










Preview text:
lOMoAR cPSD| 58833082 TailieuVNU.com Xét trên 1 đoạn [a. b]
0<𝑚𝑛 ≤ |𝑓(𝑛)(𝑥)| ≤ 𝑀𝑛 < +𝑣ô 𝑐ù𝑛𝑔 Sai số 1. Chương 2: • Chia đôi:
Dừng ở lần thứ n ta có: =
𝑎𝑛𝑎𝑛 là nghiệm, sai số là:
|𝑎𝑛 − 𝑛𝑔ℎ𝑖ệ𝑚| 2-a)
Lấy 𝑏𝑛 là nghiệm, sai số là:
|𝑏𝑛 − 𝑛𝑔ℎ𝑖ệ𝑚| 2-a)
Lấy 𝑎𝑛+𝑏𝑛 là nghiệm, sai số là: 2 𝑎𝑛 + 𝑏𝑛 𝑏𝑛 − 𝑎𝑛 1 |
− 𝑛𝑔ℎ𝑖ệ𝑚| ≤ 2 2 •
Điểm bất động: |𝑥𝑛 − ξ|≤ 1
−𝑀𝑀11 |𝑥𝑛−1 − 𝑥𝑛| lOMoAR cPSD| 58833082 TailieuVNU.com |𝑥𝑛 1𝑀− 𝑛 𝑥0| • Newton: 𝑀2 2 |𝑥𝑛
| ≤|𝑥𝑛−𝑥𝑛−1| • Dây cung: |𝑥𝑛
𝑀1 − 𝑚1 |𝑥𝑛 − 𝑥𝑛−1| • Điểm sai:
Ko thấy nói, chậm hơn dây cung. 2. Chương 3: • Jacobi: (𝑘) − 𝑥∗‖ ≤ ‖𝑎‖𝑝
. ‖𝑥(𝑘) − 𝑥(𝑘−1)‖ ‖𝑥 𝑝 1 − ‖𝑎‖𝑝 𝑝
‖𝑥(𝑘) − 𝑥∗‖≤
(‖𝑎‖𝑝)𝑘 . ‖𝑥(1) − 𝑥(0)‖ 𝑝 1 − ‖𝑎‖𝑝 𝑝 • Gauss-seidel: Chuẩn hàng ∞:
pi=∑𝑖𝑗−=11|𝑎𝑖𝑗|:hàng i ma trận tam giác dưới đường chéo chính
qi=∑𝑛𝑗=𝑖|𝑎𝑖𝑗|:hàng I ma trận tam giác trên và bao gồm đường chéo chính μ =𝑚𝑎𝑥 𝑞𝑖 i=1,n 𝑖 1−𝑝𝑖 lOMoAR cPSD| 58833082 TailieuVNU.com ‖𝑥‖ ∞ (μ)𝑘 ‖𝑥‖ ∞ Chuẩn cột 1: 𝑠 = 𝑚𝑎𝑥
𝑗∑𝑛𝑖=𝑗+1|𝑎𝑖𝑗|;𝜌 = 𝑚𝑎𝑥 𝑗 1−𝑡𝑗𝑠𝑗,(j=1,n) 𝑡𝑗
|𝑎𝑖𝑗|,𝑠𝑗 = ∑𝑛𝑖=𝑗+1|𝑎𝑖𝑗|,(j=1,n-1)
𝑠𝑛 = 0,𝑡𝑛 = ∑𝑛1|𝑎𝑖𝑛| (𝑘) − 𝑥∗‖ ≤
𝜌 . ‖𝑥(𝑘) − 𝑥(𝑘−1)‖ ‖𝑥 1 (1 − s).(1 − 𝜌) 1
‖𝑥(𝑘) − 𝑥∗‖ ≤ (𝜌)𝑘 (1) − 𝑥(0)‖
. ‖𝑥 1 (1 − s).(1 − 𝜌) 1 3. Chương 4: • Lagrange: 𝑓𝑛+1(𝑐) 𝑅𝑛(𝑥) = ( 𝑛 + 1)! 𝜋𝑛+1(𝑥) 𝑀𝑛+1 |𝑅𝑛 | lOMoAR cPSD| 58833082 TailieuVNU.com
