







Preview text:
lOMoAR cPSD| 59054137
BẢNG PHÂN CHIA CÔNG VIỆC NHÓM 3 Họ và tên MSSV Nhiệm vụ Tổng hợp word, làm nội
Ngô Thị Phương Anh(NT) 2100004306 dung câu 1 và câu 2, thuyết trình Trần Đặng Kim Uyên 2100004359 Làm power point, nội dung câu 2 Nguyễn Thị Minh Hiếu 2200003779 Làm nội dung câu 2
Thuyết trình và sửa nội Phan Thanh Nhân 2100003255 dung câu 1 lOMoAR cPSD| 59054137
Câu 1: Phân tích những yếu tố tác động đến tâm lí của người làm nhân sự,
chọn 1 vị trí cụ thể, những tác động ví dụ cảm xúc của họ, động cơ...
Vị trí: Chuyên viên tuyển dụng
Đối với vị trí này đòi hỏi là một người tốt nghiệp từ Cao Đẳng, Đại Học trở
lên. Sử dụng thành thạo word, excel và power point, bên cạnh đó có tìm hiểu qua
các kênh tuyển dụng như Vietnamwork, Job Street, Linkedln,...
Động cơ làm việc
Để ứng tuyển vào vị trí này là từ nhu cầu cần việc, nhu cầu về lương, tìm kiếm
môi trường làm việc tích cực, có cơ hội phát huy hết những kiến thức đã được học
tại trường, áp dụng những kỹ năng vào công việc thực tế.
Xây dựng mỗi quan hệ với các đối tác tuyển dụng: Họ mong muốn được học
hỏi những kinh nghiệm từ những người đi trước trong lĩnh vực nhân sự, va chạm
vào công việc vượt qua những thách thức để đạt được thành công cho cá nhân họ
và đóng góp cho tổ chức. Cảm xúc
Người làm chuyên viên nhân sự sẽ có nhiều cung bậc cảm xúc khác nhau trong
những hoạt động công việc hàng ngày của họ.
1. Vui vẻ, hạnh phúc
Đạt được mục tiêu tuyển dụng: Một trong những mục tiêu chính của chuyên
viên tuyển dụng là tìm kiếm được những ứng viên phù hợp cho các vị trí trong tổ
chức. Khi công việc tuyển dụng của họ thành công và đạt được mục tiêu này,
chuyên viên tuyển dụng sẽ cảm thấy hạnh phúc và hài lòng với kết quả đã đạt được.
Gặp gỡ những ứng viên tài năng và đa dạng: Chuyên viên tuyển dụng thường
có cơ hội gặp gỡ và làm việc với những ứng viên tài năng và đa dạng từ nhiều lĩnh
vực và nền văn hóa khác nhau. Việc này có thể mang lại niềm vui và hạnh phúc
cho chuyên viên tuyển dụng vì họ có thể học hỏi và khám phá những cá nhân độc đáo và tài năng.
Đóng góp vào quá trình phát triển tổ chức: Chuyên viên tuyển dụng đóng vai
trò quan trọng trong việc xây dựng đội ngũ nhân viên chất lượng và đáp ứng nhu
cầu nhân sự của tổ chức. Khi công việc của họ đóng góp vào sự phát triển và thành
công của tổ chức, chuyên viên tuyển dụng sẽ cảm thấy hạnh phúc và hài lòng với
đóng góp của mình.
2. Áp lực, căng thẳng
Quy trình tuyển dụng phức tạp: Quy trình tuyển dụng có thể rất phức tạp và đòi
hỏi nhiều bước, từ việc xác định nhu cầu tuyển dụng, đăng tuyển, sàng lọc hồ sơ,
phỏng vấn, kiểm tra tư cách và tham chiếu. Việc quản lý và điều phối tất cả các
giai đoạn này có thể tạo ra áp lực và căng thẳng cho chuyên viên tuyển dụng.
Áp lực thời gian: Trong một số trường hợp, chuyên viên tuyển dụng có thể đối
mặt với áp lực thời gian chặt chẽ. Họ có thể phải tìm kiếm ứng viên trong thời gian
ngắn, đáp ứng yêu cầu gấp của tổ chức hoặc điều chỉnh lịch trình tuyển dụng do lOMoAR cPSD| 59054137
các yếu tố bên ngoài như sự khẩn cấp của dự án hoặc sự điều chỉnh kế hoạch tổ chức.
