



















Preview text:
lOMoAR cPSD| 61164048 HÀ NỘI HỌC 1. Nhập môn HNH
2. Vị thế địa lí và tài nguyên thiên nhiên HN
3. Dân cư và con người HN
4. Đặc trưng lịch sử Thăng Long- Hà Nội 5. Văn hóa Thăng Long- HN
6. Đô thị và đô thị hóa nông thôn HN lOMoAR cPSD| 61164048
BÀI 1: NHẬP MÔN HÀ NỘI HỌC
1. HÀ NỘI HỌC LÀ GÌ?
- Định nghĩa: “Hà Nội học là môn học sưu tầm, tìm hiểu, nghiên cứu và phổ
biến những tri thức mọi mặt và nhận thức tổng hợp về con người và mối
quan hệ giữa con người vs thiên nhiên, trên địa bàn hàng nghìn năm liên tục
là trung tâm tâm chính trị, xã hội, kinh tế và văn hóa hàng đầu của VN, phục
vụ cho các chiến lược phát triển bền vững Thủ đô và đất nước”
- Hà Nội học là một phần ngành của Khu vực học
- Từ thế kỉ XIX, xuất hiện nhiều công trình địa chỉ Hà Nội. Sau đó đến các
côngtrình của người Pháp. Đặc biệt, sau năm 1975, nghiên cứu về Hà Nội nở
rộ, đạt nhiều thành tựu.
- Năm 2010, Hội thảo kỷ niệm 1000 năm Thăng Long- Hà Nội. Phát triển bền
vững Thủ đô Hà Nội văn hiến anh hùng vì hòa bình tổng kết thành tựu nghiên cứu Hà Nội.
- Phát triển từ “Hà Nội học truyền thống” đến “Hà Nội học hiện đại”
2. ĐỐI TƯỢNG, PHẠM VI - Không gian:
Hà Nội cổ truyền, về cơ bản gồm 4 quận Hoàn Kiếm, Ba Đình, Đống Đa.
Hà Bà Trưng và một phần quận Tây Hồ
Hà Nội cổ truyền và các quận nội thành khác
Hà Nội mở rộng từ 2008
Ngoài ra, quan tâm nghiên cứu khu vực Vùng Thủ đô
- Thời gian: từ khởi nguồn đến hiện tại và nghiên cứu định hướng tương lai
- Tất cả hoạt động của con người và mối quan hệ con người vs thiên nhiên đểnhận
thức tổng hợp về không gian lịch sử- văn hóa và con người Hà Nội. 3. PHƯƠNG PHÁP
- Phương pháp tổng hợp, liên ngành, gắn với Khu vực học của “Hà Nội học hiệnđại”
Phương pháp liên ngành:
Sử dụng kết quả của nhiều ngành khoa học
Sử dụng đồng thời từ 2 phương pháp chuyên ngành trở lên
- Phương pháp chuyên ngành của Hà Nội học truyền thống. Gồm phương phápcủa
Địa lý, Môi trường, Chính trị học, Kinh tế học, Lịch sử, Văn hóa học, Văn học, Xã hội học,.. lOMoAR cPSD| 61164048
- Cần có tầm nhìn hệ thống, biện chứng
4. CƠ SỞ DỮ LIỆU, HỌC LIỆU
- Tư liệu nghiên cứu Hà Nội vô cùng phong phú, đa dạng.
Tư liệu trên mặt đất, dưới mặt đất Tài
liệu chữ viết, tài liệu truyền miệng Văn
kiện của nhà nước, tài liệu cá nhân.
- Các bộ cơ sở dữ liệu điển hình:
Bách khoa thư Hà Nội, Bách khoa thư Hà Nội mở rộng
Tủ sách Thăng Long ngàn năm văn hiến của Nhà xuất bản Hà Nội
Chương trình điều tra sưu tầm văn hiến Thăng Long lOMoAR cPSD| 61164048
BÀI 2: VỊ THẾ ĐỊA LÍ VÀ TÀI NGUYÊN THIÊN NHIÊN HÀ NỘI
1. VỊ TRÍ ĐỊA LÝ, TÀI NGUYEEN VÀ CẢNH QUAN THIÊN NHIÊN
1.1. Vị trí địa lý
- Hà Nội (Kẻ Chợ) có diện tích 3.324 km2 .
- Giáp các tỉnh: Hà Nam, Hưng Yên, Bắc Ninh, Bắc Giang, Thái Nguyên,
VĩnhPhúc, Phú Thọ, Hòa Bình
- Một số con sông như sông Hồng, sông Đà, sông Cầu, sông Cà Lồ là ranh giớitự
nhiên giữa Hà Nội với một số tỉnh.
1.2. Tài nguyên địa hình
- Thấp dần từ Bắc (400m) xuống nam (0-2m), từ tây (trên 1200m) sang đông (5-
20m). Về cơ bản hầu hết diện tích Hà Nội cao dưới 600m so với mực nước biển
- Địa hình: núi, đồi, đồng bằng
Núi: phía bắc, tây. Đều là núi thấp và trung bình. Dãy Ba Vì, núi Sóc
Đồi: đồi thấp, gò đồi xen kẽ: phía bắc, phía tây
Đồng bằng: chiếm diện tích lơnns nhất. Thấp nhất là CHương Mỹ, Phúu
Xuyên, Ứng Hòa, Mỹ Đức (0-5m). Độ cao đồng bằng phổ biến là 12-15m
1.3. Tài nguyên khí hậu
- Hà Nội mang đậm bản sắc khí hậu vùng đồng bằng sông Hồng, thuộc miền khíhậu phía Bắc
- Có 4 mùa, chênh lệch hai mùa nóng, lạnh lớn: 29,2oC và 15,2oC
- Diễn biến thất thường: đợt nóng kirr lục 42,8oC (5/1926), lạnh kỷ lục 2,7oC
(1/1955), trận mưa kỉ lục tháng 11/2008.
