













Preview text:
  lOMoAR cPSD| 60776878
3.1 MỘT SỐ VẤN ĐỀ CƠ BẢN VỀ HÀNH VI NGƯỜI TIÊU DÙNG: 
3.1.1: Các khái niệm về lợi ích : 
 3.1.1.1 Lợi ích (U-Utility ): 
Lợi ích là sự thỏa mãn , hài long hay ưng ý mà một người cảm nhận được khi tiêu 
dung một loại hoàng hóa hay dịch vụ nào đó mang lại. 
Ví dụ: Khi ăn 1 trái cam người tiêu dùng cảm thấy ngon thì chúng ta có thể biểu diễn 
cảm giác ngon miệng này bằng một con số như 20 và như vậy độ thỏa dụng của trái 
cam trong trường hợp này là 20, đồng thời nếu trái cam này được người tiêu dùng 
cho là ngon hơn một trái chuối thì độ thỏa dụng của trái chuối có thể là 15. 
3.1.2 Tổng lợi ích (TU) :   TU = f (x,y) 
Tổng lợi ích hay lợi ích tổng thể , là tổng mức thỏa mãn, hài long hay ưng ý khi 
người ta tiêu dung nhiều hàng hóa, dịch vụ Trong cùng một thời kì nhất định . 
Tổng hữu dụng phụ thuộc vào số lượng 
hàng hóa người tiêu dùng nếu các yếu  tố khác không đổi. 
3.1.1.3 Lợi ích biên (MU) 
Lợi ích biên là sự hài lòng thu được 
them vào nhờ vào việc tiêu dùng them  một sản phẩm .   MU= ΔTU/ΔQ = TUq’ 
*ΔUx = U2+U1 / Δx = dU(X) /dx *ΔU =U2+ U1 *Δx = X2 - X1  MU là lợi ích cận biên 
ΔTU là sự thay đổi về tổng lợi ích      lOMoAR cPSD| 60776878
ΔQ là sự thay đổi về lượng hàng hóa, dịch vụ tiêu dùng 
Nếu MU>0, tức là việc tiêu thụ thêm một đơn vị cuối cùng mang lại lợi ích. 
Nếu MU<0, lợi ích giảm và người tiêu dùng có thể giảm tiêu thụ để tối ưu hóa tổng  lợi ích. 
Nếu MU=0, người tiêu dùng dừng tiêu thụ và số lượng sản phẩm tiêu thụ là tối ưu,  và đạt TU max. 
Ví dụ: Giả sử nếu một người uống một cốc nước, lợi ích mà anh ta thu được là 5; 
uống hai cốc nước, lợi ích mà anh ta thu được là 8. 
 Như vậy, lợi ích cận biên được xác định theo công thức trên sẽ bằng:MU = (8 –  5)/(2-1) = 3 
VD: Một người tiêu dùng uống bia, số lượng cốc bia là X, tổng lợi ích là Tux  x  0  1  2  3  4  5  6  7  8  TUx 0  35  65  90  105  110 110  95  60  Mux -  35  30  25  15  5  0  -15 -35   
Quy luật lợi ích cận biên giảm dần 
- Nội dung quy luật : Lợi ích cận biên của một hàng hóa có xu hướng giảm đi khi 
lượng hàng hóa đó được tiêu dùng nhiều hơn trong một giai đoạn nhất định. 
- Do quy luật tác động nên khi tiêu dùng ngày càng nhiều một loại hàng hóa , tổng 
lợi ích sẽ tăng lên nhưng tốc độ tăng ngày chậm và sau đó giảm.   
3.1.1.4 Mối quan hệ giữa tổng lợi ích và lợi ích biên:      lOMoAR cPSD| 60776878
Lợi ích cận biên ( MU ) của một hàng hóa là sự thay đổi của tổng lợi ích do tiêu 
dùng thêm một đơn vị hàng hóa đó, hay nói cách khác , nó phản ánh mức độ hài 
lòng do tiêu dùng một đơn vị sau cùng của hàng hóa đó mang lại. Biểu thức phản 
ánh lợi ích cận biên là:   
3.1.1.5 Sự cân bằng tiêu dùng : 
Cân bằng tiêu dùng (tiếng Anh: Consumer Equilibrium) là trạng thái người tiêu dùng 
tối đa hóa được lợi ích (đạt được sự thỏa mãn) khi chịu sự ràng buộc của ngân sách  (budget constraint). 
