





Preview text:
KHOA TOÁN KINH TẾ BỘ MÔN TOÁN CƠ BẢN Bài giảng TOÁN CHO CÁC NHÀ KINH TẾ TÓM TẮT CHƯƠNG 5
Tóm tắt chương 5 - Tích phân từng phần
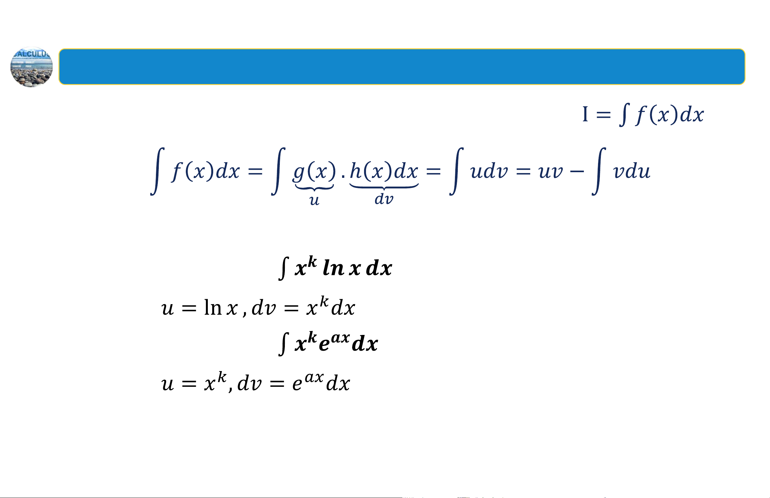
Công thức tích phân từng phần để tính tích phân :
Hai dạng tích phân áp dụng công thức tích phân từng phần: Dạng tích phân: . Đặt . Dạng tích phân: . Đặt . 2
Tóm tắt chương 5 - Tính gần đúng tích phân xác định Quy tắc hình thang:
Ước lượng sai số: Nếu
là giá trị lớn nhất của trên đoạn thì Với
là độ sai lệch giữa giá trị đúng của tích phân và giá trị xấp xỉ
được tính theo quy tắc hình thang khi đoạn con được sử dụng. 3
Tóm tắt chương 5 - Tính gần đúng tích phân xác định
Quy tắc Simpson. Với số nguyên chẵn , ta có
Ước lượng sai số: Nếu là giá trị lớn nhất của trên đoạn thì Với
là độ sai lệch giữa giá trị đúng của tích phân và giá trị xấp xỉ
được tính theo quy tắc Simpson khi đoạn con được sử dụng. 4
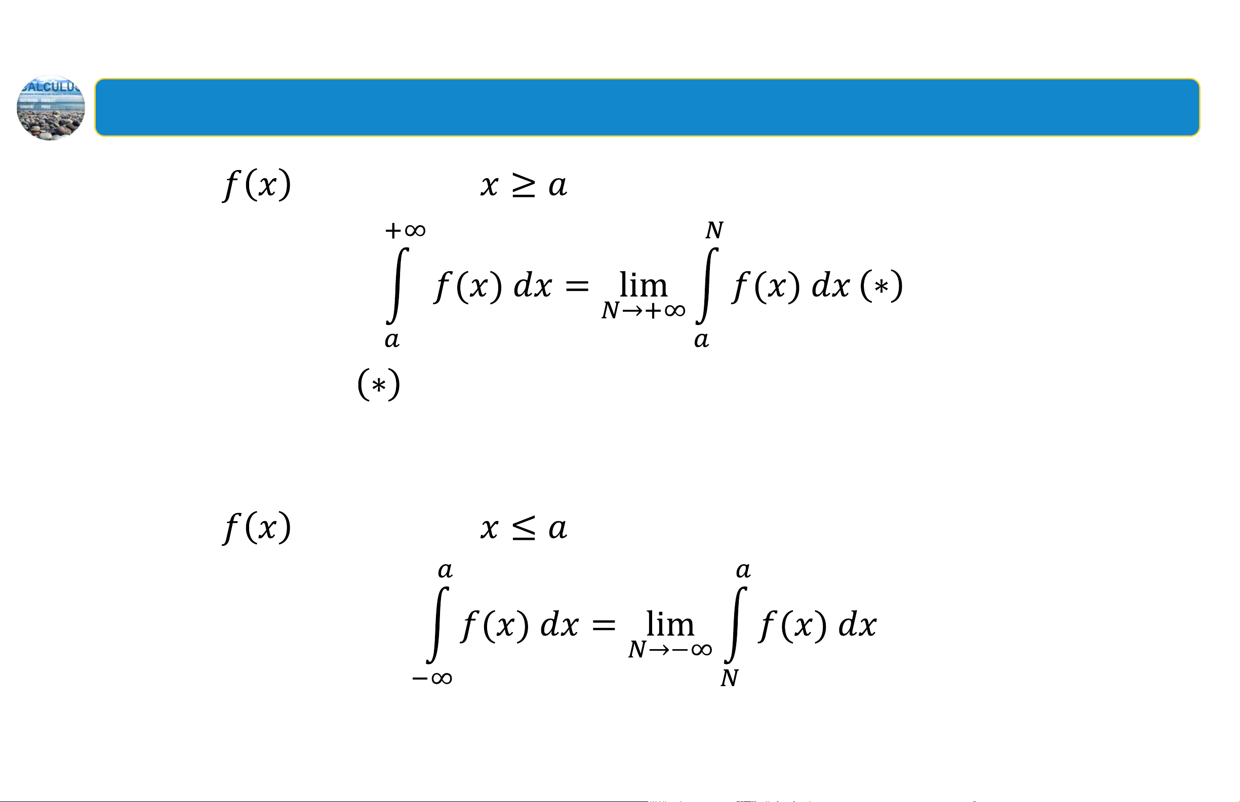
Tóm tắt chương 5 - Tích phân suy rộng Nếu liên tục với thì: Nếu giới hạn
tồn tại hữu hạn thì tích phân suy rộng được gọi là
hội tụ tới giá trị của giới hạn. Nếu giới hạn không tồn tại hoặc bằng
vô hạn thì tích phân suy rộng được gọi là phân kỳ. Nếu liên tục với thì 5
Tóm tắt chương 5 - Tích phân suy rộng với hai cận vô hạn Nếu và
đều hội tụ với giá trị nào đó, thì: Chú ý: với 6