- Khí hậu có sự phân hóa theo độ cao.
1.4. Tài nguyên nước - Thủy văn:
Hệ thống ao hồ, sông suối khá dày đặc. Mạng lưới sông suối: 0,5-1km/km2
Chế độ thủy văn phụ thuộc vào sông Hồng. Đập thủy điện Hòa Bình, Sơn
La đã thay đổi đáng kể chế độ thủy văn.
Hai con sông lớn nhất: sông Đà, sông Hồng (Tên lâu đời nhất: Sông Nhĩ Hà,
Nhị Hà; ngoài ra được gọi là Sông Lô; Sông Cái); sông Hồng chảy qua Hà
Nội 163km (Vai trò của sông Hồng cho kinh đô Thăng Long: hào nước tự
nhiên bảo vệ kinh đô TL, buôn bán) lOMoAR cPSD| 61164048
Các sông Cà Lồ, Ngũ Huyện Khê, Đáy, Nhuệ, Đuống, Tô Lịch (được tôn lên
là Đô Thành Hóa) là chi lưu của sông Hồng trước kia và hiện nay.
Một số sông khác: Cầu, Tích, Sét, Kim Ngưu,... - Hồ
Hà Nội có trên 150 hồ, đầm, ao tự nhiên và nhân tạo
Ngoại thành: Đồng Mô- Ngải Sơn, Suối Hai, Quan Sơn – Tuy Lai, Vân Trì,..
Nội thành: Hồ Tây (Tên trước: Hồ Dâm Đàm, Đoài Hồ vd: Huyện Thanh
Đàm -> Huyện Thanh Trì; Ngoài ra tên dân gian: Đầm Xác Cáo, Hồ Kim
Ngưu, Lãng Bạc; lá phổi HN), Hoàn Kiếm (Hồ Lục Thủy, Hồ Thủy Quân,
Hồ Tả Vọng. trung tâm trái tim HN), Trúc Bạch, Thiền Quang, Thủ Lệ,
Bảy Mẫu, Ba Mẫu, Ngọc Khánh, Giảng Võ, Đống Đa, Xã Đàn, Yên Sở,.. Nguyễn Văn Siêu
1.5. Tài nguyên sinh vật -
Lớp phủ thực vật
Rừng: Ở huyện Ba Vì, Sóc Sơn, Mê Linh. Trong đó có rừng Quốc gia Ba Vì
Cây nông nghiệp, cây công nghiệp, cây cảnh, cây hoa
Cây xanh đường phố. Có khoảng gần 50 loại cây được trồng (Làng Hoa Tây
Tựu, Làng Đào Ngọc Đà)
- Động vật: có một số loài động vật quý hiếm
- Nhiều nguồn gen giá trị
1.6. Tài nguyên khoáng sản
- Đa dạng về chủng loại: than, kim loại, vật liệu xây dựng, nước khoáng
- Tài nguyên khoáng sản hạn chế, tài nguyên vật liệu xây dựng rất phong phú
1.7. Cảnh quan tự nhiên
A. Quá trình thành tạo địa hình và cảnh quan
- Quá trình biển tiến, biển thoái làm khu vực Hà Nội lúc là vịnh biển nông, lúclà
đồng bằng châu thổ, có khi lại là thung lũng kẹp giữa núi Ba Vì và Tam Đảo -
Từ 2 đến 0,7 triệu năm cách ngày nay: Vịnh Bắc Bộ là đất liền. Hà Nội là đồng
bằng thung lũng giữa núi. Khí hậu cận nhiệt đới, khó lạnh.
- Khoảng 6000 năm cách ngày nay: mực nước biển cao hơn hiện nay 4-5m. Khiđó
Hà Nội còn là biển với rừng ngập mặn.
- Từ 4000 năm cách ngày nay: nước biển rút dần cho tới mực nước hiện nay
- Từ 2500 năm cách ngày nay: Hà Nội không còn chịu ảnh hưởng trực tiếp củanước biển lOMoAR cPSD| 61164048
B. Cảnh quan tự nhiên Hà Nội
- Đồng bằng phù sa: Có diện tích lớn nhất, là cảnh quan chủ đạo, đặc trưng của Hà Nội
Đồng bằng phù sa ở phía Bắc: có địa hình khá cao
Đồng bằng phù sa ở phía Nam: thấp. Phía Nam có các “ô trũng”: Phú Xuyên
- Ứng Hòa, Chương Mỹ, Mỹ Đức.
