



















Preview text:
BÀI TẬP VỀ NHÀ – SỐ 3 I. TRẮC NGHIỆM
Câu 1:Dạng tổng quát của phương trình bậc hai một ẩn là: A. C. B. D.
Câu 2: Trong các phương trình sau, phương trình nào là phương trình bậc hai một ẩn A. C. B. D.
Câu 3: Xác định hệ số của phương trình A. C. B. D. Câu 4: Nếu thì A. hoặc C. hoặc B. hoặc D. hoặc Câu 5: Nếu thì A. hoặc C. B. D. và
Câu 6: Biệt thức của phương trình bậc hai là: A. C. B. D.
Câu 7: Phương trình bậc hai một ẩn có 2 nghiệm phân biệt khi: A. C. B. D.
Câu 8: Phương trình bậc hai một ẩn có nghiệm kép khi: A. C. B. D.
Câu 9: Phương trình bậc hai một ẩn vô nghiệm khi: A. C. B. D.
Câu 10: Công thức của phương trình bậc hai một ẩn với biệt thức A. C. B. D. II. TỰ LUẬN
Câu 1: Cho đồ thị hàm số y = x2 có đồ thị (P). a) Vẽ đồ thị (P).
b) Tìm các điểm trên Parabol có tung độ bằng 16.
Bài 2: giải các phương trình sau:
𝒂. 𝟑𝒙𝟐 − 𝟓𝒙 − 𝟐 = 𝟎 𝒃. √𝟐 𝒙𝟐 − 𝟑𝒙 + 𝟓 = 𝟎 𝒄. −𝟑𝒙𝟐 + 𝟒𝒙 − 𝟒 = 𝟎 𝒅. −√𝟑 𝒙𝟐 − 𝟕𝒙 = 𝟎
.................................................................................................................................................................
.................................................................................................................................................................
.................................................................................................................................................................
.................................................................................................................................................................
.................................................................................................................................................................
.................................................................................................................................................................
.................................................................................................................................................................
.................................................................................................................................................................
.................................................................................................................................................................
.................................................................................................................................................................
.................................................................................................................................................................
.................................................................................................................................................................
.................................................................................................................................................................
.................................................................................................................................................................
.................................................................................................................................................................
.................................................................................................................................................................
.................................................................................................................................................................
.................................................................................................................................................................
.................................................................................................................................................................
.................................................................................................................................................................
.................................................................................................................................................................
.................................................................................................................................................................
.................................................................................................................................................................
.................................................................................................................................................................
.................................................................................................................................................................
.................................................................................................................................................................
.................................................................................................................................................................
.................................................................................................................................................................
.................................................................................................................................................................
.................................................................................................................................................................
BÀI TẬP VỀ NHÀ – SỐ 4 I. TRẮC NGHIỆM
Câu 1: Xác định hệ số của phương trình (với là tham số) A. C. B. D.
Câu 2: Đưa phương trình: về dạng . Tìm các hệ số . A. C. B. D.
Câu 3: Nghiệm của phương trình là A. C. B. D.
Câu 4: Giải phương trình được nghiệm là: A. C. B. D.
Câu 5: Giải phương trình A. C. B. D.
Câu 6: Xác định nghiệm của phương trình A. C. D. B.
Câu 7: Tìm nghiệm của phương trình A. C. B. D. II. TỰ LUẬN
Bài 1. Một khách du lịch chơi trò Bungee từ một cây cầu cách mặt đất 120 m. Quãng đường chuyển động
𝑺(tính bằng mét) của người rơi phụ thuộc vào thời gian 𝒕(tính bằng giây) được cho bởi công thức: 𝑺 = 𝟒𝒕𝟐
a) Hỏi sau khoảng thời gian 3 giây, du khách cách mặt đất bao nhiêu mét?
b) Sau khoảng thời gian bao lâu thì du khách cách mặt đất 56 mét?
