












Preview text:
KHOA TOÁN KINH TẾ BỘ MÔN TOÁN CƠ BẢN Bài giảng TOÁN CHO CÁC NHÀ KINH TẾ TÓM TẮT CHƯƠNG 6
Tóm tắt chương 6 - Hàm hai biến
Khái niệm hàm số hai biến:
Đồ thị của hàm số hai biến
là tập hợp của tất cả các bộ ba số
trong hệ tọa độ ba chiều sao cho nằm trong miền xác định của và . Tập hợp các điểm trong mặt phẳng thỏa mãn
được gọi là đường mức của tại mức C.
Hàm sản lượng có dạng: trong đó , và là các hằng số dương với
, được gọi là dạng hàm sản xuất Cobb-Douglas. 2
Tóm tắt chương 6 - Đường đẳng lượng và đường bàng quan Đường mức của hàm sản lượng được
gọi là đường cong sản lượng không đổi C hoặc một đường đẳng lượng. Hàm lợi ích
là mức độ hài lòng (hoặc lợi ích) của người tiêu dùng khi mua
đơn vị hàng hóa thứ nhất
và đơn vị hàng hóa thứ hai. Đường mức
của hàm lợi ích được gọi là đường bàng quan. 3
Tóm tắt chương 6 - Đạo hàm riêng Cho hàm hai biến .
Đạo hàm riêng của theo được ký hiệu bởi hoặc
là hàm có được bằng cách lấy đạo hàm theo , coi là một hằng số.
Đạo hàm riêng của theo được ký hiệu bởi hoặc
là hàm có được bằng cách lấy đạo hàm theo , coi là một hằng số. 4
Tóm tắt chương 6 - Phân tích cận biên Nếu
là sản lượng nhận được của một quá trình sản xuất sử
dụng đơn vị vốn và đơn vị lao động thì:
được gọi là sản lượng cận biên của vốn.
được gọi là sản lượng cận biên của lao động. Nhận xét: 5
Tóm tắt chương 6 - Hàng hóa thay thế và bổ sung Định nghĩa
Hai hàng hóa được gọi là hàng hóa thay thế nếu cầu đối với hàng
hóa này tăng sẽ dẫn đến cầu đối với hàng hóa kia giảm. và
Hai hàng hóa được gọi là hàng hóa bổ sung nếu cầu đối với một
hàng hóa giảm dẫn đến cầu đối với hàng hóa kia giảm. và 6
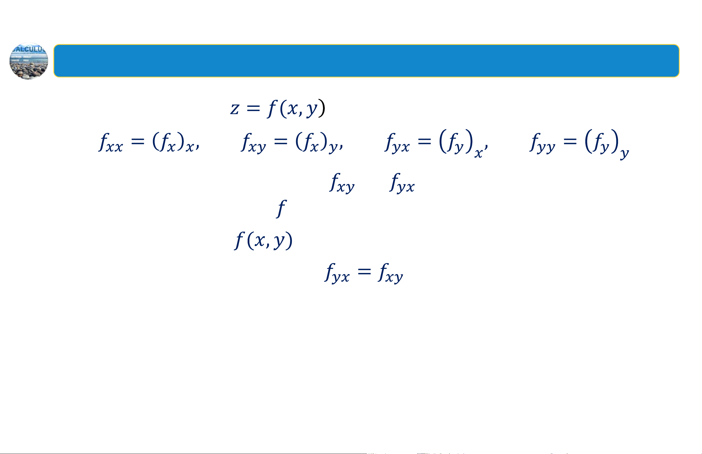
Tóm tắt chương 6 - Đạo hàm riêng cấp hai Hàm số hai biến
có 4 đạo hàm riêng cấp hai:
Hai đạo hàm riêng cấp hai và
được gọi là đạo hàm riêng cấp hai hỗn hợp của . Hầu hết các hàm
có các đạo hàm riêng hỗn hợp bằng nhau: 7 Tóm tắt chương 6
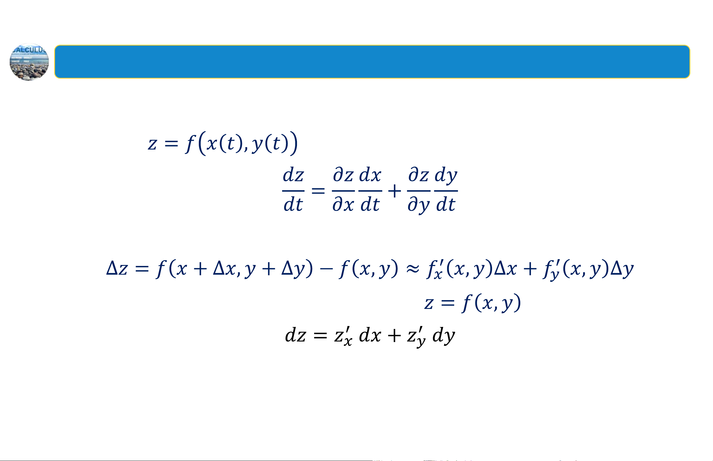
Quy tắc đạo hàm riêng của hàm hợp Giả sử , khi đó:
Công thức tính xấp xỉ số gia:
Vi phần toàn phần của hàm hai biến là: 8
Tóm tắt chương 6 - Cực trị tương đối và điều kiện cần Một điểm
trong miền xác định của được gọi là điểm tới hạn của nếu và
Những điểm tới hạn mà tại đó hàm số đạt cực đại theo một hướng
và đạt cực tiểu theo hướng khác được gọi là điểm yên ngựa.