- Vùng đất cao ven đồng bằng: bao quanh đồng bằng
Thềm phù sa cổ: Địa hình phân bậc, đá ong
Chân núi Ba Vì: Trước có nhiều rừng rậm
- Vùng núi đá vôi Chương Mỹ - Mỹ Đức: Cảnh quan Hương Sơn đẹp, giống
như “Hạ Long trên cạn”. Có nhiều thung lũng nhỏ giữa núi gọi là “thung” - Vùng núi Ba Vì, Sóc Sơn:
Núi Ba Vì. Có đỉnh núi Vua (1.296m), đỉnh Tản Viên (1.227m). Khí hậu cận
nhiệt đới đai cao. Mưa lớn. Có vườn Quốc gia Ba Vì
Đồi núi thấp Sóc Sơn: là đoạn cuối của dãy Tam Đảo, cao khoảng 400m. Có
núi Sóc còn gọi là núi Vệ Linh
2. VỊ THẾ ĐỊA LÝ
- Vị thế tự nhiên: HN là “thủ đô thiên nhiên”.
- Địa- chính trị: trung tâm chính trị- hành chính của quốc gia.
- Địa – kinh tế: trung tâm lớn về kinh tế trong vùng - Địa- văn hóa: “kết tinh, hội
tụ, lan tỏa” các giá trị văn hóa - Trung tâm giao thông:
Đường bộ, các quốc lộ với chiều cao trên 1000km, đường cao tốc
Nhiều cầu: Long Biên, Chương Dương, Thăng Long, Thanh Trì, Vĩnh Tuy, Nhật Tân, Vĩnh Thịnh
- Đường sắt có nhiều tuyến: Lạng Sơn- Hà Nội- TP. HCM- Hà Nội- Lào Cai,Hà
Nội- Hải Phòng, Hà Nội- Nam Định, Hà Nội- Thái Nguyên.
- Đường hàng không: sân bay Nội Bài - Đường thủy
3. ĐỊA LÝ HÀNH CHÍNH
3.1. CÁC ĐƠN VỊ HÀNH CHÍNH
- Hà Nội có 30 đơn vị hành chính: 12 quận nội thành (Hoàn Kiếm, Ba Đình, Đống
Đa, Hai Bà Trưng, Tây Hồ, Cầu Giấy, Thanh Xuân, Long Biên, Hoàng
Mai, Hà Đông, Bắc Từ Liêm, Nam Từ Liêm), 1 thị xã (Sơn Tây), 17 huyện (Sóc
Sơn, Đông Anh, Mê Linh, Gia Lâm, Đan Phượng, Hoài Đức, Phúc Thọ, Thạch lOMoAR cPSD| 61164048
Thất, Quốc Oai, Ba Vì, Thanh Trì, Thanh Oai, Chương Mỹ, Thường Tín, Phú
Xuyên, Ứng Hòa, Mỹ Đức)
3.2. THAY ĐỔI ĐỊA LÝ HÀNH CHÍNH CỦA HÀ NỘI TRONG LÍCH SỬ
- Giai đoạn trước 1954:
Cổ Loa là kinh đô của nhà nước Âu Lạc
Lý Nam Đế dựng kinh đô ở cửa sông Tô Lịch
Thời Bắc thuộc, nhà Đường xây thành Đại La
Năm 1010, Thăng Long trở thành kinh đo của nhà Lý
Cuối thế kỷ 14, kinh đô chuyển vào Tây Đô (Thanh Hóa), Thăng Long đổi tên thành Đông Đô
Lê Lợi lập nhà Lê, đặt tên kinh đô là Đông Kinh, nhưng vẫn sử dụng song song tên Thăng Long
Thế kỷ 16-18, Hà Nội ngày nay nằm trên địa bàn của Thăng Long và một
phần của “tứ trấn”
Dưới thời nhà Nguyễn (1802-1945), kinh đô chuyển vào Huế
Năm 1831, nhà Nguyễn đặt tên tỉnh Hà Nội. Lúc này, Hà Nội ngày nay thuộc
các tỉnh Hà Nội, Sơn Tây, một phần Bắc Ninh
Thời Pháp thuộc, nhà Nguyễn nhượng Hà Nội cho Pháp. Năm 1888, Pháp
thành lập thành phố Hà Nội
Dưới thời Pháp thuộc, Hà Nội ngày nay gồm thành phố Hà Nội, tỉnh Cầu Đơ
(Hà Đông), tỉnh Sơn Tây
- Giai đoạn sau 1954: Hà Nội trải qua 4 lần điều chỉnh địa giới lớn
1961: Mở rộng Hà Nội qua sông Hồng, một phần tỉnh Hà Đông
1978: Tiếp tục mở rộng Hà Nội sang một phần tỉnh Vĩnh Phúc, Hà Sơn Bình.