.................................................................................................................................................................
.................................................................................................................................................................
.................................................................................................................................................................
.................................................................................................................................................................
.................................................................................................................................................................
.................................................................................................................................................................
.................................................................................................................................................................
.................................................................................................................................................................
.................................................................................................................................................................
Bài 2: giải các phương trình sau:
𝒂. 𝟏𝟓𝟐𝒙𝟐 − 𝟓𝒙 + 𝟏 = 𝟎 𝒃. (𝒙 + 𝟏)𝟐 − 𝟒(𝒙𝟐 − 𝟐𝒙 + 𝟏) = 𝟎
.................................................................................................................................................................
.................................................................................................................................................................
.................................................................................................................................................................
.................................................................................................................................................................
.................................................................................................................................................................
.................................................................................................................................................................
.................................................................................................................................................................
.................................................................................................................................................................
.................................................................................................................................................................
.................................................................................................................................................................
.................................................................................................................................................................
.................................................................................................................................................................
.................................................................................................................................................................
BÀI TẬP VỀ NHÀ- SỐ 5
Câu 1:Hàm số nào dưới đây là hàm số bậc hai? A. C. B. D.
Câu 2: Hàm số nào dưới đây là hàm số bậc hai? A. C. B. D.
Câu 3: Phương trình nào dưới đây là phương trình bậc hai một ẩn A. C. D. B.
Câu 4: Phương trình nào là phương trình bậc hai một ẩn? A. C. B. D. Câu 5: Nếu
thì phương trình bậc hai có: A. nghiệm kép C. nghiệm kép B. nghiệm kép D. nghiệm kép
Câu 6: Công thức trong phương trình bậc hai là: A. C. với B. với D.
Câu 7: Xác định hệ số của phương trình A. C. B. D.
Câu 8: Hệ số của hàm số bậc hai là: C. A. B. D. Câu 9: Cho hàm số . Tính khi A. C. B. D.
Câu 10: Công thức nghiệm thu gọn của phương trình A. B. C. D.
Câu 1: Giải phương trình được nghiệm là: C. A. D. B.
Câu 2: Giải phương trình được nghiệm là: A. Vô số nghiệm C. B. Vô nghiệm D.
Câu 3: Cho đồ thị hàm số bậc hai dưới đây. Đồ thị đó là hình biểu diễn của hàm số bậc hai nào? A. C. B. D.
Câu 4: Trong các điểm
điểm nào thuộc đồ thị hàm số A. và C. B. D.
Câu 5: Đồ thị hàm số đi qua điểm thì hệ số bằng? A. C. B. D. Câu 6: Điểm
thuộc đồ thị hàm số nào dưới đây? C. A. D. B.
Câu 7: Giải phương trình A. C. B. D.
BÀI TẬP VỀ NHÀ – SỐ 6 Câu 1:Nếu
là nghiệm của phương trình thì: A. C. B. D.
Câu 2: Nếu phương trình bậc hai một ẩn có
thì nghiệm của phương trình là: A. C. B. D.
Câu 3: Nếu phương trình bậc hai một ẩn có
thì nghiệm của phương trình là: A. C. B. D.
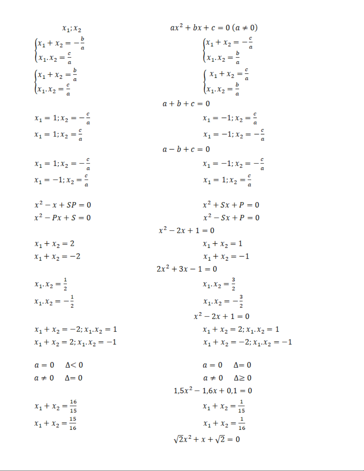
Câu 4: Nếu hai số có tổng bằng S và tích bằng P thì hai số đó là hai nghiệm của phương trình bậc hai: A. C. B. D.
