Đề HK1 Toán 7
Danh sách Tài liệu
-
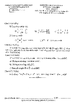
Đề kiểm tra học kì 1 Toán 7 năm 2020 – 2021 trường THCS Thụy Phương – Hà Nội
86 43 lượt tải 1 trangĐề kiểm tra học kì 1 Toán 7 năm 2020 – 2021 trường THCS Thụy Phương – Hà Nội gồm 04 câu trắc nghiệm và 05 câu tự luận, phần trắc nghiệm chiếm 02 điểm, phần tự luận chiếm 08 điểm, thời gian làm bài thi là 90 phút.
Môn: Toán 7Chủ đề: Đề HK1 Toán 7Dạng: Đề thiTác giả: Kim Oanh1 năm trước -
Đề thi học kỳ 1 Toán 7 năm 2020 – 2021 phòng GD&ĐT Thủ Đức – TP HCM
95 48 lượt tải 1 trangĐề thi học kỳ 1 Toán 7 năm học 2020 – 2021 phòng GD&ĐT Thủ Đức – thành phố Hồ Chí Minh gồm 01 trang với 06 bài toán dạng tự luận, thời gian làm bài 90 phút, kỳ thi được diễn ra vào thứ Ba ngày 22 tháng 12 năm 2020.
Môn: Toán 7Chủ đề: Đề HK1 Toán 7Dạng: Đề thiTác giả: Kim Oanh1 năm trước -
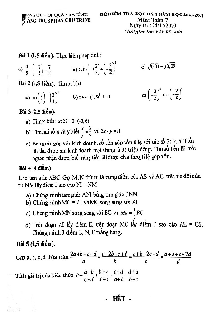
Đề thi học kỳ 1 Toán 7 năm 2020 – 2021 trường THCS Mỹ Trung – Nam Định
83 42 lượt tải 2 trangĐề thi học kỳ 1 Toán 7 năm 2020 – 2021 trường THCS Mỹ Trung – Nam Định gồm 02 trang với 08 câu trắc nghiệm và 03 câu tự luận, thời gian làm bài 90 phút.
Trích dẫn đề thi học kỳ 1 Toán 7 năm 2020 – 2021 trường THCS Mỹ Trung – Nam Định:
Môn: Toán 7Chủ đề: Đề HK1 Toán 7Dạng: Đề thiTác giả: Kim Oanh1 năm trước -
Đề thi học kì 1 Toán 7 năm 2020 – 2021 trường chuyên Hà Nội – Amsterdam
104 52 lượt tải 1 trangGiới thiệu đến quý thầy, cô giáo cùng các em học sinh lớp 7 đề thi học kì 1 Toán 7 năm học 2020 – 2021 trường chuyên Hà Nội – Amsterdam, quận Cầu Giấy, thành phố Hà Nội, nhằm giúp các em ôn tập, thử sức để chuẩn bị cho kì thi HK1 Toán 7 sắp tới.
Môn: Toán 7Chủ đề: Đề HK1 Toán 7Dạng: Đề thiTác giả: Kim Oanh1 năm trước -
Đề thi học kì 1 Toán 7 năm 2020 – 2021 trường THCS Nguyễn Công Trứ – Hà Nội
97 49 lượt tải 1 trangGiới thiệu đến quý thầy, cô giáo cùng các em học sinh lớp 7 đề thi học kì 1 Toán 7 năm học 2020 – 2021 trường THCS Nguyễn Công Trứ, quận Ba Đình, thành phố Hà Nội, nhằm giúp các em ôn tập, thử sức để chuẩn bị cho kì thi HK1 Toán 7 sắp tới.
Môn: Toán 7Chủ đề: Đề HK1 Toán 7Dạng: Đề thiTác giả: Kim Oanh1 năm trước -
Đề tham khảo cuối kỳ 1 Toán 7 năm 2022 – 2023 trường Quốc tế Á Châu – TP HCM
109 55 lượt tải 12 trangGiới thiệu đến quý thầy, cô giáo và các em học sinh lớp 7 đề tham khảo kiểm tra cuối học kỳ 1 môn Toán 7 năm học 2022 – 2023 trường Quốc tế Á Châu, quận Bình Thạnh, thành phố Hồ Chí Minh
Môn: Toán 7Chủ đề: Đề HK1 Toán 7Dạng: Đề thiTác giả: Kim Oanh1 năm trước -
Đề minh họa cuối kỳ 1 Toán 7 năm 2022 – 2023 trường THCS Bình Quới Tây – TP HCM
71 36 lượt tải 12 trangGiới thiệu đến quý thầy, cô giáo và các em học sinh lớp 7 đề minh họa kiểm tra cuối học kỳ 1 môn Toán 7 năm học 2022 – 2023 trường THCS Bình Quới Tây, quận Bình Thạnh, thành phố Hồ Chí Minh
Môn: Toán 7Chủ đề: Đề HK1 Toán 7Dạng: Đề thiTác giả: Kim Oanh1 năm trước -
Đề đề nghị cuối kỳ 1 Toán 7 năm 2022 – 2023 trường THCS Cù Chính Lan – TP HCM
122 61 lượt tải 5 trangGiới thiệu đến quý thầy, cô giáo và các em học sinh lớp 7 đề đề nghị kiểm tra cuối học kỳ 1 môn Toán 7 năm học 2022 – 2023 trường THCS Cù Chính Lan, quận Bình Thạnh, thành phố Hồ Chí Minh; đề thi được biên soạn theo hình thức 30% trắc nghiệm + 70% tự luận,
Môn: Toán 7Chủ đề: Đề HK1 Toán 7Dạng: Đề thiTác giả: Kim Oanh1 năm trước -
Đề đề nghị cuối kỳ 1 Toán 7 năm 2022 – 2023 trường THCS Cửu Long – TP HCM
87 44 lượt tải 7 trangGiới thiệu đến quý thầy, cô giáo và các em học sinh lớp 7 đề đề nghị kiểm tra cuối học kỳ 1 môn Toán 7 năm học 2022 – 2023 trường THCS Cửu Long, quận Bình Thạnh, thành phố Hồ Chí Minh; đề thi được biên soạn theo hình thức 30% trắc nghiệm + 70% tự luận,
Môn: Toán 7Chủ đề: Đề HK1 Toán 7Dạng: Đề thiTác giả: Kim Oanh1 năm trước -
Đề minh họa cuối kỳ 1 Toán 7 năm 2022 – 2023 trường THCS Điện Biên – TP HCM
71 36 lượt tải 7 trangGiới thiệu đến quý thầy, cô giáo và các em học sinh lớp 7 đề minh họa kiểm tra cuối học kỳ 1 môn Toán 7 năm học 2022 – 2023 trường THCS Điện Biên, quận Bình Thạnh, thành phố Hồ Chí Minh; đề thi được biên soạn theo hình thức 30% trắc nghiệm + 70% tự luận,
Môn: Toán 7Chủ đề: Đề HK1 Toán 7Dạng: Đề thiTác giả: Kim Oanh1 năm trước