𝜋𝑛+1(𝑥) = (𝑥 − 𝑥0)(𝑥 − 𝑥1)… (𝑥 − 𝑥𝑛) • Newton:
Không cách đều sai phân tiến:
𝑅𝑛(𝑥) = (𝑥 − 𝑥0)(𝑥 − 𝑥1) … (𝑥 − 𝑥𝑛−1)(𝑥 − 𝑥𝑛)𝑓[𝑥, 𝑥0,… , 𝑥𝑛]
𝑅𝑛(𝑥) = 𝜋𝑛+1(𝑥)𝑓[𝑥,𝑥0,… ,𝑥𝑛] Không cách đều sai phân lùi:
𝑅𝑛(𝑥) = (𝑥 − 𝑥𝑛)(𝑥 − 𝑥𝑛−1)… (𝑥 − 𝑥1)(𝑥 − 𝑥0)𝑓[𝑥, 𝑥𝑛,… , 𝑥0]
𝑅𝑛(𝑥) = 𝜋𝑛+1(𝑥)𝑓[𝑥,𝑥𝑛, … , 𝑥0] Cách
đều hiệu hữu hạn tiến: x=𝑥0 + ℎ𝑡 ℎ𝑛+1𝑓(𝑛+1)(𝑐)
𝑡(𝑡 − 1) … (𝑡 − 𝑛) 𝑛+1𝑦0 𝑅𝑛(𝑥) =
(𝑛 + 1)!𝑡(𝑡 − 1). . (𝑡 − 𝑛) ≈ (𝑛 + 1)! ∆
Cách đều hiệu hữu hạn lùi: x=𝑥𝑛 + ℎ𝑡 𝑅𝑛 (𝑛 + 1)! 𝑛+1𝑦𝑛 • Spline: 5𝑀 𝑚𝑎𝑥 |𝑓 lOMoAR cPSD| 58833082 TailieuVNU.com
𝑚𝑎𝑥𝑎≤𝑥≤𝑏|𝑓(4)(𝑥)| = 𝑀 Chương 5: • Đạo hàm:
Đạo hàm lagrange 2 điểm: ℎ 𝑓′′(ξ) 2
Đạo hàm lagrange 3 điểm: ℎ 2 𝑓(3)(ξ) 3
Đạo hàm lagrange 3 điểm: ℎ4 𝑓(5)(ξ) 5 𝑛 (𝑛+1)(ξ(𝑥 𝑛
𝑓′(𝑥𝑗) = ∑ 𝑓(𝑥𝑘)𝐿′𝑘(𝑥𝑗) + 𝑓
(𝑛 + 1)!𝑗))∏(𝑥𝑗 − 𝑥𝑘) 𝑘=0 𝑘=0 𝑘≠𝑗 • Tích phân:
Tích phân hình chữ nhật:ℎ
2(𝑏−𝑎) .𝑓′′(ξ) 24 Tích phân hình thang: ℎ
2(𝑏−𝑎) . 𝑓′′(ξ) 12
Tích phân simpson 3 điểm ℎ 4(𝑏−𝑎) 𝑓(4)(ξ) 180
T217 Numerical analyst- closed Newton-Cotes formulas 4. Chương 6:
Rời rạc: spare error từng điểm. lOMoAR cPSD| 58833082 TailieuVNU.com
Đa thức bậc n (hilbert matrix): Tích phân sqare error trên đoạn [a, b]
Tập trực giao: Tương tự 5. Chương 7: • Euler:
Lý thuyết: |𝑦𝑖 − 𝑦(𝑥𝑖)| ≤ 𝑀. ℎ • Euler cải tiến:
