung Quốc và một số quốc gia khác), XPeng Stores (Trung Quốc),..
Châu Âu và Trung Quốc là những nơi dẫn đầu về tỷ lệ tiêu thụ ô tô điện. Theo dữ liệu
từ LMC Automotive, năm 2022 Trung Quốc chiếm 19% tổng lượng ô tô điện bán ra trên thế
giới, con số này tại châu Âu là 11%. Trong khi đó, doanh số ô tô điện tại thị trường Mỹ cũng
đạt 5,8% tổng lượng xe mới bán ra trong năm 2022, cao hơn mức 3,2% từng ghi nhận vào năm 2021. (Nguồn: Internet)
2.4. Khách hàng:
Khách hàng của chuỗi cung ứng xe điện toàn cầu bao gồm các cá nhân và các tổ chức khác nhau.
Người tiêu dùng: Khách hàng cuối cùng của các hãng sản xuất xe điện, bao gồm cả cá
nhân và doanh nghiệp mua xe điện cho sử dụng cá nhân hoặc thuê. Theo số liệu của công ty
nghiên cứu thị trường JATO Dynamics, tính đến tháng 9 năm 2023, trên toàn thế giới có
khoảng 10,9 triệu xe điện đang được sử dụng. Trong đó, Trung Quốc là thị trường lớn nhất với
5,9 triệu xe, chiếm 54% tổng số xe điện trên thế giới. Tiếp theo là châu Âu với 2,7 triệu xe,
chiếm 25% và Bắc Mỹ với 1,7 triệu xe, chiếm 15%.
Các doanh nghiệp vận tải: Các công ty vận tải như GSM (dòng taxi điện Xanh
SM),Vinfast (xe bus điện Vinbus),..dùng xe điện để cung cấp dịch vụ giao thông hợp lý và
thân thiện với môi trường. lOMoAR cPSD| 58950985 (Nguồn: topzone.vn)
(Nguồn: Vingroup.net)
Các công ty dịch vụ chia sẻ xe: Các công ty như xe điện MBI Sharing và các dự án chia
sẻ xe điện khác là một phần quan trọng của ngành công nghiệp xe điện. Theo báo cáo của
Mordor Intelligence, quy mô thị trường dịch vụ chia sẻ xe điện toàn cầu dự kiến sẽ đạt 8,5 tỷ
USD vào năm 2027, với tốc độ tăng trưởng kép hàng năm (CAGR) là 22,5% trong giai đoạn 2022-2027.
(nguồn: MBISharing.vn)
Các quốc gia và thành phố: Nhiều quốc gia và thành phố đã đặt mục tiêu về việc giảm
phát thải khí nhà kính và thúc đẩy sử dụng xe điện. Chính phủ và chính quyền địa phương
thường là khách hàng quan trọng trong việc mua xe điện cho các dự án công cộng.
Công ty thuộc ngành công nghiệp giao thông và vận tải hàng hóa: Các công ty vận tải
hàng hóa và logisticians có thể sử dụng xe điện để giảm chi phí vận chuyển và tối ưu hóa hoạt động logistic của họ.
Khách hàng sẽ phụ thuộc vào thị trường mục tiêu của từng thương hiệu mà chọn lựa
sao cho phù hợp. Ví dụ: Vinfast sẽ hướng đến khách hàng là người tiêu dùng cuối cùng hay
gần đây là công ty vận tải GSM với taxi điện Xanh SM. lOMoAR cPSD| 58950985
2.5. Nhà cung cấp dịch vụ:
Chuỗi cung ứng xe điện toàn cầu không chỉ bao gồm những nhà sản xuất xe điện, mà
còn có các nhà cung cấp dịch vụ và công ty trong nhiều lĩnh vực khác nhau để hỗ trợ quá trình
sản xuất, phân phối và sử dụng xe điện.
Nhà sản xuất pin điện: Panasonic, LG Chem, và Samsung SDI sản xuất các pin
lithiumion cung cấp năng lượng cho xe điện.
Nhà cung cấp hệ thống sạc: Công ty như ABB, Siemens và ChargePoint cung cấp hệ
thống sạc công cộng và trạm sạc cho xe điện.