Sự cân bằng tiêu dùng xảy ra khi người tiêu dùng không có động lực để thay đổi sự 
phân bổ chi tiêu của mình, vì bất kỳ sự điều chỉnh nào sẽ dẫn đến việc giảm mức 
thỏa mãn. Tại điểm này, tỷ lệ biên thỏa mãn giữa các hàng hóa là tương đương với 
tỷ lệ giá của chúng. 1. Giới hạn ngân sách: Px . Qx + Py .Qy = I  Trong đó: 
-Px : Giá của hàng hóa X 
-Qx: Số lượng hàng hóa X  -Px : Giá của hàng hóa Y 
- Qy: Số lượng hàng hóa Y 
- I : Tổng thu nhập của người tiêu dùng 
2.Điều kiện cân bằng tiêu dùng: Tại điểm cân bằng, điều kiện sau phải được thỏa  mãn:   MUx/Px  =  Muy/Py  Trong đó:  o 
MUx : Biên độ thỏa mãn (marginal utility) của  hàng hóa X  o 
MUy : Biên độ thỏa mãn của hàng hóa Y Ý  nghĩa      lOMoAR cPSD| 60776878 • 
Tối ưu hóa: Người tiêu dùng sẽ chi tiêu sao cho mỗi đồng tiền chi ra sẽ mang 
lại mức thỏa mãn cao nhất.  • 
Thay đổi giá và thu nhập: Khi giá hoặc thu nhập thay đổi, người tiêu dùng 
sẽ điều chỉnh sự cân bằng tiêu dùng của mình để tiếp tục tối ưu hóa thỏa mãn.  Kết luận: 
Sự cân bằng tiêu dùng không chỉ giúp người tiêu dùng đạt được mức thỏa mãn tối 
đa mà còn là cơ sở để phân tích hành vi tiêu dùng và tác động của các yếu tố kinh tế 
đến quyết định tiêu dùng. 
3.2 NGUYÊN TẮC TỐI ĐA HOÁ HỮU DỤNG 
 3.2.1 Đường bàng quan 
  3.2.1.1 Khái niệm đường bàng quan 
 Đường bàng quan hay còn gọi là đường đẳng ích, là tập hợp các phối hợp khác 
nhau giữa 2 loại hàng hoá X và Y, tuy các cách tiêu dùng là khác nhau nhưng có 
cùng một mức lợi ích là như nhau. 
 Giả sử, có đường thẳng bàng quan dạng TU= (Y-5)X, với TU= 150. Lần lượt 
cho X= 3; 4; 5; 6, ta có Y= 55; 42.5; 35; 30    X  Y  3  55  4  42.5  5  35  6  30        
Đường bàng quan TU= (Y-5)X       
3.2.1.2 Tính chất và ý nghĩa của đường bàng quan 
 Độ cong của đường bàng quan cho biết khả năng thay thế cho nhau giữa 2 loại 
hàng hóa X và Y trong việc tạo ra một mức lợi ích như nhau. 
a) Tính chất của đường bàng quan 
- Đường bàng quan cao hơn được ưa thích hơn đường bàng quan thấp hơn: 
Người tiêu dùng thích lựa chọn điểm tiêu dùng ở đường bàng quan có mức      lOMoAR cPSD| 60776878
lợi ích cao hơn. Điều này phản ánh mong muốn người tiêu dùng là thích tiêu 
dùng nhiều hơn đối với một hàng hóa. 
- Đường bàng quan có độ dốc đi xuống: Phản ánh tỷ lệ thay thế hàng hóa này 
bởi hàng hóa khác. Trong hầu hết các trường hợp, người tiêu dùng thích cả 
hai. Vì vậy, nếu số lượng một hàng hóa giảm đi thì số lượng hàng hóa khác 
phải tăng lên để người tiêu dùng đạt được cùng mức thỏa mãn. Vì lý do này, 
đường bàng quan có dạng dốc xuống. 
- Đường bàng quan càng lõm về phía gốc toạ độ thì khả năng thay thế cho nhau  giữa X và Y càng kém. 