Kết quả công việc không đạt: Trong quá trình tuyển dụng, chuyên viên có thể
phải đối mặt với nhiều ứng viên không phù hợp hoặc không đạt yêu cầu của vị trí
tuyển dụng. Việc đánh giá và loại bỏ những ứng viên này có thể đòi hỏi sự quyết
đoán và khả năng đưa ra quyết định khó khăn, đồng thời tạo ra áp lực và căng thẳng
trong việc chọn lọc ứng viên. Tính cách
Tính cách của một người làm chuyên viên tuyển dụng có thể khác nhau tùy
thuộc vào cá nhân nhưng đặc thù ở vị trí này đòi hỏi chuyên viên tuyển dụng cần
là một người hướng ngoại, cởi mở, tỉ mỉ, chăm chỉ và thích trải nghiệm.
Chúng ta có thể sử dụng các công cụ để có thể đánh giá cho vị trí này. Nhóm
em chọn lựa công cụ DISC để phân tích đánh giá cho vị trí chuyên viên tuyển dụng.
Và nhóm em nhận thấy rằng chuyên viên tuyển dụng thường là những người thuộc
nhóm S (kiên định) và nhóm C (tuân thủ).
Nhóm "S" (Steadiness): Những người thuộc nhóm "S" thường có tính cách ổn
định, hòa đồng và thích làm việc trong môi trường ổn định. Họ thường có khả năng
lắng nghe tốt, quan tâm đến người khác và thể hiện sự nhạy bén với cảm xúc của
người khác. Họ thường có xu hướng làm việc một cách kiên nhẫn, cẩn thận và tuân thủ quy trình.
Nhóm "C" (Compliance): Những người thuộc nhóm "C" thường có tính cách
cẩn thận, tỉ mỉ và chính xác. Họ có xu hướng làm việc theo quy tắc, tuân thủ quy
trình và chú trọng đến chi tiết. Họ có khả năng quản lý thông tin và dữ liệu một
cách hiệu quả, kiểm soát quy trình tuyển dụng và đảm bảo tính chính xác trong công việc.
1. Giao tiếp với nhiều người: Chuyên viên tuyển dụng thường phải gặp gỡ
và giao tiếp với nhiều ứng viên và đối tác khác nhau. Việc này có thể làm
thay đổi tính cách của họ, từ việc trở nên tự tin và hướng ngoại đến việc trở
nên cẩn trọng và thận trọng hơn trong giao.
2. Kinh nghiệm làm việc: Kinh nghiệm làm việc cũng có thể ảnh hưởng đến
tính cách của chuyên viên tuyển dụng. Nếu chuyên viên có nhiều kinh
nghiệm và thành công trong công việc, họ có thể trở nên tự tin, quyết đoán
và chủ động hơn trong quá trình tuyển dụng. Ngược lại, nếu chuyên viên
còn non nớt trong nghề, họ có thể trở nên e dè, do dự và thiếu tự tin khi làm việc.
3. Môi trường làm việc: Môi trường làm việc có thể ảnh hưởng đến tính cách
của chuyên viên tuyển dụng. Nếu môi trường làm việc thoải mái, hòa đồng,
chuyên viên có thể trở nên tự tin, nhanh nhẹn và thân thiện hơn.
Ngược lại, nếu môi trường làm việc căng thẳng, áp lực cao có thể làm
chuyên viên trở nên căng thẳng, khó chịu và khó gặp gỡ. lOMoAR cPSD| 59054137
4. Giao tiếp với nhiều người: Chuyên viên tuyển dụng thường phải gặp gỡ
và giao tiếp với nhiều ứng viên và đối tác khác nhau. Việc này có thể làm
thay đổi tính cách của họ, từ việc trở nên tự tin và hướng ngoại đến việc trở
nên cẩn trọng và thận trọng hơn trong giao..