Câu 5: Tổng hai nghiệm của phương trình là: A. C. B. D.
Câu 6: Tích hai nghiệm của phương trình A. C. B. D.
Câu 7: Tìm tổng và tích hai nghiệm của phương trình A. C. B. D.
Câu 8: Để áp dụng được định lí Viète cho phương trình bậc hai, cần có điều kiện là: A. và C. và B. và D. và
Câu 9: Tính tổng các nghiệm của phương trình A. C. B. D.
Câu 10: Tìm tích các nghiệm của phương trình A. C. B. D.
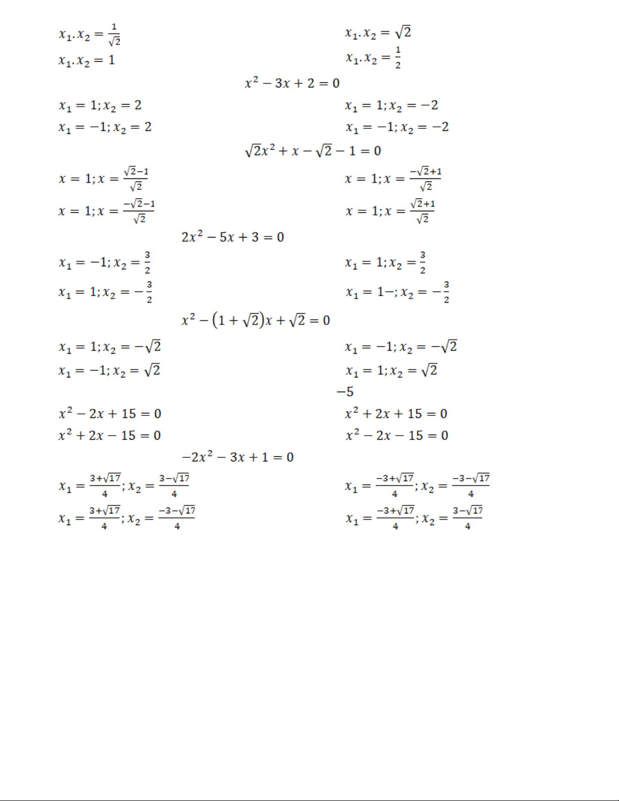
Câu 1: Tìm nghiệm của phương trình A. C. B. D.
Câu 2: Tìm nghiệm của phương trình A. C. B. D.
Câu 3: Giải phương trình A. C. B. D.
Câu 4: Giải phương trình được nghiệm là: A. C. B. D.
Câu 6: Lập phương trình bậc hai có hai nghiệm là 3 và A. C. B. D.
Câu 7: Giải phương trình được hai nghiệm là A. C. B. D.
BÀI TẬP VỀ NHÀ SỐ 7
Cho đề bài sau, hãy sử dụng để trả lời các câu hỏi từ Câu 1 đến Câu 4:
Một mảnh đất hình chữ nhật có độ dài đường chéo là 13 m, chiều dài hơn chiều rộng là 7m. Nếu
gọi chiều rộng của mạnh đất là (m) với x > 0, hãy trả lời các câu hỏi sau để tính được diện tích
của mảnh đất.
Câu 1: Chiều dài của mảnh đất hình chữ nhật tính theo là: A. (m) C. (m) B. (m) D. (m)
Câu 2: Nếu gọi mảnh đất hình chữ nhật với các đỉnh là ABCD, thì biểu thức nào sau đây biểu diễn độ
dài đường chéo của hình chữ nhật ABCD? A. C. B. D.
Câu 3: Dựa vào biểu thức biểu diễn độ dài đường chéo ở Câu 2, hãy lập phương trình cho bài toán. A. C. B. D.
Câu 4: Giải phương trình ở câu 3, và kết luận về độ dài của chiều dài và rộng của mảnh đất hình chữ nhật.