- Đường bàng quan càng gần như thẳng thì khả năng thay thế cho nhau giữa X  và Y gần như hoàn toàn. 
- Đường bàng quan gãy khúc và vuông góc thì X và Y hoàn toàn không thể thay  thế cho nhau được. 
- Các dạng đường bàng quan thường gặp:   
  1/ X và Y là hai sản phẩm bổ sung 2/ X  
và Y là hai sản phẩm thay thế  
b) Ý nghĩa của đường bàng quan 
- MRS- Marginal Rate of Substitution: được gọi là tỷ lệ thay thế biên, là tỷ lệ 
mà tại đó người tiêu dùng sẵn sàng thay thế hàng hoá này bằng hàng hoá khác, 
sao cho tổng hữu dụng là không đổi. Do X và Y nghịch chiều nhau nên MRS  luôn âm (MRS < 0). 
- Đường bàng quan cho biết các lựa chọn có giao điểm nằm trên nó tuy có cơ 
cấu tiêu dùng khác nhau nhưng đều có cùng một mức lợi ích như nhau.  - Công thức tính MRS:  MU X   MRS= MU Y        lOMoAR cPSD| 60776878
 Trong cùng một thời kỳ, đứng trước 2 loại hàng hoá X và Y, người tiêu dùng có 
vô số các đường bàng quan khác nhau, chúng thể hiện cho nhiều mức độ thoả mãn 
khác nhau nếu tăng dần số lượng tiêu dùng đồng thời 2 loại hàng hoá trên. Các đường 
bàng quan này luôn song hành với nhau, chúng không cắt nhau và càng lên cao 
chúng thể hiện mức độ lợi ích càng cao. 
 Chẳng hạn như hình sau:   
 Sở thích của người tiêu dùng có thể được mô tả bằng một tập hợp các đường 
bàng quan tương ứng với mức lợi ích khác nhau (U1, U2, U3,…). Các đường bàng 
quan càng xa gốc toạ độ thì mức lợi ích càng cao (U3>U2>U1). 
  3.2.2 Đường ngân sách 
 3.2.2.1 Khái niệm đường ngân sách 
 Đường ngân sách là đường thẳng nối liền các điểm mà tại đó chúng thể hiện các 
lựa chọn chi tiêu hai loại hàng hoá X và Y với mức thu nhập không đổi. 
 Có thể biểu diễn phương trình đường ngân sách thông qua hàm số sau:  I= PXX + PYY 
 Trong đó: I là thu nhập của người tiêu dùng 
 PX, PY là giá của hàng hoá X, Y 
 X, Y là số lượng của hàng hoá X, Y 
 Nếu người tiêu dùng dành toàn bộ thu nhập I để tiêu dùng Y mà không tiêu 
I dùng một X nào thì Y= PY và ngược lại nếu toàn bộ I tiêu  dùng cho X mà không      lOMoAR cPSD| 60776878
I mua một Y nào thì X= PX . Ngoài ra, còn tuỳ thuộc vào 
mức độ ưu tiên chỉ tiêu cho loại hàng hoá nào mà ta có các cặp X1PX1 và Y1PY1; X2PX2  và Y2PY2;…… 
 Chẳng hạn, một người tiêu dùng có khoản thu nhập khả dụng cho 2 loại hàng 
hoá X vaf Y là 50.000VNĐ. Với PX= 10.000VNĐ/sản phẩm, PY= 5.000VNĐ/sản 
phẩm thì phương trình sẽ là: 55000= 10000X + 5000Y. Các khả năng tiêu dùng được 
thể hiện bằng bảng dưới đây:  Hàng hoá X  Hàng hoá Y  0  11  1  9  2  7  3  5  4  3  5  1   
 Đồ thị biểu diễn đường ngân sách:     
  3.2.2.2 Tính chất và ý nghĩa của đường ngân sách 
 Các đại lượng I, PX, PY, X, Y luôn mang giá trị dương. 
 Vì PX, PY mang giá trị dương nên độ dốc của đường ngân sách luôn có giá trị âm. 
Độ dốc âm của đường ngân sách phản ánh tỷ lệ thay đổi giữa hai hàng hóa X và Y, 
và cho biết sự thay đổi giữa khối lượng hàng hóa X và Y là ngược chiều nhau. 