Công ty phát triển công nghệ xe điện: Bosch, Delphi Technologies và Aptiv là các công
ty cung cấp công nghệ và giải pháp xe điện cho các nhà sản xuất.
Công ty sản xuất linh kiện và thiết bị xe điện: Denso, Magna International và Valeo sản
xuất các linh kiện và thiết bị điện tử cho xe điện.
Công ty vận chuyển và logistics: Các công ty vận chuyển như DHL, FedEx và UPS
chịu trách nhiệm vận chuyển xe điện và linh kiện trên toàn cầu,...
Đặc biệt phải kể đến sự “bành trướng” của nhà sản xuất từ Trung Quốc, theo SCMP,
Trung Quốc đang thống trị chuỗi cung ứng xe điện vì đóng góp hơn 3/4 năng lực sản xuất pin
của thế giới. CATL và BYD là 2 trong số 3 nhà sản xuất hàng đầu thế giới. Bên cạnh đó, quốc
gia này cũng kiểm soát hơn 2/3 các thành phần cần thiết để sản xuất pin xe điện – một lợi thế
mà Mỹ, Liên minh châu Âu, Nhật Bản, Hàn Quốc và Indonesia đang nỗ lực theo đuổi.
Châu Âu chỉ chiếm hơn 1/4 hoạt động lắp ráp xe điện toàn cầu, song chưa thiết lập được
chuỗi cung ứng. Theo báo cáo tháng 7/2022 của IEA, Mỹ còn thậm chí chỉ chiếm 10%. Theo
các chuyên gia cho biết, chuỗi cung ứng của Trung Quốc có “chất gây nghiện” bởi đa số các
nhà sản xuất ô tô quốc tế đều cần pin giá rẻ để cạnh tranh. Thị trường này dự kiến sẽ tăng gấp
bốn lần lên 693,70 tỷ USD vào năm 2030 so với mốc 193,55 tỷ USD hồi năm ngoái.
3. Cấu trúc chuỗi cung ứng xe điện toàn cầu:
Cấu trúc chuỗi cung ứng toàn cầu là hệ thống các tổ chức, con người, quy trình, dữ liệu
và công nghệ liên quan đến việc tạo ra, vận chuyển và phân phối hàng hóa và dịch vụ trên toàn
thế giới. Cấu trúc chuỗi cung ứng toàn cầu thường được chia thành bốn cấp độ chính:
B1: Khai thác và sản xuất nguyên liệu:
Khai thác lithium, nickel, cobalt và các tài nguyên khác cần thiết cho pin lithium-ion từ
các mỏ trên toàn thế giới, chủ yếu ở Trung Quốc, Úc, và nhiều quốc gia khác.
Sản xuất các thành phần pin tại các nhà máy chuyên dụng trên toàn thế giới.
B2: Sản xuất các thành phần chính:
Pin lithium-ion: Sản xuất các thành phần pin tại các nhà máy ở nhiều quốc gia, như
Trung Quốc, Mỹ, Đức, và Nhật Bản. lOMoAR cPSD| 58950985
Thiết bị điện tử: Sản xuất vi mạch tích hợp, bo mạch chủ, cảm biến, và các linh kiện
điện tử khác tại các trung tâm công nghiệp ở châu Á, bao gồm Trung Quốc, Hàn Quốc và Đài Loan.
B3: Sản xuất ô tô điện:
Lắp ráp và sản xuất ô tô điện tại các nhà máy của các hãng sản xuất ô tô như Tesla, Nissan, BMW, và Volkswagen.
Một phần lớn sản phẩm cuối cùng được sản xuất ở Trung Quốc do quy mô sản xuất và
giá cả cạnh tranh ở đây.
B4: Hệ thống quản lý cung ứng:
Công nghệ thông tin và phần mềm quản lý chuỗi cung ứng được sử dụng để theo dõi
và tối ưu hóa quy trình cung ứng.
Hợp tác nhiều nhà cung cấp toàn cầu để đảm bảo nguồn cung cấp liên tục và giảm rủi ro.
B5: Vận chuyển và phân phối:
Vận chuyển quốc tế: Xe điện và các thành phần chính thường được vận chuyển bằng
đường biển từ các nhà máy sản xuất đến các thị trường tiêu thụ chính, như châu Âu và Bắc Mỹ
Mạng lưới phân phối: Các hãng xe điện thường có mạng lưới phân phối rộng rãi trên
toàn thế giới để cung cấp sản phẩm cho khách hàng.