A. Chiều dài: 14 m; Chiều rộng: 7 m
C. Chiều dài: 11 m; Chiều rộng: 4 m
B. Chiều dài: 15 m; Chiều rộng: 8 m
D. Chiều dài: 12 m; Chiều rộng: 5 m
Cho đề bài sau, hãy sử dụng để trả lời các câu hỏi từ Câu 5 đến Câu 10:
Hai vòi nước cùng chảy vào bể thì 6 giờ đầy bể. Nếu mỗi vòi chảy một mình cho đầy bể thì vòi thứ
hai cần nhiều hơn vòi thứ nhất 5 giờ. Nếu gọi thời gian vòi thứ nhất chảy một mình đầy bể là (giờ) với
. Hãy trả lời các câu hỏi sau để tính thời gian để mỗi vòi chảy một mình đầy bể.
Câu 5: Thời gian vòi thứ hai chảy một mình đầy bể là: A. (giờ) C. (giờ) B. (giờ) D. (giờ)
Câu 6: Trong 1 giờ, vòi thứ nhất chảy được: A. (bể) C. (bể) B. (bể) D. (bể)
Câu 7: Trong 1 giờ, vòi thứ hai chảy được: A. (bể) C. (bể) B. D. (bể)
Câu 8: Trong một giờ cả hai vòi chảy được bao nhiêu phần của bể? A. C. B. D.
Câu 9: Phương trình của bài toán là: A. C. B. D.
Câu 10: Giải phương trình và kết luận về bài toán ta được:
A. Vòi thứ nhất chảy đầy bể trong 15 giờ; Vòi thứ hai chảy đầy bể trong 10 giờ.
B. Vòi thứ nhất chảy đầy bể trong 10 giờ; Vòi thứ hai chảy đầy bể trong 15 giờ.
C. Vòi thứ nhất chảy đầy bể trong 12 giờ; Vòi thứ hai chảy đầy bể trong 17 giờ.
D. Vòi thứ nhất chảy đầy bể trong 8 giờ; Vòi thứ hai chảy đầy bể trong 13 giờ.
Câu 1: Cho hai số tự nhiên biết rằng hai lần số thứ nhất hơn ba lần số thứ hai là 9 và hiệu các bình
phương của chúng bằng 119. Tìm số lớn hơn. A. 12 C. 16 B. 14 D. 18
Sử dụng bài toán và trả lời các câu hỏi từ Câu 2 đến Câu 4: Một đồi xe cần phải chuyên chở 150
tấn hàng. Hôm làm việc có 5 xe được điều đi làm việc khác nên mỗi xe còn lại phải chở thêm 5 tấn.
Nếu gội số xe ban đầu là x. Hỏi đội xe ban đầu có bao nhiêu chiếc? (biết rằng mỗi xe chở hàng như nhau)
Câu 2: Trong dự định, số hàng mỗi xe chở là: A. tấn C. tấn B. tân D. tấn
Câu 3: Trong thực tế, mỗi xe chờ được số tấn hàng là: A. tấn C. tấn B. tấn D. tấn
Câu 4: Số xe ban đầu của đội là: A. 17 xe C. 16 xe B. 14 xe D. 15 xe
Sử dụng dữ kiện sau để trả lời câu hỏi từ câu 5 đến câu 7: Một phòng họp có 360 ghế ngồi được
xếp thành từng dãy và số ghế của từng dãy đều như nhau. Nếu tăng số dãy thêm 1 và số ghế của
mỗi dãy tăng thêm 1 thì trong phòng có 400 ghế. Nếu gọi số dãy ghế là (dãy) với . Hỏi trong
phòng họp có bao nhiêu dãy ghế (biết số dãy ghế ít hơn 20)
Câu 5: Số ghế ử mỗi dãy ghế lúc sau là: A. ghế C. ghế D. ghế B. ghế
Câu 6: Phương trình của bài toán trên là: A. C. B. D.