Diện tích Hà Nội gấp 144 lần so với 1955
1991: Điều chỉnh địa giới Hà Nội về như giai đoạn 1961- 1978. Thành lập
thêm các quận nội thành
2008: Sát nhập Hà Tây vào Hà Nội. Lúc này, Hà Nội có 6,2 triệu người, diện
tích 3.324km2. Dân số tăng 1,8 lần; diện tích tăng 3,6 lần
THI GIỮA KỲ: 50 CÂU TRẮC NGHIỆM (TẬP TRUNG VÀO TỰ NHIÊN;
HÀNH CHÍNH; LỊCH SỬ HÀ NỘI (TỪ PHẦN TIỀN THĂNG LONG-THỜI LÝ TRẦN)) lOMoAR cPSD| 61164048
CHƯƠNG 2: DÂN CƯ VÀ CON NGƯỜI HN
1. Quá trình tụ cư và sự hình thành cư dân Hà Nội
1.1. Thời tiền sử - Bối cảnh:
Vào Kỷ địa chất Thứ tư (4 triệu năm trước), toàn vùng Hà Nội
được nâng lên, có xâm lược và bào mìn, đồng thời cũng được bồi
đắp bởi trầm tích của sông suối, để tạo nên một đồng bằng (nằm
sâu dưới bề mặt đồng bằng hiện nay 40-50m) phủ đầy rừng rậm
với rất nhiều loại động vật nhiệt đới
Sau hàng vạn năm, qua nhiều lần biển tiến- biển lùi, trên vùng đất
Hà Nội đã xuất hiện những dấu vết hoạt động của con người
Thời kì văn hóa Sơn Vi (2 vạn năm- 1,5 vạn năm)
Dấu tích: trên các gò đòi huyện Ba Vì (Vạn Thắng); Cổ Loa (Đông Thành)
- Hiện vật: Những viên đá cuội ghẽ đèo khá thô sơ, ình loại chưa ổn
định, được chế tác bằng cuội đá quarzitte màu vàng gan gà, xanh xám,
có sẵn ở thềm sông cổ. 1.
2.Thời kì văn hóa Hòa Bình (muộn) (1,1 vạn năm – 7000 năm về trước)
Khí hậu trái đất ấm dần lên, băn tan dẫn tới hiện tượng biển tiến.
Gần một nửa diện tích của lục địa Đông Nam Á nằm dưới mực
nước biển. Vịnh Bắc Bộ ăn sâu vào đồng bằng, tới vùng thấp trũng
của nam Hà Nội. Phần đất Hà Nội còn lại bị nhiễm mặn, nguồn
thực vật ít đi, các đnaf động vật lớn lùi dần vào miền chân núi, ở
hang động núi đá vôi hay vùng thềm cao
Dấu tích: Hang Sũng Sàm (Mỹ Đức)
Hiện vật: tầng vỏ ốc dày đặc, xương răng động vật cháy, cũ; Công
cụ đá hầu hết được chế tác từ đá cuội diabaz, quartzite, bazan và
một số loại đá trầm tích
1.3. THỜI ĐÔNG SƠN (đầu TNK I TCN- đầu CN) - Bối cảnh
Phát triển đến đỉnh cao của kỹ thuật luyện kim đồng thau và sơ kỳ sắt lOMoAR cPSD| 61164048
Là một trong những nơi hội tụ của văn minh Đông Sơn – văn minh
sông Hồng với trung tâm là khu vực Cổ Loa và vùng phụ cận
Nhà nước sơ khai xuất hiện, chinh phục và khai thác vùng đồng bằng
- Di chỉ: Hữu Châu, gò Chùa Thông (lớp trên) (Thanh Trì); Trung
Mầu (lớp trên và mộ), Đa Tốn (Gia Lâm); vùng ven Hồ Tây (Tây Hồ),
Ngọc Hà (Ba Đình), Đinh Trăng (lớp trên và mộ), Đường Mây và đặc
biệt là khu vực Cổ Loa (Đông Anh)
- Hiện vật: lưỡi cày đồng, trống đồng Cổ Loa, mũi tên đồng...
- Đặc điểm cư dân: sống bằng nghề lúa nước, di chuyển bằng thuyền
1.4. THỜI BẮC THUỘC
- Bối cảnh: phương ắc đô hộ và chính sách đồng hóa- Đặc điểm cư dân:
Dân bản địa: dân Âu Lạc cũ, gồm quan lại, binh lính, khá đông
những người nung gạch ngói, thợ xây dựng và thợ gốm - Dân các địa phương khác:
Dân phương Bắc: mộ gạch, tiền Ngũ thủ, giếng cổ- sự có mặt trực tiếp của người Hán
1.5. THỜI KÌ QUÂN CHỦ
- Thành phần gồm: hoàng gia, quan lại, binh lính, sư sãi và các tầnglớp
thợ thủ công, thương nhân, nông dân
- Nghề nghiệp: nông nghiệp ven sông, nghề thủ công, buôn bán lOMoAR cPSD| 61164048
Thời Lý: 61 phường; Thời Lê; 36 phường
Thời Lê Trung Hưng: xuất hiện binh lính Thanh- Nghệ An
Từ thế kỷ 16-17, xuất hiện thương nhân phương Tây (Hà Lan, BĐN, Pháp) 2. NGƯỜI HÀ NỘI
2.1. CÁC QUAN NIỆM VỀ NGƯỜI HÀ NỘI
- Xét theo nơi sinh, hộ khẩu
Người sinh ra, lớn lên ở Hà Nội
Người nơi khác nhập cư nhưng có thời gian sống đủ dài -
Xét theo đóng góp thành tich Có thành tích với HN
Người HN sống ở vùng, miền khác nhưng vẫn giữ cốt cách, phẩm chất của Người HN
CHƯƠNG 3: ĐẶC TRƯNG LỊCH SỬ THĂNG LONG- HÀ NỘI I.