B6: Tiêu dùng và bảo trì:
Hậu cần và dịch vụ bảo trì: Các dịch vụ bảo trì và sửa chữa xe điện phải có sẵn ở nhiều
địa điểm để hỗ trợ khách hàng.
Quản lý dữ liệu và kết nối trực tuyến: Internet of Things (IoT) và phân tích dữ liệu cung
cấp thông tin về hiệu suất của xe và hỗ trợ cho quy trình bảo trì.
Chuỗi cung ứng của ngành xe điện là một hệ thống phức tạp, phụ thuộc vào nhiều quốc
gia và ngành công nghiệp khác nhau để sản xuất và cung cấp sản phẩm cuối cùng cho thị trường toàn cầu.
CHƯƠNG 3: TÌM HIỂU VỀ HOẠT ĐỘNG KINH DOANH TOÀN CẦU CỦA VINFAST
1. Khái quát về chung về Vinfast:
Tên đầy đủ của công ty VinFast là Công ty trách nhiệm hữu hạn sản xuất và kinh doanh
VinFast. Tên viết tắt của công ty là VinFast LLC. VinFast được thành lập vào năm 2017 bởi lOMoAR cPSD| 58950985
tập đoàn Vingroup, một trong những tập đoàn kinh tế tư nhân đa ngành lớn nhất Việt Nam.
VinFast là một công ty sản xuất ô tô và xe máy điện của Việt Nam, với mục tiêu trở thành một
thương hiệu ô tô và xe máy điện thông minh toàn cầu.
Tên gọi VinFast được viết tắt từ cụm từ "Việt Nam - Phong cách - An toàn - Sáng tạo
- Tiên phong" (chữ Ph đổi thành F). Hiện nay nắm giữ chức tổng giám đốc toàn cầu Vinfast
là bà Nguyễn Thị Thu Thuỷ, hiện đang là phó chủ tịch tập đoàn Vingroup. Về chiến lược đối
với sản phẩm: “ tạo ra các mặt hàng thông minh, hiện đại” .
Giá trị cốt lõi Vinfast hướng đến: “ An toàn và Thông minh"( theo ông Hoàng Chí
Trung-tổng giám đốc Vinfast trading Việt Nam). Các cột mốc quan trọng của Vinfast:
2017: Thành lập Vingroup xác định chiến lược cạnh tranh với các thương hiệu hàng
đầu thế giới bằng xe điện
2018: Cuộc thi “chọn xế yêu cùng Vinfast-2” - ngày 8/3/2018 người dùng bình chọn 36
mẫu phác thảo( gồm 17 mẫu ô tô điện và 19 mẫu thiết kế xe cỡ nhỏ), tạo nền tảng khởi đầu để
VinFast phát triển các mẫu xe điện về sau này.
2019: Chinh phục thị trường ô tô Việt Nam-sau hơn 2 năm sản xuất và kinh doanh xe
xăng, lần lượt các mẫu xe vươn lên dẫn đầu thị trường l, Vinfast chứng minh được năng lực
sản xuất, hoàn thiện mô hình và bộ máy kinh doanh
2021: Vươn ra thế giới-VinFast ra mắt mẫu ô tô sản xuất ở Việt Nam và công bố kế
hoạch, tầm nhìn toàn cầu.
2022: Hãng xe thuần Việt đầu tiên tại Việt Nam - Tại triển lãm CES 2022, Vinfast chính
thức công bố chiến lược thuần điện, dừng sản xuất xe xăng trong năm 2022.
2. Lĩnh vực hoạt động chính:
VinFast hiện đang hoạt động kinh doanh trong 2 lĩnh vực chính:
Sản xuất và kinh doanh ô tô: VinFast hiện đang sản xuất và kinh doanh các dòng xe ô
tô điện và xe xăng. Trong năm 2022, VinFast đã bán được hơn 70.000 xe ô tô, trong đó có hơn 10.000 xe ô tô điện.
Sản xuất và kinh doanh xe máy điện: VinFast hiện đang sản xuất và kinh doanh các
dòng xe máy điện. Trong năm 2022, VinFast đã bán được hơn 200.000 xe máy điện.