 Đường ngân sách, giữa X và Y có thể thay thế cho nhau hoàn toàn và mỗi sự lựa 
chọn tiêu dùng X và Y có giao điểm nằm trên nó tuy có cơ cấu khác nhau nhưng đều 
có chung một mức chi phí như nhau là I.      lOMoAR cPSD| 60776878
 Hệ số góc của đường ngân sách cho biết tỷ lệ thay thế cho nhau giữa X và Y để 
vẫn giữ cho thu nhập I không thay đổi. Tỷ lệ này là tỷ số giữa giá cả của X trên giá 
cả của Y. Hệ số góc của đường ngân sách được tính như sau:  PX  HI= PY 
 Trong đó, HI là hệ số góc của đường ngân sách, hệ số góc của đường ngân sách  luôn âm. 
 Lưu ý, trong một thời kỳ nhất định, mỗi người tiêu dùng chỉ có một đường ngân  sách duy nhất mà thôi. 
 3.2.2.3 Sự thay đổi của đường ngân sách 
 Do sự biến động về thu nhập hoặc giá cả của sản phẩm nên đường ngân sách của 
người tiêu dùng có thể thay đổi. Sự thay đổi này có thể diễn ra theo 2 dạng, tịnh tiến 
đường ngân sách và thay đổi độ dốc đường ngân sách. 
a) Tịnh tiến đường ngân sách 
 Đường ngân sách tịnh tiến khi thu nhập khả dụng thay đổi trong khi giá các sản 
phẩm không đổi. Đường ngân sách sẽ dịch chuyển song song sang phải khi thu nhập 
tăng so với lúc trước. Ngược lại khi thu nhập giảm, đường ngân sách sẽ dịch chuyển  song song sang trái.   
 Do tịnh tiến nên đường ngân sách mới song song với đường ngân sách cũ. Vì 
vậy, hệ số góc của đường ngân sách mới không thay đổi so với đường ngân sách cũ.   
b) Thay đổi độ dốc đường ngân sách 
 Thay đổi độ dốc đường ngân sách là do giá cả của sản phẩm thay đổi không cùng 
tốc độ hoặc giá của sản phẩm này thay đổi còn giá sản phẩm kia đứng yên, trong khi 
thu nhập khả dụng vẫn giữ nguyên. Đường ngân sách sẽ xoay quanh một góc và do 
đó hệ số góc của nó sẽ thay đổi.      lOMoAR cPSD| 60776878
 Nếu thu nhập và giá cả của sản phẩm Y giữ nguyên, giá sản phẩm X tăng lên 
hoặc giảm xuống thì đường ngân sách sẽ xoay về phía gốc toạ độ Y.   
 Nếu thu nhập và giá cả của sản phẩm X giữ nguyên, giá sản phẩm Y tăng lên 
hoặc giảm xuống thì đường ngân sách sẽ xoay về phía gốc toạ độ X. 
  3.2.3 Sự lựa chọn tiêu dùng tối ưu 
 Để đạt được sự lựa chọn tiêu dùng tối ưu với một khoản thu nhập nhất định thì tập 
hợp hàng hóa đó phải thỏa mãn 2 điều kiện sau: 
 + Tập hợp hàng hóa phải nằm trên đường ngân sách: Người tiêu dùng chỉ có thể 
tiêu dùng một tập hợp hàng hóa mà họ có thể mua được, họ không thể mua tập hợp 
hàng hóa nằm ngoài đường ngân sách vì không có khả năng thanh toán. Người tiêu 
dùng cũng sẽ không tiêu dùng tại 1 điểm nằm dưới đường ngân sách vì lúc này nguồn 
ngân sách còn dư nên người tiêu dùng có thể mua thêm nhiều hàng hóa hơn để đạt  mức lợi ích cao hơn. 
 + Tập hợp hàng hóa phải mang lại mức lợi ích cao nhất cho cá nhân: Điều này 
có nghĩa là cá nhân phải ưa thích tập hợp hàng hóa này nhất trong số tập hợp hàng 
hóa có thể mua được. Tập hợp hàng hóa mà cá nhân sẽ lựa chọn phải nằm trên đường 
bàng quan cao nhất. Ví dụ:      lOMoAR cPSD| 60776878    
 + Giỏ hàng hóa D đem lại lợi ích lớn nhất nhưng người tiêu dùng không thể mua  được. 