Câu 2: Trình bày công cụ trắc nghiệm tâm lí bất kì thiết kế 10 câu hỏi, áp
dụng công cụ trắc nghiệm tâm lí đó vào 1 vị trí cụ thể, lịch sử, tác giả là ai,
đặc điểm của công cụ tâm lý đó, trong lĩnh vực nào? DISC
LỊCH SỬ - TÁC GIẢ:
Lý thuyết DISC được nghiên cứu và tạo ra bởi nhà tâm lý học William
Moulton Marston – còn được gọi là Charles Moulton. 4 Chữ cái D, I, S, C đại diện
cho 4 nhóm tính cách của con người: Dominance (thống trị), Influence (ảnh
hưởng), Steadiness (kiên định), Compliance (tuân thủ).
Khi tiến hành nghiên cứu về cảm xúc của con người, Marston đưa ra những
phát hiện của mình trong cuốn sách năm 1928 với cái tên Emotions of Normal
People, trong đó ông giải thích rằng mọi người thể hiện cảm xúc của họ thông qua
bốn loại hành vi: Thống trị (D), Ảnh hưởng (I), Kiên định (S), và Tuân thủ (C).
Mặc dù Marston đóng góp vào việc làm ra trắc nghiệm DISC nhưng ông
không phải là người chính thức tạo ra bài trắc nghiệm này. Năm 1956, Walter
Clarke, một nhà tâm lý học đã tạo ra trắc nghiệm DISC dựa trên lý thuyết mô hình DISC của Marston.
Ông đã làm việc này bằng việc đưa ra bảng Activity Vector Analysis – một
danh sách các tính từ được đưa ra để đòi hỏi mọi người chỉ những từ nào miêu tả
chuẩn xác nhất về bản thân họ.
TRƯỜNG HỢP SỬ DỤNG:
DISC được áp dụng rộng rãi trong những lĩnh vực quản trị nhân sự, tuyển
dụng, môi trường làm việc hay thậm chí là đời sống cá nhân, các nhà tuyển dụng
có thể xác định được tính cách và tiềm năng của ứng viên cho công việc và các cá
nhân cũng có thể phát huy được thế mạnh của mình trên con đường sự nghiệp và
áp dụng DISC để đọc vị người đối diện. Đánh giá này xuất hiện lần đầu nhằm đem
vào sử dụng trong trường hợp các công ty cần hỗ trợ trong việc chọn lựa nhân sự có trình độ. ĐẶC ĐIỂM
NHÓM NGƯỜI THỐNG TRỊ (DOMINANCE)
- Những người nằm ở nhóm này quan trọng kết quả hoàn thành. Họ luôn tự tin
và có động lực cạnh tranh để chiến thắng hoặc đạt được thành công. Họ luôn
chấp nhận thử thách và hành động tức thì để đạt được kết quả. Những người
thuộc nhóm thống trị thường được mô tả là mạnh mẽ, tự tin, nhanh nhẹn, luôn
tiếp cận vấn đề một cách trực tiếp. Tuy nhiên, điểm trừ của những người thuộc
nhóm thống trị là đôi khi họ bị giới hạn bởi sự vô tâm đối với người khác, thiếu
kiên nhẫn và hay hoài nghi. lOMoAR cPSD| 59054137
Mục tiêu của Nhóm người thống trị:
- Đạt được mục tiêu xuất sắc. - Độc lập.
- Hướng đến những cơ hội mới.
- Kiểm soát những người đối diện.
Tuy nhiên, họ sẽ gặp khó khăn khi phải:
- Thể hiện sự kiên nhẫn.
- Làm việc với tiểu tiết.
• NHÓM NGƯỜI TẠO ẢNH HƯỞNG (INFLUENCE):
- Người thuộc nhóm này chú trọng vào việc tạo ra ảnh hưởng hoặc thuyết phục
người khác bằng sự cởi mở và những mối quan hệ của mình. Họ thường được
mô tả là những người có sức thuyết phục, nhiệt tình, ấm áp, luôn lạc quan và
có niềm tin vào người khác. Phong cách làm việc của họ luôn thể hiện sự hợp
tác và nhiệt tình. Những người Tạo ảnh hưởng thường được thúc đẩy bởi sự
công nhận xã hội (hoặc một nhóm người trong xã hội), vào những hoạt động
nhóm và sự phát triển các mối quan hệ.
Mục tiêu của Nhóm người Tạo ảnh hưởng:
- Đạt được chiến thắng bằng sự tinh tế.
- Có tình bạn tốt và luôn cảm thấy hạnh phúc.