HÀ NỘI THỜI TIỀN THĂNG LONG
1.1. Hà Nội thời tiền sử
- Đầu kỳ Đệ Tam (50 triệu năm): Hà Nội là một mảng trũng: “Vịnh
Hà Nội” - Kỷ Đệ Tứ:
Biển rút khỏi đồng bằng
Hệ thống sông Hồng mang phù sa đắp lên trầm tích biển
- 30 vạn năm cách ngày nay:
Biển vào sâu quá nội thành Hà Nội hiện nay
Sau đó biển lại rút dần
- Khoảng 4 vạn- 2 vạn năm
Bề mặt đồng bằng Bắc Bộ trải rộng đến tận đảo Bạch Long Vĩ
- Đầu kỷ Toàn Tân (Holosen)
Biển lại tiến vào đất liền, phủ suốt từ Phã Lại đến Thường Tín
Các cư dân quen cư trú trên đồi gò rút về cư trú trong các hang động
Di chỉ: dấu tích con người thuộc văn hóa Hòa Bình tại vùng núi
Hương Sơn, huyện Mỹ Đức: hang Sũng Sàm
Công cụ được chế tác từ đá cuội, bazan, và một số loại đá trầm tích
khác được ghè đẽo công phu lOMoAR cPSD| 61164048
Thức ăn: “Những người ăn ốc”
Tín ngưỡng: chôn người chết trong hang. Rải đá quanh mộ, đồ tùy
táng phong phú: công cụ, đồ trang sức, thổ hoảng - Hậu kỳ đá mới:
- Cách ngày nay 7 nghìn- 5 nghìn năm, biển thoái. Địa hình Hà Nội dần
đi vào thế ổn định và cơ bản được duy trì đến ngày nay - Đã có một
vài nhóm cư dân khác nhau đến khai phá vùng đất mới châu thổ sông
Hồng, trong đó có Hà Nội
- Họ đến từ những vùng cao hơn, men theo những triền sông lớnxuống thăm dò khai phá
- Cảnh quan môi trường Hà Nội lúc đó chưa phải là lý tưởng cho
việclao động sản xuất của cư dân vùng cao
=> CHƯA PHÁT HIỆN ĐƯỢC CÁC DI TÍCH TRÊN MẢNH ĐẤT HÀ NỘI
1.2. Hà Nội thời sơ sử
1.2.1. Thời kỳ tiền Đông Sơn (hậu kì đá mới- sơ kì thời đại kim khí):
Phùng Nguyên- Đồng Đậu- Gò Mun
- Cách ngày nay 4000 năm, kết thúc quá trình biển tiến, môi trường
cảnh quan dần ổn định từ môi trường biển năng chuyển thành môi trường lục địa
- Đồng bằng màu mỡ được hình thành và chịu chi phối bởi hệ
thốngsông ngòi dày đặc, thuận ợi để phát triển một nghề nông trồng lúa nước
- Di tích: Ba Vì, Đan Phượng, Đông Anh, Hoài Đức, Gia Lâm, MêLinh,
Quốc Oai, Thanh Trì, Từ Liêm.
=> HÌNH THÀNH LỚI CƯ DÂN NÔNG NGHIỆP ĐẦU TIÊN KHAI
PHÁ VÙNG ĐỒNG BẰNG HÀ NỘI
- NGHỀ: TRỒNG LÚA NƯỚC, ĐÁNH CÁ, LÀM GỐM, LUYỆNKIM.
1.2.2. Thời kỳ Đông Sơn
- Phân bố: Đa Tốn, Dương Xá (Gia Lâm), Đường Mây, Đình Tràng
(Đông Anh), Chùa Thông (Thanh Trì)
- Hiện vật: trống đồng, lưỡi cày đồng, mũi tên đồng, mộ thuyền sông
Tô, mộ thuyền Nguyệt Áng (Thanh Trì)
1.3. Hà Nội thời Bắc thuộc * ĐẶC ĐIỂM
- Phương Bắc xâm lược:
Thực hiện chính sách đồng hóa người Việt lOMoAR cPSD| 61164048
Thiết lập chính quyền cai trị theo mô hình phương Bắc
- Hà Nội là nơi có nhiều cuộc khởi nghĩa nổ ra Khởi nghĩa Hai Bà Trưng KN Lí Bí:
• Thời gian: 10/3 năm Nhâm Tuất (542- 544- 548)
• Địa điểm: Hoài Đức
• Kết quả: Dựng nước Vạn Xuân (1/544), niên hiệu Thiên Đức,
xưng Lý Nam Đế, dựng đô tại cửa sông Tô Lịch, Dựng chùa Khai Quốc
• NV tiêu biểu: Lý Phục Man, Phạm Tu, Triệu Túc,... KN Mai Thúc Loan • Thời gian: 713?- 722?
