









Preview text:
lOMoAR cPSD| 48302938
III. Sự phát triển của quá trình quá độ
1. Giai đoạn đầu (1975 – 1986)
Xếp hàng mua lương thực thời bao cấp
Sau thắng lợi năm 1975, Việt Nam bước vào một thời kỳ mới với niềm vui thống nhất
đất nước nhưng cũng đối mặt với những thách thức to lớn về kinh tế. Chiến tranh kéo dài
hơn 20 năm đã để lại hậu quả nặng nề, làm kiệt quệ nền kinh tế, hạ tầng cơ sở bị tàn phá
nghiêm trọng, đời sống người dân gặp muôn vàn khó khăn. Giai đoạn này là thời kỳ khởi
đầu của quá trình quá độ lên chủ nghĩa xã hội, nhưng cũng đồng thời là thời kỳ mà Việt
Nam phải trải qua những thử thách khắc nghiệt nhất trong lịch sử kinh tế của mình.
Thời kỳ 1975-1986: Nền kinh tế kế hoạch hóa tập trung, bao cấp
Để khôi phục nền kinh tế bị tàn phá nghiêm trọng bởi chiến tranh, chính phủ Việt Nam
đã triển khai một loạt các chính sách và biện pháp nhằm tái thiết và phát triển đất nước.
Dưới đây là những bước đi quan trọng mà chính phủ đã thực hiện:
1. Quốc hữu hóa và hợp tác hóa
• Quốc hữu hóa doanh nghiệp: Chính phủ tiến hành quốc hữu hóa các doanh nghiệp tư nhân
tại miền Nam, bao gồm các nhà máy, xí nghiệp, và cơ sở sản xuất. Mục tiêu của quốc hữu hóa
là xây dựng một nền kinh tế xã hội chủ nghĩa, trong đó nhà nước nắm quyền kiểm soát toàn bộ
các hoạt động sản xuất và kinh doanh.
• Hợp tác hóa nông nghiệp: Chính phủ triển khai chính sách hợp tác hóa nông nghiệp trên toàn
quốc. Ở miền Bắc, quá trình này đã diễn ra trước đó, nhưng sau năm 1975, nó được mở rộng
sang miền Nam. Các nông dân được tổ chức vào các hợp tác xã, với hy vọng tăng cường sản
xuất nông nghiệp và cải thiện đời sống nông dân. lOMoAR cPSD| 48302938
2. Kế hoạch hóa tập trung •
Thiết lập các kế hoạch phát triển kinh tế quốc dân: Chính phủ thực hiện các kế hoạch
phát triển kinh tế theo chu kỳ năm năm. Các kế hoạch này tập trung vào phát triển công
nghiệp nặng, nông nghiệp, và cơ sở hạ tầng. Chính phủ đặt ra mục tiêu cụ thể cho từng
ngành kinh tế, và mọi hoạt động sản xuất, phân phối đều phải tuân theo các chỉ tiêu do nhà nước đặt ra. •
Kiểm soát sản xuất và phân phối: Chính phủ nắm quyền kiểm soát toàn bộ các hoạt
động kinh tế, từ sản xuất đến phân phối hàng hóa. Mọi hàng hóa thiết yếu được phân phối
qua hệ thống tem phiếu, nhằm đảm bảo sự công bằng trong bối cảnh thiếu hụt hàng hóa nghiêm trọng.
3. Tái thiết cơ sở hạ tầng •
Khôi phục và xây dựng hạ tầng giao thông: Chính phủ tập trung khôi phục các tuyến
đường bộ, đường sắt, và cầu cống bị phá hủy trong chiến tranh. Việc khôi phục hệ thống
giao thông là ưu tiên hàng đầu để nối liền các vùng kinh tế và đảm bảo lưu thông hàng hóa, nhân lực. •
Xây dựng lại các cơ sở sản xuất: Nhiều nhà máy, xí nghiệp bị hư hại được sửa chữa và
khôi phục hoạt động. Chính phủ cũng đầu tư xây dựng các nhà máy mới, đặc biệt là trong
các ngành công nghiệp nặng như thép, xi măng, và hóa chất.