- Có uy tín trong cộng đồng hoặc đạt được sự nổi tiếng.
Tuy nhiên, họ sẽ gặp khó khăn khi phải:
- Nói chuyện trực tiếp và thẳng thắn.
- Tập trung trong thời gian dài. - Bị kiểm soát.
• NHÓM NGƯỜI KIÊN ĐỊNH (STEADINESS)
- Những người thuộc nhóm này thường chú trọng vào sự hợp tác, chân thành, tin
cậy. Họ thường tìm động lực thúc đẩy từ sự cộng tác, phối hợp, đánh giá chân
thành và hướng đến duy trì sự ổn định. Những người Kiên Định thường được
mô tả là bình tĩnh, kiên nhẫn, có thể lường trước sự việc, ổn định và nhất quán.
Họ cũng có thể bị giới hạn bởi sự thiếu quyết đoán, sợ thay đổi, sợ sự mất ổn
định và bị xúc phạm. Tuy nhiên, bạn có thể tin tưởng vào giá trị trung thành và
sự đảm bảo của những người Kiên Định.
Mục tiêu của Nhóm người Kiên định:
- Đạt được thành tích cá nhân.
- Đạt được sự ủng hộ của một nhóm người.
- Làm việc trong môi trường được kiểm soát và không có nhiều sự thay đổi.
Tuy nhiên, họ sẽ gặp khó khăn khi phải:
- Thích ứng với môi trường luôn thay đổi hoặc những mục tiêu được đặt ra không rõ ràng.
- Phải làm nhiều việc cùng một lúc. lOMoAR cPSD| 59054137
- Phải cạnh tranh/đối đầu với người khác.
• NHÓM NGƯỜI TUÂN THỦ (COMPLIANCE)
- Những người thuộc nhóm Tuân thủ này thường chú trọng vào chất lượng và độ
chính xác, chuyên môn, năng lực cá nhân. Họ thường tìm thấy động lực từ
những cơ hội để đạt được kiến thức, những cơ hội giúp họ thể hiện được chuyên
môn cá nhân và tạo ra những sản phẩm có chất lượng. Người Tuân thủ để ý đến
độ chính xác trong công việc, họ luôn muốn duy trì sự ổn định trong công việc.
Những người Tuân thủ cũng thường được được mô tả là người cẩn thận, thận
trọng, làm việc có hệ thống, chính xác, lịch sự và biết cách ngoại giao. Tuy
nhiên, họ có thể bị giới hạn bởi việc bị quá tải, bản thân bị cô lập, những lời
chỉ trích và mắc sai lầm.
Mục tiêu của những người Tuân thủ là:
- Có quy trình làm việc khách quan, đạt độ chính xác cao.
- Phong thái ổn định và tin cậy.
- Có kiến thức và chuyên môn. - Phát triển cá nhân.
Tuy nhiên, họ sẽ gặp khó khăn khi phải: - Bỏ dở công việc.
- Phải thỏa hiệp vì lợi ích của cả nhóm.
- Tham gia các sự kiện xã hội.
- Phải đưa ra quyết định nhanh chóng. VÍ DỤ
Giống bạn nhất Khác bạn nhất 1.
Enthusiastic: hăng hái, nhiệt tình, say mê
Daring: táo bạo và cả gan
Diplomatic: có tài ngoại giao
Satisfied: dễ thỏa mãn 2.
Adventurous: liều lĩnh, thích phiêu lưu, mạo hiểm
Insightful: sâu sắc, sáng suốt
Out-going: dễ gần, thoải mái, chan hòa Moderate: ôn hòa 3. Expressive: diễn cảm
Conscientious: tận tâm, chu đáo, tỉ mỉ lOMoAR cPSD| 59054137
Dominant: lấn át, thống trị
Responsive: đáp ứng nhiệt tình, phản ứng nhanh 4. Brave: can đảm
Inspiring: gây cảm hứng
Submissive: dễ phục tùng Timid: nhút nhát 5.
Reserved: kín đáo, dè dặt
Obliging: sẵn lòng giúp đỡ
Strong-willed: cứng cỏi, kiên quyết
Cheerful: vui vẻ, tươi cười 6.