Điều kiện cần của cực trị tương đối: Nếu các đạo hàm riêng cấp một của hàm số
tồn tại tại mọi điểm thuộc miền trong mặt phẳng
thì cực trị tương đối của trong chỉ có thể xảy ra
tại các điểm tới hạn. 9
Tóm tắt chương 6 - Cực trị tương đối và điều kiện đủ Giả sử là hàm của hai biến và với các đạo hàm riêng , , , và đều tồn tại, ký hiệu là hàm số: Giả sử
là điểm tới hạn của hàm số . Nếu thì là điểm yên ngựa. Nếu , tính nếu
hàm số có cực tiểu tương đối tại , nếu
, hàm số có cực đại tương đối tại . Nếu
, ta chưa kết luận được về điểm tới hạn . 10
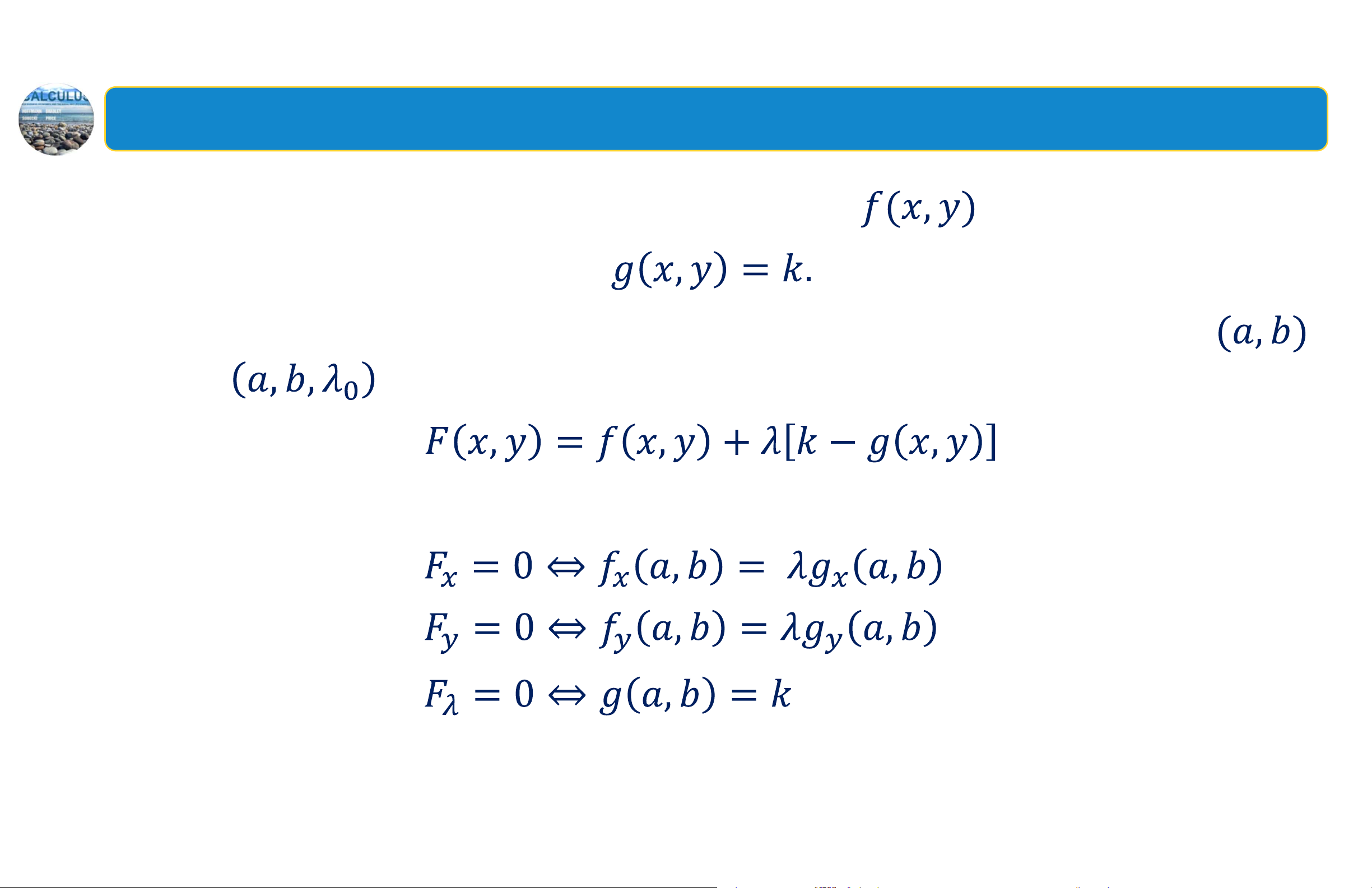
Tóm tắt chương 6 - Cực trị có điều kiện ràng buộc
Bài toán: Tìm cực trị tương đối của hàm với điều kiện
Mọi cực trị tương đối của bài toán trên đều xảy ra tại điểm với
là điểm tới hạn của hàm số Lagrange
Ta cần giải hệ 3 phương trình Lagrange 11
Tóm tắt chương 6 - Cực trị có điều kiện ràng buộc
Chú ý: Với những hàm được xét trong giáo trình, ta có thể giả sử
rằng nếu hàm có một giá trị cực đại (cực tiểu) có điều kiện, nó sẽ
là giá trị lớn nhất (nhỏ nhất) trong các giá trị tới hạn .
Giả sử là giá trị cực đại (cực tiểu) của với điều kiện ràng buộc . Khi đó, , Nghĩa là: lượng thay đổi của khi tăng 1 đơn vị. 12
Tóm tắt chương 6 - Cực trị có điều kiện ràng buộc
Phương pháp nhân tử Lagrange đối với hàm ba biến: để tìm cực trị của hàm với ràng buộc , ta sẽ giải hệ gồm bốn phương trình và 13