4. Phát triển nông nghiệp •
Tập trung vào sản xuất lương thực: Nông nghiệp được coi là trọng tâm của nền kinh tế
sau chiến tranh. Chính phủ thực hiện các chương trình cải tạo đất, mở rộng diện tích canh
tác, và xây dựng các công trình thủy lợi để tăng sản lượng lương thực. Tuy nhiên, do
những hạn chế trong quản lý và cơ chế hợp tác hóa, sản lượng nông nghiệp vẫn chưa đáp ứng được kỳ vọng. •
Cải cách ruộng đất: Sau năm 1975, chính phủ tiếp tục thực hiện chính sách cải cách
ruộng đất ở miền Nam, chia lại đất đai cho nông dân để đảm bảo công bằng xã hội và khuyến khích sản xuất. lOMoAR cPSD| 48302938
5. Phát triển công nghiệp •
Tập trung vào công nghiệp nặng: Chính phủ xác định công nghiệp nặng là nền tảng của
nền kinh tế xã hội chủ nghĩa. Các nhà máy sản xuất thép, xi măng, và cơ khí được xây
dựng và phát triển với sự hỗ trợ từ Liên Xô và các nước xã hội chủ nghĩa khác. •
Phát triển công nghiệp quốc doanh: Toàn bộ các cơ sở công nghiệp đều thuộc sở hữu
của nhà nước. Chính phủ ưu tiên đầu tư vào các ngành công nghiệp chiến lược, mặc dù
nhiều dự án gặp khó khăn do thiếu vốn, công nghệ và kinh nghiệm quản lý.
6. Chính sách tài chính và tiền tệ •
Kiểm soát lạm phát: Sau chiến tranh, Việt Nam đối mặt với tình trạng lạm phát cao.
Chính phủ đã cố gắng kiểm soát lạm phát thông qua các biện pháp thắt chặt tiền tệ và
giảm chi tiêu công. Tuy nhiên, hiệu quả của các biện pháp này còn hạn chế. •
Huy động vốn qua tiết kiệm: Để khuyến khích đầu tư và tích lũy vốn, chính phủ khuyến
khích người dân gửi tiền tiết kiệm vào ngân hàng nhà nước. Tuy nhiên, lạm phát cao
khiến giá trị tiền gửi giảm sút, gây mất lòng tin vào hệ thống tài chính.
7. Hợp tác và viện trợ quốc tế •
Nhận viện trợ từ các nước xã hội chủ nghĩa: Việt Nam nhận được sự hỗ trợ về kinh tế
và quân sự từ Liên Xô, Trung Quốc, và các nước xã hội chủ nghĩa khác. Viện trợ này bao
gồm các khoản vay ưu đãi, thiết bị công nghiệp, và chuyên gia kỹ thuật để giúp tái thiết đất nước. •
Tìm kiếm quan hệ thương mại với các nước khác: Mặc dù bị cấm vận bởi Mỹ và các
nước phương Tây, Việt Nam đã nỗ lực mở rộng quan hệ thương mại với các nước trong
khu vực và thế giới, đặc biệt là với các nước trong khối xã hội chủ nghĩa.