Câu 7: Số dãy ghế lúc đầu là: A. 16 dãy C. 15 dãy B. 14 dãy D. 17 dãy
BÀI TẬP VỀ NHÀ SỐ 8
Câu 1: Cho phương trình
. Tính tổng hai nghiệm của phương trình. C. A. D. B.
Câu 2: Cho phương trình
. Tính tích hai nghiệm của phương trình. A. C. B. D.
Câu 3: Cho phương trình:
. Không giải phương trình hãy cho biết phương trình có một nghiệm bằng: A. D. B. C.
Câu 4: Không giải phương trình
, hãy ch biết phương trình chắc chắn có 1 nghiệm là: A. C. B. D.
Cho đề bài sau, sử dụng đề bài để trả lời các câu hỏi từ Câu 5 – Câu 9: Một tấm bìa hình chữ nhật
có chu vi 80 cm . Người ta cắt ra ở mỗi góc một hình vuông
cạnh 3 cm rồi gấp lên thành một hình hộp chữ nhật không có nắp có diện tích là 339 cm2. Nếu gọi
chiều rộng của tấm bìa là (0 < x < 20, cm). Viết pương trình tính diện tích hình hộp chữ nhật.
Câu 5: Chiều dài của tấm bìa là: A. (cm) C. (cm) B. (cm) D. (cm)
Câu 6: Chiều dài của hình hộp sau khi cắt 4 góc và gấp lại: A. (cm) C. (cm) B. (cm) D. (cm)
Câu 7: Chiều rộng của hình hộp sau khi cắt 4 góc và gấp lại: A. (cm) C. (cm) B. (cm) D. (cm)
Câu 8: Diện tích xung quanh miếng bìa là: A. (cm2) C. (cm2) B. (cm2) D. (cm2)
Câu 9: Diện tích 1 mặt đáy của hình hộp là: A. (cm2) C. (cm2) B. (cm2) D. (cm2)
Câu 10: Phương trình tính Diện tích hình hộp chữ nhật là: A. B. C. D.
Câu 1: Cho phương trình . Với
là nghiệm của phương trình, hãy tính A. C. B. D.
Câu 2: Cho phương trình , với
là nghiệm của phương trình, hãy tính A. C. B. D.
Câu 3: Cho phương trình có hai nghiệm , giá trị của bằng: A. C. B. D. Câu 4: Giả sử
là hai nghiệm của phương trình
. Không giải phương trình hãy tính . A. 24 C. 21 B. 23 D. 22
Cho bài toán sau, hãy trả lời Câu 5 – Câu 7 để hàn thiện bài toán: Ôtô dự định đi từ A đến B với
vận tốc 50 km/h. Đi được 20 phút thì gặp đường xấu nên vận tốc giảm còn 40 km/h, vì vậy đến B
trễ mất 18 phút. Tính quãng đường AB, nếu gọi quãng đường AB là (km) với .
Câu 5: Quãng đường mà ô tô đi trong 20 phút đầu là: C. km A. km D. 2 km B. km
Câu 6: Thời gian ô tô đi quãng đường còn lại với vận tốc 40km/h là: A. (giờ) C. (giờ) B. (giờ) D. (giờ)
Câu 7: Phương trình và quãng đường AB là: A.
; Quãng đường AB là 230 km B. ; Quãng đường AB là km C. ; Quãng đường AB là km D.
; Quãng đường AB là 230 km
BÀI TẬP VỀ NHÀ SỐ 9
Câu 1: Phương trình nào sau đây là phương trình bậc hai một ẩn. A. C. B. D.
Câu 2: Hàm số nào sau đây là hàm số bậc hai. C. A. D. B.
Câu 3: Tổng hai nghiệm của phương trình là: A. C. B. D.
Câu 4: Tích hai nghiệm của phương trình là: A. C. B. D.
Câu 5: Phương trình bậc hai
chắc chắn có một nghiệm là: A. D. B. C.