 + Giỏ hàng hoá A và B có thể mua được nhưng lại đem lại mức độ lợi ích không 
phải là cao nhất có thể. 
 + Giỏ hàng hóa C người tiêu dùng có thể mua được và đem lại mức độ lợi ích  lớn nhất. 
 Sự lựa chọn tiêu dùng tối ưu là sự lựa chọn mà tại đó đường ngân sách tiếp xúc 
với đường bàng quan, nghĩa là đường ngân sách trùng với tiếp tuyến của đường bàng 
quan, do đó hệ số góc đường ngân sách bằng với tỷ lệ thay thế biên.    MUx  Px 
 Tức là, MRS= HI hoặc một cách tổng quát ta có: TUmax  MUy= Py 
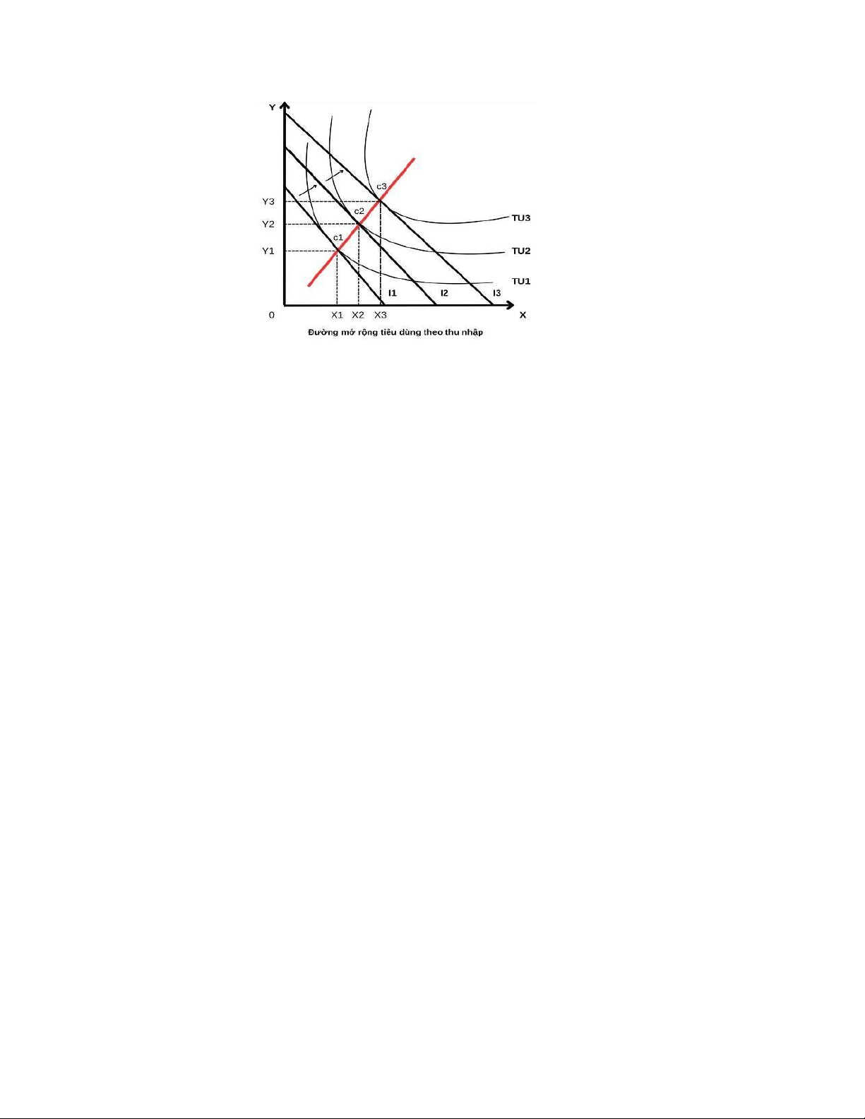
 3.2.4 Đường mở rộng tiêu dùng theo thu nhập 
 Như chúng ta đã phân tích ở phần trước, khi thu nhập tăng lên người tiêu dùng sẽ 
điều chỉnh tiêu dùng tăng lên theo một xu hướng nhất định. Một nguyên tắc chung 
cho mọi sự lựa chọn của người tiêu dùng nhằm bảo đảm cho TUmax là MRS = HI hay 
phải chọn đúng điểm "c", tiếp điểm của đường bàng quan và đường ngân sách. Kết 
quả sẽ có các điểm c1, c2, c3... Nối các điểm này lại ta sẽ có một quỹ tích được gọi là 
"Đường mở rộng tiêu dùng theo thu nhập". 