8. Chính sách xã hội •
Giải quyết hậu quả chiến tranh: Chính phủ triển khai các chương trình để hỗ trợ những
người bị ảnh hưởng bởi chiến tranh, bao gồm các cựu chiến binh, gia đình liệt sĩ, và người
tàn tật. Các chính sách an sinh xã hội được đẩy mạnh nhằm đảm bảo cuộc sống ổn định cho người dân. •
Giáo dục và y tế: Chính phủ tập trung phát triển hệ thống giáo dục và y tế, với mục tiêu
nâng cao chất lượng nguồn nhân lực và chăm sóc sức khỏe cộng đồng. Nhiều trường học,
bệnh viện được xây dựng lại và mở rộng, mặc dù vẫn còn nhiều hạn chế do thiếu nguồn lực. lOMoAR cPSD| 48302938
Thời kỳ này, Nhà nước quản lý nền kinh tế chủ yếu bằng mệnh lệnh hành chính dựa trên hệ
thống chỉ tiêu pháp lệnh áp đặt từ trên xuống dưới. Các doanh nghiệp hoạt động trên cơ sở các quyết
định của cơ quan nhà nước có thẩm quyền và các chỉ tiêu pháp lệnh được giao. Tổng sản phẩm trong
nước bình quân mỗi năm trong giai đoạn 1977-1985 tăng 4,65%, trong đó: nông, lâm nghiệp tăng
4,49%/năm; công nghiệp tăng 5,54%/năm và xây dựng tăng 2,18%/năm. Theo loại hình sở hữu, sở
hữu quốc doanh tăng 4,29%; sở hữu tập thể tăng 10,26% và sở hữu tư nhân, cá thể tăng 0,71%. Nhìn
chung, tăng trưởng kinh tế trong thời kỳ này thấp và kém hiệu quả. Nông, lâm nghiệp là ngành kinh tế
quan trọng (chiếm 38,92% GDP trong giai đoạn này), nhưng chủ yếu dựa vào độc canh trồng lúa
nước. Công nghiệp được dồn lực đầu tư nên có mức tăng khá hơn nông nghiệp, nhưng tỷ trọng trong
toàn nền kinh tế còn thấp (chiếm 39,74% GDP), chưa là động lực để
thúc đẩy nền kinh tế tăng trưởng. Diễ n biến lạm phát
Mặc dù chính phủ đã triển khai nhiều chính sách và biện pháp để khôi phục nền kinh
tế sau năm 1975, nhưng do nhiều nguyên nhân khác nhau, bao gồm cả những hạn chế của
mô hình kinh tế kế hoạch hóa tập trung, kết quả đạt được không như mong đợi. Nền kinh
tế vẫn gặp nhiều khó khăn, bao gồm sản xuất đình trệ, lạm phát cao, thiếu lương thực và
hàng hóa, dẫn đến một cuộc khủng hoảng kinh tế nghiêm trọng trong những năm 1980.
Những khó khăn này đã thúc đẩy sự nhận thức về sự cần thiết của cải cách, dẫn đến chính
sách Đổi mới vào năm 1986, mở ra một giai đoạn phát triển kinh tế mới cho Việt Nam. lOMoAR cPSD| 48302938
2. Giai đoạn đổi mới (1986 – nay)
Thời kỳ 1986-2000: Thực hiện đường lối đổi mới nền kinh tế
Trong thời kỳ quá độ từ 1986 đến 2000, Chính phủ Việt Nam đã thực hiện một loạt
các chính sách cải cách nhằm phát triển kinh tế và chuyển đổi từ nền kinh tế kế
hoạch hóa tập trung sang nền kinh tế thị trường định hướng xã hội chủ nghĩa. Đây
là giai đoạn quan trọng của công cuộc Đổi mới, với những chính sách chủ chốt như sau:
1. Đổi mới cơ chế quản lý kinh tế •
Xóa bỏ cơ chế kế hoạch hóa tập trung bao cấp: Chính phủ chuyển từ mô hình
kinh tế kế hoạch hóa tập trung sang cơ chế thị trường với sự quản lý của Nhà nước,
cho phép thị trường đóng vai trò quan trọng trong việc điều tiết sản xuất và phân phối hàng hóa. •
Thực hiện chính sách khoán sản phẩm trong nông nghiệp: Chính sách khoán 10
được áp dụng, giao đất cho nông dân tự chủ sản xuất, giúp tăng năng suất và sản
lượng nông nghiệp, góp phần giải quyết vấn đề lương thực và ổn định đời sống nông thôn.