VinFast đang nỗ lực xây dựng thương hiệu và mở rộng thị trường, với mục tiêu trở
thành một tập đoàn sản xuất ô tô và xe máy điện hàng đầu thế giới.
VinFast có 2 nhà máy sản xuất ô tô và xe máy điện, bao gồm:
Nhà máy sản xuất ô tô và xe máy điện VinFast tại Hải Phòng: Đây là nhà máy sản xuất
ô tô và xe máy điện hiện đại nhất Việt Nam, được xây dựng trên diện tích 335 ha tại khu công
nghiệp Đình Vũ, huyện Cát Hải, TP Hải Phòng. Nhà máy có công suất thiết kế 500.000 xe ô
tô và 250.000 xe máy điện mỗi năm. lOMoAR cPSD| 58950985
Nhà máy sản xuất ô tô điện VinFast tại Mỹ: Nhà máy này được xây dựng tại khu công
nghiệp Triangle Innovation Point, bang Bắc Carolina, Hoa Kỳ. Nhà máy có công suất thiết kế
150.000 xe ô tô điện mỗi năm.
3. Hoạt động sản xuất kinh doanh:
3.1. Hoạt động kinh doanh của VinFast tại thị trường Việt Nam:
Tại thị trường Việt Nam, VinFast hiện đang là một trong những hãng ô tô và xe máy
điện dẫn đầu. VinFast đã xây dựng được một mạng lưới phân phối rộng khắp trên toàn quốc,
với hơn 100 trung tâm bán hàng và bảo dưỡng. Trong năm 2022, VinFast đã bán được hơn
70.000 xe ô tô, trong đó có hơn 50.000 xe ô tô điện. VinFast cũng đã bán được hơn 200.000 xe máy điện.
Tại thị trường quốc tế, VinFast đã bắt đầu triển khai hoạt động kinh doanh quốc tế từ
năm 2020. Tính đến tháng 10 năm 2023, VinFast đã có mặt tại 5 thị trường quốc tế, bao gồm
Mỹ, Canada, Pháp, Đức và Hà Lan. Dưới đây là thống kê doanh thu và sản lượng bán ra theo
2 sản phẩm ô tô và xe điện của VinFast trong 3 năm gần đây:
(Theo báo cáo kết quả tài chính của Vinfast 2022)
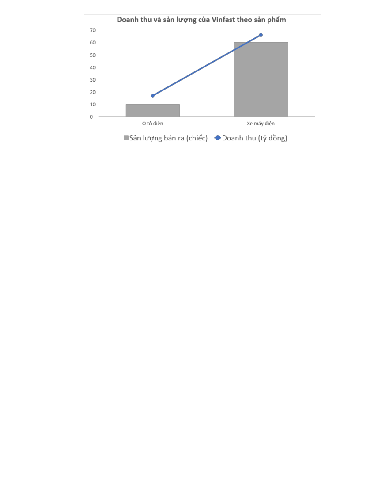
Doanh thu từ ô tô điện của VinFast tăng trưởng nhanh chóng trong 3 năm gần đây.
Trong năm 2022, doanh thu từ ô tô điện của VinFast đạt 17.000 tỷ đồng, chiếm 20% tổng
doanh thu của hãng. Sản lượng bán ra của ô tô điện của VinFast cũng tăng trưởng nhanh chóng
trong 3 năm gần đây. Trong năm 2022, VinFast bán được hơn 10.000 xe ô tô điện, chiếm 14%
tổng sản lượng bán ra của hãng. Doanh thu ngày càng tăng theo từng năm cho thấy hiệu quả
hoạt động kinh doanh của Vinfast ngày càng phát triển nhanh chóng. lOMoAR cPSD| 58950985
(Theo báo cáo kết quả tài chính của Vinfast)
Thống kê chi tiết theo từng sản phẩm cho thấy, doanh thu từ xe máy điện vẫn chiếm tỷ
trọng lớn trong tổng doanh thu của VinFast. Trong năm 2022, doanh thu từ xe máy điện của
VinFast đạt 66.000 tỷ đồng, chiếm 79% tổng doanh thu của hãng.