• Địa điểm: Từ Nghệ An, Hà Tĩnh đánh ra thành Tống Bình Kết quả:
Lấy được 32 châu huyện
Có thể liên kết với các nước Lâm Ấp, Chân Lạp, Kim Lân,
quân chủng lên tới 40 vạn Xưng Mai Hắc Đế KN Phùng Hưng • Thời gian: 776- 791
• Địa điểm: Đường Lâm
• Kết quả: Dành quyền tự chủ
- Dần trở thành trung tâm hành chính của cả nước
* CHÂU THỔ BẮC BỘ THỜI BẮC THUỘC
- Triệu Đà chia Giao Chỉ (=Bắc Bộ) và Cửu Châu (= Thanh Hóa, Nghệ
An, Hà Tĩnh), đặt sứ thần, cai trì lỏng lẻo = cống vật
- 111 TCN: Tây Hán thôn tính Nam Việt, chia 9 quận: Đam Nhĩ,Châu
Nhai (thuộc đảo Hải Nam), Nam Hải, Hợp Phố, Uất Lâm, Thượng
Ngô (đều thuộc các tỉnh Quảng Đông, Quảng Tây, Trung Quốc), Giao
Chỉ, Cửu Chân và Nhật Nam (= từ Quảng Bình- Quảng Nam)
- 106 TCN: Giao Chỉ thống suất 7 quận lục địa (trừ Châu Nhai vàĐam
Nhĩ), Châu trị tại quận Giao Chỉ. Đứng đầu là thứ sử, trị sở: Mê Linh
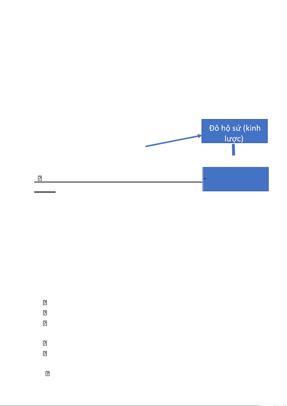
- MÔ HÌNH CHÍNH TRỊ THỜI ĐÔNG HÁN (SAU NĂM 43) lOMoAR cPSD| 61164048 Quan chuyên trách Đô úy Lạc tướng Lệnh trưởng * HÀ NỘI
ĐẦU THỜI BẮC THUỘC
- Đối chiếu với bản đồ hành chính, toàn bộ vùng đất HN (ngày nay sau
mở rộng năm 2008) nằm trong quận Giao Chỉ dưới thời Tây Hán
- Cho đến trước thế kỷ V, trên đất Hà Nội ngày nay, đã từng tồn
tạinhững trụ sở của chính quyền cai trị phương Bắc như Mê Linh,
hoặc gần những trụ sở của chính quyền cai trị như Luy Lâu, Long Biên (thuộc Bắc Ninh)
- Là nơi mở đàu các cuộc khởi nghĩa chống ngoại xâm
Cuộc khởi nghĩa Tây Vu Vương (111 TCN)
Khởi nghĩa Hai Bà Trưng (40-43) • Thời gian: 40-43
• Bắt đầu từ địa điểm: Hát Môn (Phúc Thọ, HN)
• Diễn biến: thu hút nhiều quân tụ nghĩa từ các nơi, 65 thành trì
cùng hưởng ứng, lan sang TQ
• Các tướng lĩnh khu HN: Nguyễn Tam Trinh, Ả lã nàng Đê, Đào Kỳ- Phương Dung….
• Kết quả: Kết thúc Bắc thuộc lần 1; dựng kinh đô ở Mê Linh; Xưng Vương
• Mã Viện đàn áp cuộc khởi nghĩa.
- Đến TKV, huyện Tống Bình thuộc Giao Chỉ được thành lập, huyệnlị
ở bờ Bắc sông Tô, tức vùng đất Hà Nội ngày nay.
- Sau đó huyện Tống Bình trở thành quận Tống Bình: 3 huyện:
Huyện Xương Quốc (bờ bắc sông Hồng, đến tận Cổ Loa- Đông Anh ngày nay)
Huyện Nghĩa Hoài, Tuy Ninh (phía Nam sông Hồng thuộc nội thành Hà Nội) lOMoAR cPSD| 61164048
=> TRỤ SỞ CỦA CHÍNH QUYỀN CAI TRỊ DẦN DẦN DỊCH
CHUYỂN VÀO VÙNG ĐẤT NỘI THÀNH HÀ NỘI NGÀY NAY
*HÀ NỘI THỜI TÙY- ĐƯỜNG (TKVII- TK X)
- Đặt Giao Châu đại tổng quản phủ: 10 châu Giao Châu, Phong Châu,
Ái Châu, Tiên Châu, Diên Châu, Tống Châu, Từ Châu, Hiểm Châu,
Đạo Châu, và Long Châu (= toàn bộ Bắc Bộ- Đèo Ngang)
- Năm 607, nhà Tùy chuyển trụ sở quận Giao Chỉ về Tống Bình (nộithành Hà Nội)
- Năm 622: đổi thành Giao Châu đô hộ phủ
- Năm 679: An Nam đô hộ phủ
TỔNG KẾT: HÀ NỘI THỜI TIỀN THĂNG Thứ sử LONG
- Là cái nôi của văn minh sông Hồng
- Là kinh đô thời dựng nước
- Là trung tâm cai trị của chính quyền phương Bắc
- Là nơi diễn ra các cuộc khởi nghĩa chống Bắc thuộc II.