Cho bài toán sau, hãy sử dụng bài toán để trả lời câu hỏi từ Câu 6 – Câu 10: Một hình chữ nhật có
chiều dài gấp 3 lần chiều rộng. Nếu cả chiều dài và chiều rộng cùng tăng thêm 5cm thì được một
hình chữ nhật mới có diện tích bằng 153cm2. Nếu gọi chiều rộng của hình chữ nhật là (cm), x >
0. Tính chu vi của hình chữ nhật ban đầu
Câu 6: Chiều dài của hình chữ nhật là: A. (cm) C. (cm) B. (cm) D. (cm)
Câu 7: Chiều rộng hình chữ nhật sau khi tăng thêm là A. (cm) C. (cm) B. (cm) D. (cm)
Câu 8: Chiều dài hình chữ nhật sau khi tăng thêm là: A. (cm) C. (cm) B. (cm) D. (cm)
Câu 9: Phương trình của bài toán là: A. C. B. D.
Câu 10: Chu vi của hình chữ nhật là: A. 23 cm B. 32 cm C. 33 cm D. 22 cm
Câu 1: Điểm nào sau đây thuộc đồ thị hàm số ? C. A. D. B.
Câu 2: Các nghiệm của phương trình A. C. B. D.
Câu 3: Tìm nghiệm của phương trình A. C. B. D.
Câu 4: Phương trình bậc hai có hai nghiệm và là: A. C. B. D.
Câu 5: Hình vẽ bên là hai đường Parabol trong mặt phẳng tọa độ Oxy. Khẳng định nào sau đây là đúng? A. C. B. D.
Cho đề bài sau: Một hình chữ nhật có chu vi là 20 cm và diện tích 24 cm2. Hãy trả lời Câu 6 và Câu 7.
Câu 6: Chiều dài hình chữ nhật là: A. 4 cm C. 5 cm B. 6 cm D. 7 cm
Câu 7: Chiều rộng hình chữ nhật là: A. 3 cm C. 5 cm B. 7 cm D. 4 cm
Câu 1: Xác định hệ số của hàm số
. Biết đồ thị của hàm số đi qua điểm A. C. B. D.
BÀI TẬP VỀ NHÀ SỐ 10
Câu 1: Góc nội tiếp nhỏ hơn hoặc bằng có số đo:
A. Bằng nửa số đo góc ở tâm cùng chắn một cung
B. Bằng số đo của góc ở tâm cùng chắn một cung
C. Bằng số đo cung bị chắn
D. Bằng nửa số đo cung lớn
Câu 2: Góc nội tiếp có số đo
A. Bằng hai lần số đo góc ở tâm cùng chắn một cung
B. Bằng số đo góc ở tâm cùng chắn một cung
C. Bằng số đo cung bị chắn
D. Bằng nửa số đo cung bị chắn
Câu 3: Góc nội tiếp chắn nửa đường tròn bằng bao nhiêu độ? A. C. B. D.
Câu 4: Hình nào dưới đây biểu diễn góc nội tiếp? A. Hình 1 C. Hình 3 B. Hình 2 D. Hình 4
Câu 5: Khẳng định nào sau đây là sai?
A. Trong một đường tròn, góc nội tiếp chắn nửa đường tròn là góc vuông.
B. Trong một đường tròn, hai góc nội tiếp bằng nhau chắn hai cung bằng nhau
C. Trong một đường tròn, hai góc nội tiếp cùng chắn một cung thì bằng nhau
D. Trong một đường tròn, hai góc nội tiếp bằng nhau thì cùng chắn một cung Câu 6: Cho tứ giác nội tiếp. Chọn câu sai A. C. B. D.