3.2. Hoạt động phân phối của chuỗi cung ứng toàn cầu Vinfast:
Hoạt động phân phối trong chuỗi cung ứng toàn cầu của VinFast bao gồm các bước sau:
Bước 1: Nhập khẩu nguyên liệu và linh kiện từ các nhà cung cấp toàn cầu: VinFast có
mạng lưới nhà cung cấp nguyên liệu và linh kiện rộng khắp trên thế giới, bao gồm các công
ty hàng đầu trong lĩnh vực sản xuất ô tô điện như CATL, LG Chem, Bosch, Valeo,... Nguyên
liệu và linh kiện được nhập khẩu về Việt Nam hoặc các nhà máy sản xuất của VinFast tại các thị trường khác.
Bước 2: Sản xuất xe điện: VinFast có hai nhà máy sản xuất xe điện tại Việt Nam và một
nhà máy sản xuất pin tại Mỹ. Các nhà máy này được trang bị công nghệ hiện đại, đáp ứng các
tiêu chuẩn sản xuất xe điện quốc tế.
Bước 3: Tồn kho và vận chuyển xe điện: VinFast có hệ thống kho bãi và mạng lưới
vận tải nội địa và quốc tế để đảm bảo nguồn cung xe điện ổn định cho thị trường. VinFast sử
dụng hệ thống quản lý kho (WMS) để theo dõi và quản lý hàng tồn kho. Hệ thống này giúp
công ty đảm bảo rằng có đủ hàng tồn kho để đáp ứng nhu cầu của khách hàng, đồng thời
giảm thiểu chi phí tồn kho.
Bước 4: Phân phối xe điện tới các đại lý: VinFast cũng đã sử dụng nhiều nhà vận chuyển
khác nhau để vận chuyển nguyên liệu thô, linh kiện và phụ tùng từ các nhà cung cấp đến nhà
máy của mình. Công ty cũng sử dụng các nhà vận chuyển để phân phối xe đến các đại lý nhanh chóng. lOMoAR cPSD| 58950985
Hoạt động phân phối của chuỗi cung ứng xe điện toàn cầu VinFast được thực hiện theo
mô hình Just-in-time, nhằm đảm bảo nguồn cung nguyên liệu và linh kiện ổn định, giảm thiểu
tồn kho và chi phí vận chuyển.
Điểm nổi bật của hoạt động phân phối chuỗi cung ứng xe điện toàn cầu VinFast được
thể hiện rõ trong việc hợp tác chiến lược với các nhà cung cấp hàng đầu thế giới, VinFast đã
hợp tác chiến lược với các nhà cung cấp hàng đầu thế giới trong lĩnh vực sản xuất ô tô điện,
như CATL, LG Chem, Bosch, Valeo,...VinFast đang tích cực phát triển mạng lưới nhà máy
sản xuất và đại lý trên toàn cầu tạo ra sự bền vững. VinFast đang ứng dụng các công nghệ hiện
đại trong hoạt động phân phối, phải kể đến như công nghệ kho bãi thông minh, công nghệ vận
tải tự động,... nhờ đó đã cung cấp nhanh chóng và kịp thời, đáp ứng nhu cầu của khách hàng.
3.3. Chính sách của Vinfast:
VinFast áp dụng nhiều chính sách nhằm mang lại lợi ích cho khách hàng, nhà đầu tư và
cộng đồng. Một số chính sách nổi bật của VinFast như:
Chính sách bán hàng: VinFast cam kết mang đến cho khách hàng những sản phẩm chất
lượng cao với giá bán cạnh tranh.
Chính sách bảo hành hấp dẫn: VinFast áp dụng chính sách bảo hành 10 năm hoặc
200.000 km cho tất cả các mẫu xe điện.
Chính sách dịch vụ hậu mãi chu đáo: VinFast cung cấp dịch vụ hậu mãi toàn diện cho
khách hàng, bao gồm bảo dưỡng, sửa chữa, thay thế phụ tùng,...
Theo khảo sát và thống kê của Vinfast, tỷ lệ khách hàng hài lòng với sản phẩm và dịch
vụ của công ty đạt 94%, có hơn 70% khách hàng đã mua xe VinFast quay lại mua xe của công
ty và có đến hơn 90% khách hàng sẵn sàng giới thiệu sản phẩm và dịch vụ của công ty cho
người thân và bạn bè. Qua những con số đó đã cho thấy Vinfast đã thực hiện rất tốt các chính
sách dành cho khách hàng trong thời gian qua.