2. Mở cửa và hội nhập kinh tế quốc tế •
Mở cửa thương mại và thu hút đầu tư nước ngoài: Chính phủ khuyến khích
xuất khẩu, nhập khẩu và thu hút vốn đầu tư trực tiếp nước ngoài (FDI) bằng cách
ban hành Luật Đầu tư nước ngoài năm 1987 và cải thiện môi trường đầu tư. •
Tham gia các tổ chức kinh tế quốc tế: Việt Nam dần tham gia vào các tổ chức
quốc tế như ASEAN (1995) và các tổ chức kinh tế khác, mở rộng quan hệ thương
mại và hội nhập kinh tế quốc tế. lOMoAR cPSD| 48302938
3. Phát triển kinh tế nhiều thành phần •
Khuyến khích phát triển các thành phần kinh tế: Chính phủ thừa nhận và
khuyến khích sự phát triển của nhiều thành phần kinh tế, bao gồm kinh tế nhà
nước, kinh tế tư nhân, kinh tế tập thể, và kinh tế có vốn đầu tư nước ngoài. Điều
này tạo ra sự cạnh tranh và năng động trong nền kinh tế. •
Cổ phần hóa doanh nghiệp nhà nước: Chính phủ thực hiện cổ phần hóa một số
doanh nghiệp nhà nước nhằm nâng cao hiệu quả hoạt động, tăng cường sự tham gia
của tư nhân trong các lĩnh vực kinh tế.
4. Cải cách tài chính và ngân hàng •
Cải cách hệ thống tài chính: Chính phủ tiến hành cải cách hệ thống tài chính,
thành lập các ngân hàng thương mại và mở rộng các dịch vụ tài chính, nhằm tăng
cường huy động và phân bổ vốn cho phát triển kinh tế. •
Kiểm soát lạm phát và ổn định tiền tệ: Chính sách tài chính và tiền tệ được điều
chỉnh để kiểm soát lạm phát, ổn định giá trị tiền tệ, và tạo điều kiện thuận lợi cho tăng trưởng kinh tế.
5. Cải cách hành chính và pháp lý •
Đơn giản hóa thủ tục hành chính: Chính phủ thực hiện cải cách hành chính, giảm
bớt các thủ tục phức tạp, tạo môi trường kinh doanh thuận lợi cho các doanh nghiệp. •
Hoàn thiện hệ thống pháp lý: Xây dựng và hoàn thiện hệ thống pháp luật để đảm
bảo quyền sở hữu, quyền tự do kinh doanh, và bảo vệ quyền lợi của các nhà đầu tư,
qua đó tạo nền tảng pháp lý vững chắc cho nền kinh tế thị trường.
6. Phát triển cơ sở hạ tầng •
Đầu tư vào cơ sở hạ tầng: Chính phủ đẩy mạnh đầu tư xây dựng cơ sở hạ tầng
như giao thông, điện lực, viễn thông, và các khu công nghiệp, tạo điều kiện thuận
lợi cho sản xuất và lưu thông hàng hóa. lOMoAR cPSD| 48302938 •
Phát triển nông thôn: Nhiều chính sách hỗ trợ phát triển nông thôn được thực
hiện, bao gồm cải thiện hạ tầng nông thôn, cung cấp tín dụng ưu đãi cho nông dân,
và hỗ trợ chuyển giao công nghệ sản xuất.
7. Phát triển nguồn nhân lực •
Cải cách giáo dục và đào tạo: Chính phủ chú trọng vào việc nâng cao chất lượng
giáo dục, đào tạo nguồn nhân lực chất lượng cao để đáp ứng yêu cầu của quá trình
công nghiệp hóa, hiện đại hóa. •
Chính sách về khoa học công nghệ: Khuyến khích nghiên cứu và ứng dụng khoa
học công nghệ trong sản xuất và quản lý, nhằm nâng cao năng suất và chất lượng
sản phẩm, tăng cường năng lực cạnh tranh của nền kinh tế.