Câu 7: Tứ giác ở hình nào dưới đây là tứ giác nội tiếp? A. Hình C. Hình B. Hình D. Hình Câu 8: Cho tam giác vuông tại đường cao . Kẻ vuông góc với tại Kẻ vuông góc với tại . Chọn câu đúng A. Tứ giác là tứ giác nội tiếp. C. Tứ giác là hình vuông. B. Tứ giác không nội tiếp. D. Tứ giác không nội tiếp
Câu 9: Góc nội tiếp của đường tròn là góc
A. có đỉnh nằm trên đường tròn và hai cạnh chứa hai dây cung của đường tròn đó.
B. có đỉnh nằm trên đường tròn và một cạnh chứa một dây cung của đường tròn đó.
C. có đỉnh nằm trong đường tròn và hai cạnh chứa hai dây cung của đường tròn đó.
D. có đỉnh nằm trong đường tròn và một cạnh chứa một dây cung của đường tròn đó.
Câu 10: Cung nằm bên trong góc được gọi là A. cung ngoại tiếp. C. cung chắn B. cung nội tiếp. D. cung bị chắn
Câu 1: Cho đường tròn và điểm nằm ngoài
. Từ điểm kẻ hai dây cung và ( nằm
giữa và , nằm giữa và ). Tích bằng? A. C. B. D. Câu 2: Cho tam giác
có ba góc nhọn, đường cao
và nội tiếp đường tròn tâm , đường kính . Góc bằng góc: A. B. C. D.
Câu 3: Cho đường tròn và hai dây cung
bằng nhau. Qua vẽ một cát tuyến cắt dây ở và cắt ở . Khi đó bằng A. C. B. D.
Câu 4: Cho đường tròn và hai dây cung
bằng nhau. Qua vẽ một cát tuyến cắt dây ở và cắt ở . Khi đó bằng A. C. B. D. Câu 5: Cho tam giác nhọn nội tiếp . Hai đường cao và
cắt nhau tại . Vẽ đường kính
. Hai đoạn thẳng nào sau đây bằng nhau? A. C. B. D. Câu 6: Cho tam giác nhọn nội tiếp Hai đường cao và
cắt nhau tại . Vẽ đường kính
. Hệ thức nào dưới đây là đúng? A. C. B. D.
BÀI TẬP VỀ NHÀ SỐ 11
Câu 1: Đường tròn ngoại tiếp đa giác là đường tròn:
A. Tiếp xúc với tất cả các cạnh của đa giác đó.
B. Đi qua tất cả các đỉnh của đa giác đó
C. Cắt tất cả các cạnh của đa giác đó
D. Đi qua tâm của đa giác đó
Câu 2: Tâm đường tròn nội tiếp của một tam giác là giao của các đường: A. Trung trực C. Phân giác ngoài B. Phân giác trong D. Cao
Câu 3: Tâm đường tròn ngoại tiếp tam giác là giao điểm của các đường: A. Trung trực C. Trung tuyến B. Phân giác trong D. Cao
Câu 4: Số đường tròn nội tiếp của một đa giác đều là: A. 1 C. 3 B. 2 D. 0
Câu 5: Phát biểu nào sau đây đúng nhất?
A. Mỗi tam giác luôn có một đường tròn ngoại tiếp
B. Mỗi tứ giác luôn có một đường tròn nội tiếp C. Cả A và B đều đúng
D. Đường tròn tiếp xúc với các đường thẳng chứa các cạnh của tam giác là đường tròn nội tiếp tam giác đó
Câu 6: Đường tròn ngoại tiếp tam giác đều cạnh có bán kính bằng A. C. B. D.
Câu 7: Đường tròn nội tiếp tam giác là đường tròn
A. tiếp xúc 2 cạnh của tam giác.
C. tiếp xúc 3 cạnh của tam giác.
B. tiếp xúc 1 cạnh của tam giác.
D. không tiếp xúc cạnh nào của tam giác.
Câu 8: Hình nào có đường tròn
ngoại tiếp tam giác A. Hình C. Hình B. Hình D. Hình
Câu 9: Hình nào có đường tròn
nội tiếp tam giác