 Như vậy, có thể khẳng định rằng: "Đường mở rộng tiêu dùng theo thu nhập là một 
quỹ tích của các điểm "c", nó cho biết xu hướng mở rộng tiêu dùng một cách hiệu 
quả nhất khi thu nhập của người tiêu dùng tăng lên". Như đồ thị minh hoạ sau:      lOMoAR cPSD| 60776878  
3.3 SỰ HÌNH THÀNH ĐƯỜNG CẦU THỊ TRƯỜNG 
3.3.1 Quan hệ giữa lợi ích biên và cầu cá nhân 
Đường lợi ích biên: biểu thị sự thỏa mãn bổ sung (tiện ích) mà người tiêu dùng có 
được khi tiêu thụ thêm một đơn vị hàng hóa hoặc dịch vụ. Đường này thường dốc 
xuống do quy luật tiện ích biên giảm dần, quy luật này nêu rằng khi một người tiêu 
thụ nhiều đơn vị hàng hóa hơn, sự thỏa mãn bổ sung thu được từ mỗi đơn vị tiếp  theo có xu hướng giảm. 
Đường cong cầu cá nhân: thể hiện mối quan hệ giữa giá của một hàng hóa và lượng 
cầu của một người tiêu dùng cá nhân. Đường này thường dốc xuống, cho thấy khi 
giá của một hàng hóa giảm thì lượng cầu tăng. 
Mối quan hệ giữa lợi ích biên và cầu cá nhân: người tiêu dùng luôn lựa chọn sao cho 
lợi ích mà họ thu được từ việc tiêu dùng hàng hóa, dịch vụ phải tương xứng với số 
tiền mà họ đã bỏ ra. Do đó, nếu một hàng hóa, dịch vụ nào đem lại lợi ích cho họ 
cao hơn thì họ sẽ chấp nhận trả cho nó cái giá cao hơn và ngược lại, khi họ cảm giác 
hàng hóa, dịch vụ không còn có ích cho họ nữa thì dù có được cho không họ cũng 
không nhận và tất nhiên là họ không chấp nhận bỏ ra thêm bất cứ một đồng nào cho  nó. 
Ví dụ 3.8: Với quan điểm trên, ta có thể phân tích hành vi lựa chọn tiêu dùng một 
hàng hóa X nào đó trên cơ sở lợi ích biên giảm dần và cái giá mà người tiêu dùng 
phải trả cho nó với việc giả định rằng: Một người tiêu dùng cụ thể sau khi cân đối 
thu nhập cứ 1 đồng mà người này bỏ ra phải thu lại được 2 đơn vì lợi ích từ tiêu 
dùng hàng hóa đó( 1 đồng =2U).      lOMoAR cPSD| 60776878  
Như vậy, tại đơn vị hàng hóa thứ 8, do không còn thu được lợi ích nên người tiêu 
dùng không thể trả thêm đồng nào nữa để mua nó. 
3.3.2 Cầu thị trường 
Cầu của thị trường về hàng hóa, dịch vụ là tổng hợp của toàn bộ các cầu của cá nhân 
về hàng hóa, dịch vụ đó.   