Đường lối đổi mới của Đảng nhanh chóng được sự hưởng ứng rộng rãi của quần chúng nhân
dân, khơi dậy tiềm năng và sức sáng tạo của các loại hình kinh tế để phát triển sản xuất, tạo
thêm nhiều việc làm cho người lao động, tăng sản phẩm cho xã hội. Giai đoạn 1986-2000,
tổng sản phẩm trong nước bình quân mỗi năm tăng 6,51%; trong đó: khu vực nông, lâm nghiệp
và thủy sản tăng 3,72%; khu vực công nghiệp và xây dựng tăng 9,06%; khu vực dịch vụ tăng
6,66%. Nếu so với tốc độ tăng chung của kinh tế thế giới và sự giảm sút nhanh của các nền
kinh tế kế hoạch hóa tập trung Đông Âu và Liên Xô khi chuyển sang kinh tế thị trường, thì các
tốc độ tăng trên của nền kinh tế Việt Nam là một kết quả đáng ghi lOMoAR cPSD| 48302938
nhận. Cơ cấu kinh tế từng bước chuyển dịch theo hướ ng đẩy mạnh công nghiệp hóa, hiện đại hoá.
Tăng trưởng GDP Việt Nam theo ngành, 1986-2021 (%). (Ng uồn: Tổng cục Thống kê)
Giai đoạn sau(sau 2000) của thời kỳ quá độ lên chủ nghĩa xã hội ở Việt Nam là một
giai đoạn đầy biến động và đổi mới, đánh dấu những bước chuyển quan trọng trong
quá trình xây dựng và phát triển đất nước.
Từ 2000-2002, cơ bản hình thành chủ nghĩa, nằm trong bối cảnh chung của công cuộc
đổi mới và quá trình hội nhập quốc tế sâu rộng của Việt Nam. Đây là giai đoạn tiếp nối
những thành tựu của thập niên 90, đồng thời cũng đối mặt với những thách thức mới.
· Hội nhập quốc tế sâu rộng, mở rộng giao thương
· Đổi mới toàn diện: Đổi mới tư duy, đổi mới thể chế, đổi mới mô hình tăng trưởng.
· Mở cửa nền kinh tế: Tích cực tham gia vào quá trình toàn cầu hóa.
· Phát triển đa dạng các thành phần kinh tế: Nhà nước, có vốn đầu tư nước ngoài, tư nhân.
Thời kỳ 2001 đến nay: Thời kỳ hội nhập quốc tế sâu rộng lOMoAR cPSD| 48302938
Trong thời kỳ này, đất nước ta thực hiện hai chiến lược phát triển kinh tế – xã hội là Chiến lược 2001-
2010 và Chiến lược 2011-2020 nhằm xây dựng nước Việt Nam “dân giàu, nước mạnh, xã hội công
bằng, dân chủ, văn minh” theo phương châm “Việt Nam sẵn sàng là bạn, là đối tác tin cậy của tất cả
các nước trong cộng đồng quốc tế trên nguyên tắc tôn trọng độc lập chủ quyền và toàn vẹn lãnh thổ,
bình đẳng cùng có lợi, không can thiệp công việc nội bộ, cùng phấn đấu vì hoà bình, độc lập và phát
triển”. Do tranh thủ được thời cơ, thuận lợi, vượt qua khó khăn, thách thức, nên kinh tế – xã hội nước
ta đã có những biến đổi quan trọng, đạt được nhiều thành tựu to lớn. Kinh tế liên tục tăng trưởng đưa
nước ta ra khỏi tình trạng kém phát triển, bước vào nhóm nước đang phát triển có mức thu nhập trung
bình thấp. Quy mô nền kinh tế ngày càng mở rộng, GDP năm 2019 gấp 12,5 lần năm 2001. Tốc độ
tăng GDP tương đối cao, bình quân năm trong giai đoạn 2001-2010 tăng 7,26%, đạt xấp xỉ tốc độ tăng
7,56%/năm của Chiến lược ổn định và phát triển kinh tế – xã hội 1991-2000, đây là một thành tựu phát
triển kinh tế rất quan trọng của đất nước ta trong giai đoạn này. Trong giai đoạn 2011-2019, GDP tăng
6,3%/năm, trong đó năm 2018 tăng 7,08% và là mức tăng cao nhất kể từ năm 2008.