THỜI THĂNG LONG- ĐÔNG ĐÔ- ĐÔNG KINH (1010-
1802): Thăng Long- Hà Nội thời tự chủ
2.1. Thời kỳ độc lập đầu tiên (Khúc- Dương- Ngô- Đinh- Tiền Lê) - HỌ KHÚC:
Cuối TK Ĩ, nhà Đường suy yếu
905: Khúc Thừa Dụ khởi nghĩa đánh vào Tống Bình
930: Thành Đại La lại bị rơi vào tay quân Nam Hán - HỌ DƯƠNG
931: Từ Ái Châu chiếm Đại La
937: Dương Đình Nghệ bị Kiều Công Tiễn giết hại - HỌ NGÔ 938: Khởi nghĩa lOMoAR cPSD| 61164048
939 xưng vương, kinh đô Cổ Loa 944:
Ngô Quyền mất. Loạn 12 sứ quân - NHÀ ĐINH- TIỀN LÊ: Kinh đô Hoa Lư
2.2. Thăng Long- Hà Nội từ 1010- 1400 (thời Lý- Trần)
- Thời gian: 1010- 1400
- Là kinh đô, trung tâm kinh tế- văn hóa- giáo dục của hai triều đạiLý- Trần
- Là nơi diễn ra nhiều cuộc kháng chiến quan trọng
Chống Tống, chống Nguyên Mông
Các chiến thắng: Đông Bộ Đầu, A Lỗ, Tây Kết- Hàm Tử
Các anh hùng, danh nhân: Lý Thường Kiệt, nguyên phi Ỷ Lan,
Hoằng Chân,Chiếu Văn, Trần Nhật Duật, Trần Quốc Toản... - Đổi tên
từ Đại La thành Thăng Long
- Thăng Long điển hình cho kiểu thành thị phong kiến: mô hình Tamtrùng thành quách
Thành là nơi định đo, có 4 cửa: Đại Hưng, Tường Phù, Quảng Phúc và Diệu Đức
Ngoài thành là “thị” với bến song, chợ búa- nơi sinh sống và buôn
bán của thị dân (chợ Cửa Nam, chợ Cửa Bắc nay là chợ Châu
Long, chợ Cửa Tây nay là chợ Ngọc Hà, chợ Cửa Đông gần chợ Đồng Xuân)
61 phường tập hợp của các thợ thủ công
Phía tây kinh thành, cho người đến khai phá, lập khu “Thập tam trại”.
* TAM TRÙNG THÀNH QUÁCH
- Vòng thành trong cùng bao bọc nơi ở của vua, gọi là Cấm Thành -
Vòng thành giữa bao bọc nơi nhà vua và triều đình làm việc, bao trọn
cả Cấm thành, gọi là Hoàng thành hay Long Thành
- Vòng thành ngoài cùng bao bọc nơi ở của quan lại, thái tử (cungLong
Đức), hoàng tử, anh em họ hàng nhà vua và dân chúng, gọi là Đại La thành
- Vùng đất nằm giữa Hoàng thành và Đại La thành gọi là Kinh thành lOMoAR cPSD| 61164048
* THĂNG LONG- HÀ NỘI TỪ 1010- 1400
- Là trung tâm giáo dục Văn Miếu (1070) Quốc Tử Giám (1076)
Nhà Lý mở khoa thi đầu tiên (1075)
Nhà Trần đặt danh hiệu Tam khôi (1246) - Là trung tâm Phật giáo
Chùa Một Cột (1049), chùa Láng, chùa Kim Liên...
Tháp Báo Thiên (1057), Chuông Quy Điền
2.2. Thăng Long từ năm 1400 đến 1802
Thời nhà Hồ, Thăng Long đổi tên thành Đông Đô
Lê Lợi chiến thắng quân Minh khôi phục lại kinh đô Thăng Long
Là thời kỳ khoa cử Nho giáo rất nhanh phát triển, Lê Thánh Tông
cho dựng văn bia ở Văn Miếu
Thăng Long bắt đầu xuất hiện 36 phường
Thế kỷ 17, kinh tế thương mại phát triển, xuất hiện tên Kẻ Chợ ;
“Thứ nhất Kinh Kỳ, thứ nhì phố Hiến”.
Năm 1789, Quang Trung đánh bại 29 vạn quân Thanh tại Thăng Long.