Lý thuyết: |𝑦𝑖 − 𝑦(𝑥𝑖)| ≤ 𝑀. ℎ2 Thực tế: |𝑦 |
• Runge-Kutta 4 số hạng:
Lý thuyết: |𝑦𝑖 − 𝑦(𝑥𝑖)| ≤ 𝑀. ℎ4
(M=hằng số dương không phụ thuộc vào h) Thực tế: |𝑦 | Lý thuyết: Chương 4:
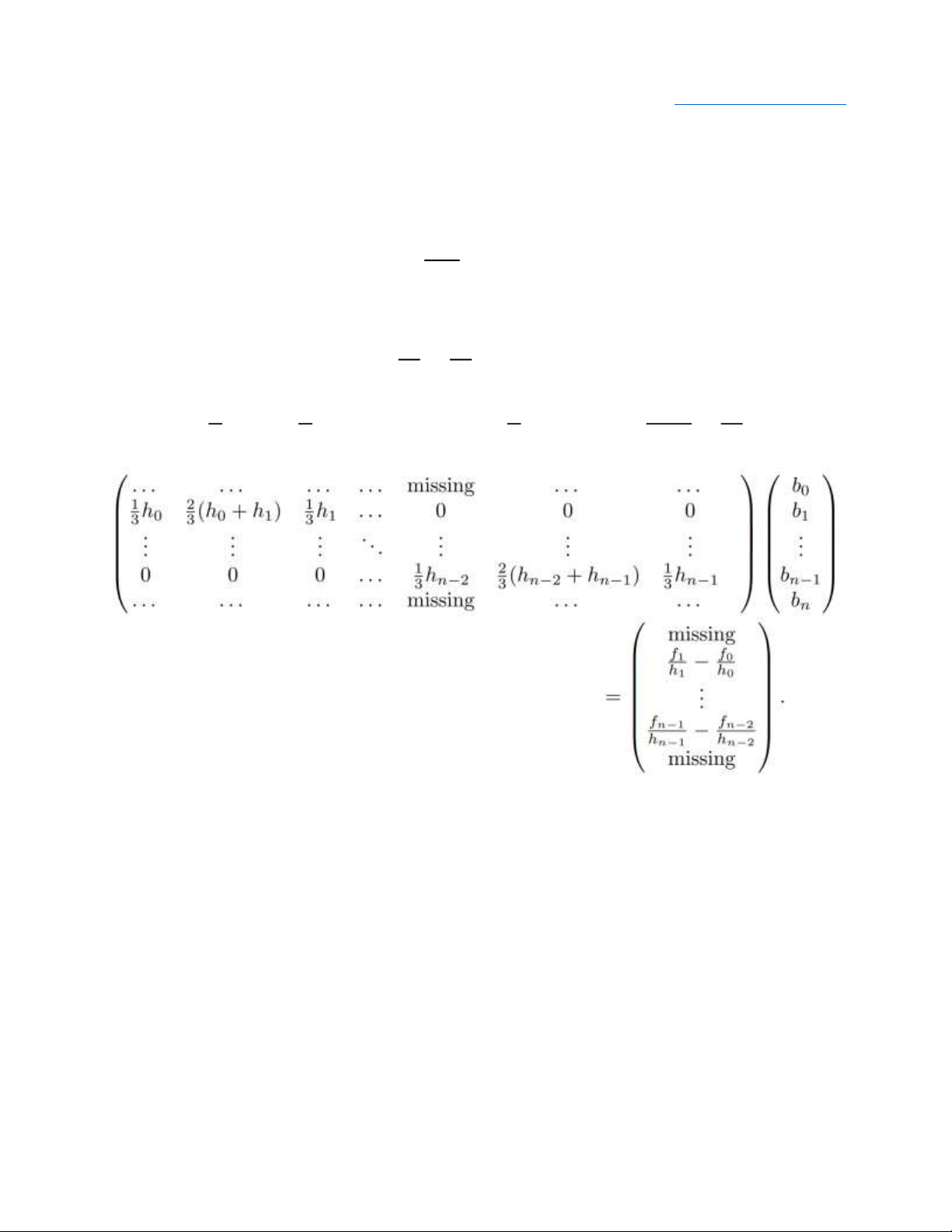
𝑔𝑖(𝑥) = 𝑎𝑖(𝑥 − 𝑥𝑖)3 + 𝑏𝑖(𝑥 − 𝑥𝑖)2 + 𝑐𝑖(𝑥 − 𝑥𝑖) + 𝑑𝑖 𝑑𝑖 = 𝑦𝑖 lOMoAR cPSD| 58833082 TailieuVNU.com
ℎ𝑖 = 𝑥𝑖+1 − 𝑥𝑖
𝑓𝑖 = 𝑦𝑖+1 − 𝑦𝑖 1 𝑎𝑖 = (𝑏𝑖+1 − 𝑏𝑖) 3ℎ𝑖 𝑓𝑖 ℎ𝑖
𝑐𝑖 = − (𝑏𝑖+1 + 2𝑏𝑖) ℎ𝑖 3 𝑖 + 1 𝑖
ℎ 𝑖 𝑏 𝑖 + ( ℎ 𝑖 + ℎ 𝑖 + 1 ) 𝑏 𝑖 + 1 + ℎ 𝑖 + 1 𝑏 𝑖 + 2 = − 𝑖 + 1 𝑖 1 2 1 𝑓 𝑓 3 3 3 ℎ ℎ lOMoAR cPSD| 58833082 TailieuVNU.com Clamped Cubin Spline
𝑔0′ (𝑥) = 𝛼, 𝑔𝑛′−1(𝑥𝑛) = 𝛽 First mising equation: 2 1 𝑓0 3 ℎ0𝑏0 + 3 ℎ0𝑏1 = ℎ 0 − 𝛼 Last missing equation: 1 2 𝑓𝑛−1
3 ℎ𝑛−1𝑏𝑛−1 + 3 ℎ𝑛−1𝑏𝑛 = 𝛽 − ℎ 𝑛−1 Nature Cubin Spline: 1 3 ℎ0𝑏0 = 0 1 3 ℎ𝑛−1𝑏𝑛 = 0 Hoặc:
ℎ1𝑏0 − (ℎ0 + ℎ1)𝑏1 + ℎ0𝑏2 = 0 ℎ𝑛−1𝑏𝑛−2
− (ℎ𝑛−2 + ℎ𝑛−1)𝑏𝑛−1 + ℎ𝑛−2𝑏𝑛 = 0 Chương 5: Five-point Midpoint fomula: Five-point Endpoint fomula: lOMoAR cPSD| 58833082 TailieuVNU.com
Second Derivative Midpoint Formula Chương 6: Xấp xỉ dữ liệu: Đường thẳng: Đa thức bậc n: lOMoAR cPSD| 58833082 TailieuVNU.com
Hilbert matrix: Dùng tích phân thay vì sigma: Trực giao: 𝑛
𝑃(𝑥) = ∑ 𝑎𝑗𝜑𝑗(𝑥) 𝑗=0 𝑏 𝑎𝑗 = ∫
𝑎 ∫𝑤𝑎𝑏(𝑤𝑥)(𝜑𝑥)𝑗[(𝜑𝑥𝑗)]𝑓2(𝑑𝑥𝑥)𝑑𝑥 lOMoAR cPSD| 58833082 TailieuVNU.com
𝜑0 ≡ 1,𝜑1 = 𝑥 − 𝐵1