Khi triển khai công thức trên ta có: Q DM =Q D1 +Q D2 +Q D3 +......+Q Dm 
Như vậy, đường cầu thị trường về là tổng hợp theo chiều ngang của tất cả các đương 
cà chuan về hàng hóa, dịch vụ đó. Chẳng hạn, ta có đường cầu thị trường từ 3 đường 
cầu cá nhân A, B và C như sau: 
Hình 3.14: Mối quan hệ giữa đường cầu cá nhân và đường cầu thị trường        lOMoAR cPSD| 60776878
Ví dụ 3.9: Trên thị trường sản phẩm X có 3 người tiêu dùng, với hàm số cầu cá nhân  như sau: 
Cầu của A: P = - 4Q + 200 hay Q_{A} = -0, 25P + 50 
Cầu của B: P = - 2Q + 180 hay Q_{B} = -0, 5P + 90 
Cầu của C: P = - Q + 150 hay Q_{C} = - P + 150 
Hãy xác định cầu thị trường tại các mức giá P = 180, 160, 140, 120 ngàn đồng/sản  phẩm.  Ta có: Q DM =Q A +Q B +Q C 
Nghĩa là: Q DM =(-0,25P+50)+(-0,5P+90)+(-1P+150)=-1,75P+290  Hay: P = (- 4Q + 290)/7 
3.3.3 Thặng dư tiêu dùng 
Thặng dư tiêu dùng là phần chênh lệch giữa tổng hữu dụng của một hàng hóa và 
tổng giá trị thị trường của hàng hóa đó. Thặng dư này phát sinh là vì chúng ta nhận 
được nhiều hơn cái giá mà chúng ta phải trả do quy luật hữu dụng biên giảm dần. 
Chúng ta phải trả một lượng tiền như nhau cho mỗi đơn vị hàng hóa mà chúng ta 
mua, từ đơn vị đầu tiên đến đơn vị cuối cùng, nhưng theo quy luật hữu dụng biên 
giảm dần thì những đơn vị hàng hóa đầu tiên cho ta mức hữu dụng nhiều hơn những 
đơn vị hàng hóa cuối cùng. Do đó, chúng ta được hưởng một lượng hữu dụng thặng 
dư đối với mỗi đơn vị hàng hóa trước đơn vị hàng hóa cuối cùng, lượng hữu dụng 
thặng dư đó ta gọi là “thặng dư tiêu dùng”. 
Ví dụ 3.10: Sử dụng số liệu ở Bảng 3.7, thể hiện mối quan hệ giữa lợi ích biên với 
cầu cá nhân. Ở đây có từng mức giá mà người tiêu dùng chấp nhận thanh toán cho 
người bán để được tiêu dùng hàng hóa. Giả sử, người tiêu dùng muốn tiêu dùng 5 
đơn vị hàng hóa và bảo đảm cân đối giữa lợi ích với chi phí cho nó thì số tiền người 
tiêu dùng phải chỉ trả cho 5 đơn vị hàng hóa đó được thể hiện như sau: 
Tuy nhiên, trong thực tế người tiêu dùng chỉ phải trả một mức giá như nhau cho tất 
cả các đơn vị hàng hóa mà người tiêu dùng đã mua trong cùng một thời kỳ, không 
phân biệt lợi ích biên của đơn vị hàng hóa cao hay thấp. Chẳng hạn, nếu mua 5 sản 
phẩm thì người tiêu dùng chỉ phải thanh toán 10 x 5 = 50 đồng thay vì 30 
+25+20+15+10 = 100 đồng. Mức chênh lệch 50 đồng chính là thặng dư tiêu dùng 
mà người này được 5 đơn vị hàng hóa. Hoặc, với số tiền 50 đồng mà người tiêu dùng 
đã bỏ ra đáng lý chỉ thu được 100 đơn vị lợi ích, nhưng trên thực tế người tiêu dùng      lOMoAR cPSD| 60776878
đã thu được 200 đơn vị lợi ích, mức chênh lệch 100 đơn vị lợi ích chính là thặng dư 
tiêu dùng mà người tiêu dùng thu được. 
Chúng ta có thể tính được thặng dư tiêu dùng đơn giản hơn khi có hàm số cầu. Ví 
dụ, hàm cầu cá nhân của người tiêu dùng trên có dạng P = aQ + b. Thặng dư tiêu 
dùng (Sp) tại mức giá Pó với lượng hàng hóa được mua là Q_{0} được tính theo  công thức :   
Ví dụ 3.11: Hàm cầu cá nhân về hàng hóa X của một người tiêu dùng có dạng như 
P = - 2Q + 300 Nếu giá bán của X trên thị trường là P = 140 đơn vị tiền/sản phẩm 
sau: thì lượng cầu về hàng hóa này đối với người tiêu dùng là Q = 80 đơn vị sản  phẩm. 
Hỏi: Thặng dư tiêu dùng của mà người tiêu dùng thụ hưởng là bao nhiêu? 
Thặng dư của người tiêu dùng là: 
S_{P} = ((300 – 140) * 80)/2 = 6.400