Năm 2008, nước ta đã ra khỏi nhóm nước và vùng lãnh thổ thu nhập thấp để gia nhập nhóm nước và
vùng lãnh thổ thu nhập trung bình thấp, đất nước thoát khỏi tình trạng kém phát triển, đó là thành tựu
nổi bật nhất trong sự nghiệp xây dựng và phát triển đất nước trong thời kỳ này. GDP bình quân đầu
người năm 2019 đạt 2.715 USD, gấp 15 lần năm 1990 ; thu nhập bình quân đầu người 1 tháng đạt
4.294,5 nghìn đồng, gấp 12 lần năm 2002. Chất lượng tăng trưởng kinh tế dần dịch chuyển sang chiều
sâu, thể hiện ở mức đóng góp của năng suất các nhân tố tổng hợp (TFP) trong tăng trưởng kinh tế
ngày một lớn. Năng suất lao động (NSLĐ) ngày càng được cải thiện đáng kể. Trong giai đoạn 2016-
2019, NSLĐ toàn nền kinh tế tăng 5,86%/năm, cao hơn tốc độ 4,35%/năm của giai đoạn 2011-2015.
Cơ cấu kinh tế nước ta đã bước đầu chuyển dịch theo hướng hiện đại. Tỷ trọng các ngành, trình độ
công nghệ sản xuất, cơ cấu lao động đã chuyển dịch theo hướng tích cực; tỷ trọng lao động qua đào
tạo của các ngành kinh tế đáp ứng ngày càng tốt hơn yêu cầu phát triển kinh tế – xã hội và hội nhập quốc tế. lOMoAR cPSD| 48302938
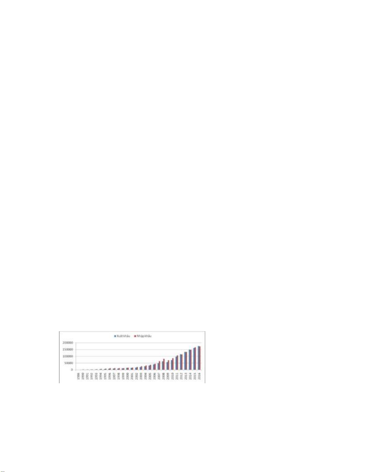
Hoạt động kinh tế đối ngoại phát triển toàn diện và sâu rộng, đưa nước ta hội nhập ngày càng đầy đủ
với kinh tế khu vực và thế giới. Tổng mức lưu chuyển hàng hóa ngoại thương thực hiện trong giai
đoạn 2011-2019 đạt 3.100,3 tỷ USD, gấp 20,2 lần giai đoạn 1991-2000 và gấp 3,6 lần giai đoạn 2001-
2010. Tỷ lệ tổng kim ngạch xuất nhập khẩu so với GDP từ 112,5% năm 2000 tăng lên 142,2% năm
2005; 152,2% năm 2010 và 210,4% vào năm 2019. Điều này cho thấy nền kinh tế nước ta có độ mở
ngày càng cao và tăng lên tương đối nhanh, nước ta đã khai thác được thế mạnh của kinh tế trong
nước và tranh thủ được thị trường thế giới.