Chính sách đầu tư: VinFast cam kết mang đến cho các nhà đầu tư môi trường đầu tư
hấp dẫn, với cơ sở hạ tầng hiện đại, chính sách ưu đãi của Chính phủ và đội ngũ nhân lực chất
lượng cao điều này đã cho thấy môi trường đầu tư hấp dẫn Vinfast mang lại. Bên cạng đó,
VinFast đề cao tinh thần hợp tác win-win với các đối tác, nhằm mang lại lợi ích cho tất cả các bên tham gia.
Theo ước tính, các chính sách đầu tư của VinFast đã giúp công ty giảm chi phí chuỗi
cung ứng khoảng 10%, cải thiện hiệu quả chuỗi cung ứng khoảng 20% và nhờ đó giảm thời
gian giao hàng xuống khoảng 20%. Điều này đã giúp cho Vinfast tăng doanh thu cho hoạt động kinh doanh. Chính sách cộng đồng:
Trách nhiệm xã hội: VinFast cam kết thực hiện trách nhiệm xã hội, góp phần phát triển
kinh tế - xã hội của đất nước. lOMoAR cPSD| 58950985
Chính sách an toàn giao thông: VinFast đẩy mạnh các hoạt động tuyên truyền, giáo dục
an toàn giao thông, nhằm giảm thiểu tai nạn giao thông.
Với những chính sách này, VinFast đã và đang nhận được sự tin tưởng và ủng hộ của
khách hàng, nhà đầu tư và cộng đồng và góp phần nâng cao chất lượng cuộc sống của người dân Việt Nam.
3.4. Thị trường mục nổi bật hiện tại của Vinfast:
Theo báo cáo của VinFast, thị trường nổi bật hiện tại của VinFast là thị trường trong
nước và thị trường Mỹ.
*Thị trường trong nước:
Việt Nam là thị trường chính của VinFast. VinFast đang tập trung phát triển thị trường
trong nước, với mục tiêu trở thành thương hiệu ô tô hàng đầu Việt Nam.
Trong năm 2022, VinFast đã đạt được những thành công đáng kể tại thị trường trong
nước. Doanh số bán ô tô của VinFast đạt 65.000 xe, chiếm 70% thị phần ô tô Việt Nam. Doanh
số bán xe máy điện của VinFast đạt 175.000 xe, chiếm 50% thị phần xe máy điện Việt Nam.
*Thị trường Mỹ:
VinFast đã chính thức ra mắt thị trường Mỹ vào tháng 11 năm 2022. VinFast đã nhận
được sự quan tâm của đông đảo khách hàng Mỹ, với hơn 65.000 đơn đặt hàng xe điện VF 8
và VF 9. Trong năm 2023, VinFast đặt mục tiêu bán ra 10.000 xe điện tại Mỹ. Ngoài ra, VinFast
cũng đang tích cực mở rộng thị trường ra các quốc gia khác trên thế giới, bao gồm châu Âu và Đông Nam Á.
Với những nỗ lực này, VinFast đang từng bước khẳng định vị thế của mình trên thị
trường ô tô, xe máy điện toàn cầu.
CHƯƠNG 4: PHÂN TÍCH CHUỖI CUNG ỨNG TOÀN CẦU CỦA VINFAST
* Mô hình chuỗi cung ứng của Vinfast: lOMoAR cPSD| 58950985 (Nguồn: internet)
1. Quản trị hệ thống thông tin và các ứng dụng công nghệ: (Nguồn: Misa Amis)
Cung cấp thông tin khách quan về nhu cầu thị trường, thị hiếu người dùng. Công ty căn
cứ vào phản ứng của khách hàng để điều chỉnh hoạt động thu hút, nâng cấp sản phẩm phù hợp.
Ngược lại, nếu chiều dữ liệu từ khách hàng đến nhà bán lẻ bị sai lệch sẽ tác động tiêu
cực đến doanh nghiệp. Ví dụ, số lượng sản phẩm tồn kho, nguyên vật liệu dự trữ tăng cao
nhưng nhu cầu mua giảm khiến toàn chuỗi cung ứng bị giảm thặng dư, gián đoạn lưu thông.