Stimulating: kích thích, khuyến khích Kind: tử tế
Perceptive: dễ cảm thụ Independent: độc lập 7. Competitive: cạnh tranh
Considerate: ân cần, chu đáo
Joyful: mang lại niềm vui
Private: ẩn dật, cách biệt 8. Attractive: cuốn hút Introspective: nội tâm
Stubborn: cứng đầu
Predictable: dễ đoán 9.
Logical: suy nghĩ theo logic
Bold: táo bạo, dũng cảm
Loyal: trung thành Charming:
duyên dáng, quyến rũ 10.
Sociable: dễ gần, chan hòa Patient: kiên nhẫn Self-reliant: tự lực
Soft spoken: nói năng nhẹ nhàng lOMoAR cPSD| 59054137
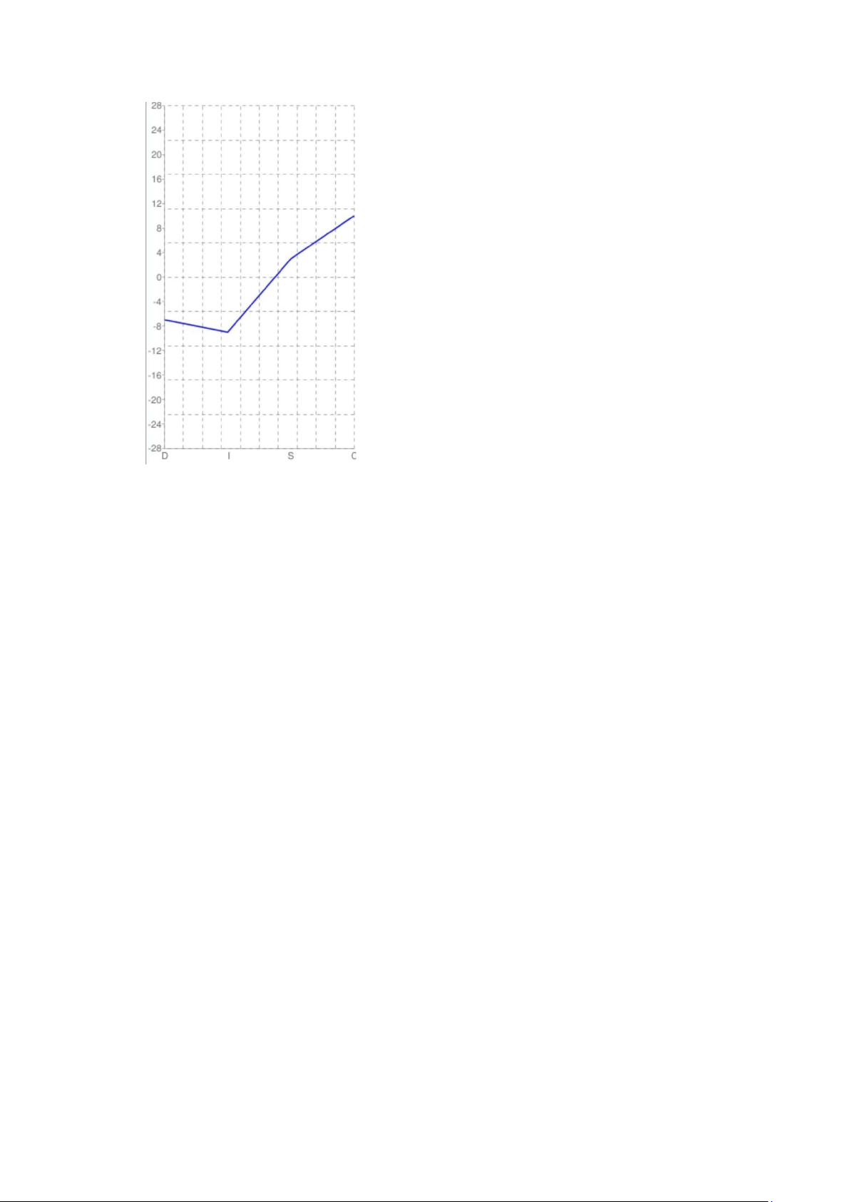
Sau khi thực hiện bài test xong chúng ta sẽ nhận được kết quả như trên, đây
là biểu đồ giúp chúng ta nhận biết mình thuộc nhóm người nào trong công cụ DISC.