3. Hà Nội từ 1802 đến 1945
Năm 1802: kinh đô chuyển vào Huế
Năm 1831: lập tỉnh Hà Nội
Pháp xâm lược Hà Nội 2 lần, đến 1888 triều Nguyễn nhượng Hà Nội cho Pháp
Pháp xây dựng thành phố Hà Nội theo kiến trúc phương Tây
Pháp cho xây dựng các sơ sở giáo dục “Tây học” lOMoAR cPSD| 61164048
Các phong trào yêu nước tại Hà Nội diễn ra mạnh mẽ
III. THỜI NGUYỄN- THUỘC PHÁP (1802-1945) IV.
HÀ NỘI TỪ 1945 ĐẾN NAY lOMoAR cPSD| 61164048
BÀI 5: VĂN HÓA THĂNG LONG HÀ NỘI 1. NỘI DUNG 1.1 DI TÍCH *Phân loại: Di tích lịch sử
Di tích kiến trúc- nghệ thuật
Di tích khảo cổ học Danh lam thắng cảnh *Phân hạng
Di tích cấp Thành phố Di tích cấp Quốc gia
Di tích cấp Quốc gia đặc biệt Di tích thế giới 2. ĐẶC ĐIỂM
Phong phú, đa dạng về loại hình
Gắn chặt với lich siwr, văn hóa hàng nghìn năm của Thăng Long- Hà Nội Rất có giá trị
Nhiều di tích mang tính đại diện
* DI SẢN THẾ GIỚI
- Hà Nội có 2 di sản thế giới
Khu di tích Trung tâm Hoàng thành Thăng Long- Hà Nội được công nhận năm 2010
82 bia đá trong Văn Miếu- Quốc Tử Giám được công nhận là di sản tư liệu thế giới năm 2011
* DI TÍCH QUỐC GIA ĐẶC BIỆT: 14 di tích
1 Khu di tích Chủ tịch Hồ Chí Minh tại Phủ Chủ tịch 2 Hoàng thành Thăng Long
3 Văn Miếu- Quốc Tử Giám
4 Hồ Hoàn Kiếm- Đền Ngọc Sơn
5 Đền Cổ Loa (Đông Anh)
6 Đền Phù Đổng (Gia Lâm) 7 Đền Sóc Sơn
8 Đền Hai Bà Trung (Mê Linh)
9 Đền Hát Môn (Phúc Thọ) 10 Chùa Thầy (Quốc Oai)
11 Chùa Tây Phương (Thạch Thất)
12 Đình Tây Đằng (Ba Vì) lOMoAR cPSD| 61164048
13 Đình Chèm (Bắc Từ Liêm)
14 Danh thắng Hương Sơn (Mỹ Đức)
* BẢO VẬT QUỐC GIA
1. Bản thảo “Lời kêu gọi toàn quốc kháng chiến” của chủ tịch Hồ Chí Minh
2. Bản gốc Di chúc của Chủ tịch Hồ Chí Minh
3. Bức tranh “Em Thúy” của họa sĩ Trần Văn Cần 4. Trống đồng Cổ Loa
5. Tượng đồng đen Huyền Thiên Trấn Vũ ( đền Quán Thánh)
6. Tượng La Hán chùa Tây Phương
7. Tượng thiền sư chùa Đậu 8. Hai máy bay MIG21 * KIẾN TRÚC
- Kiến trúc nhà trong phố cổ:
Kiến trúc của người Việt, Hoa, Pháp
Nhà ống của người Việt gọi là “nhà chồng diêm” - Kiến trúc Pháp
Đa dạng về loại hình
Đa dạng về phong cách kiến trúc 3. ẨM THỰC Đặc điểm:
Đa dạng, phong phú (thức ăn, đồ uống, sản vật) Tinh tế, đặc sắc
Tiếp nhận nhiều loại ẩm thực trong và ngoài nước Sản vật nổi tiếng:
Thủy sản: cá, ốc Hồ Tây, cá rô đầm Sét (Hoàng Mai); cá chép đầm Đại
(Hoàng Mai), cá chép sông Đơ (Hà Đông)
Rau, quả: cam Canh, bưởi Diễn, ổi Quảng Bá ( Hồ Tây), húng Láng, ớt (Định
Công), nhãn làng Quang (Thanh Trì), nhãn làng Bằng (Hoàng Mai) Ẩm thực truyền thống:
Bánh: Bánh cuốn Thanh Trì (Hoàng Mai), bánh giày Quán Gánh
(Thường Tín), bánh tẻ (Sơn Tây)
Bún: Tứ Kỳ (Thanh Trì), Cố Đô (Ba Vì), Phú Đô (Nam Từ Liêm)
Cốm làng Vòng (Cầu Giấy), Mễ Trì (Nam Từ Liêm), Lú (Thanh Trì)
Rượu: kẻ Ma (Hoàng Mai), làng Thụy (Tây Hồ)
Nem: Phùng (Đan Phượng), Đông Ngạc (Từ Liêm)
Một số món ăn phở, bún chả, bún ốc
- Ẩm thực khác: thịt chó, bò thui, thịt chuột, rượu, Bún cần (Cổ Loa)
II. DI SẢN PHI VẬT THỂ 1 NGHỆ THUẬT Hội họa:
Tranh dân gian Hàng Trống lOMoAR cPSD| 61164048
Tranh dân gian Kim Hoàng (Hoài Đức) Trình diễn
Múa rối nước Đào Thục (Đông Anh)
Ca trù Lỗ Khê (Đông Anh)
2 TÍN NGƯỠNG, TÔN GIÁO
2.1. Tín ngưỡng dân gian Thành hoàng làng Thờ Mẫu
“Thăng Long Tứ Trấn” 2.2 Phật giáo
Dấu tích Phật giáo có mặt khá sớm
Là trung tâm Phật giáo lớn Phật giáo Bắc tông. 2.3. Nho giáo
Thăng Long là nơi chính quyền quân chủ đưa Nho Giáo lên vị trí độc tôn
Thăng Long- Hà Nội là nơi tổ chức các khoa thi Nho học
Là nơi có tầng lớp Nho sĩ đông đảo 2.4 Công giáo
Đầu thế kỷ 17, Công giáo được truyền bá ở Thăng Long- Hà Nội 3 .LỄ HỘI
Lễ hội Thăng Long- Hà Nội gồm: Lễ hội cung đình, Lễ hội dân gian
Lễ hội cung đình: Hội thề Đồng Cổ, Hội đèn Quảng Chiếu, Lễ tế đàn Xã tắc
Lễ hội dân gian: Hội làng; Lễ hội tôn giáo; Lễ hội tưởng niệm các sự kiện lịch sử
3.1. Đặc điểm lễ hội dân gian Hà Nội
Số lượng lớn (1.206 lễ hội/8000 lễ hội của cả nước)
Thời gian tổ chức lễ hội đa dạng
Mang 2 đặc trưng quan trọng nhất: lễ hội nông nghiệp và lễ hội tưởng niệm
anh hùng chống ngoại xâm
Ngày nay xuất hiện nhiều lễ hội lớn
Một số lễ hội dân gian tiêu biểu của Hà Nội:
Hội Gióng: được UNESCO công nhận là di sản văn hóa phi vật thể của nhân loại năm 2010 Hội Cổ Loa Hội Đống Đa Hội chùa Hương Hội làng Lê Mặt Hội làng Triều Khúc 4 LÀNG NGHỀ
Làng nghề là phường nghề trong kinh thành hoặc làng sản xuất thủ công nghiệp ngoài kinh thành