Đề HK2 Toán 6
Danh sách Tài liệu
-
Đề thi cuối học kỳ 2 Toán 6 năm 2020 – 2021 sở GD&ĐT Quảng Nam
90 45 lượt tải 6 trangĐề thi cuối học kỳ 2 Toán 6 năm 2020 – 2021 sở GD&ĐT Quảng Nam gồm 02 mã đề: mã đề A và mã đề B; đề gồm 15 câu trắc nghiệm (05 điểm) và 03 câu tự luận (05 điểm), thời gian làm bài 60 phút, đề thi có đáp án, lời giải chi tiết và hướng dẫn chấm điểm.
Môn: Toán 6Chủ đề: Đề HK2 Toán 6Dạng: Đề thiTác giả: Nguyễn Vân1 năm trước -
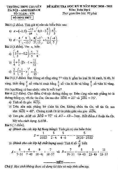
Đề thi học kỳ 2 Toán 6 năm 2020 – 2021 trường chuyên Hà Nội – Amsterdam
187 94 lượt tải 1 trangNgày … tháng 04 năm 2021, trường THPT chuyên Hà Nội – Amsterdam tổ chức kiểm tra chất lượng môn Toán lớp 6 giai đoạn cuối học kì 2 năm học 2020 – 2021. Đề thi học kỳ 2 Toán 6 năm 2020 – 2021 trường chuyên Hà Nội – Amsterdam gồm 01 trang với 05 bài toán dạng tự luận, thời gian làm bài 90 phút.
Môn: Toán 6Chủ đề: Đề HK2 Toán 6Dạng: Đề thiTác giả: Nguyễn Vân1 năm trước -
Đề thi học kì 2 Toán 6 năm 2019 – 2020 trường THCS Nguyễn Huệ – TP HCM
81 41 lượt tải 5 trangNhằm giúp các em học sinh lớp 6 có sự chuẩn bị tốt nhất cho đợt kiểm tra định kỳ cuối học kì 2 môn Toán lớp 6, giới thiệu đến các em PDF đề thi + đáp án + lời giải chi tiết đề thi học kì 2 Toán 6 năm học 2019 – 2020 trường THCS Nguyễn Huệ, quận Tân Phú, thành phố Hồ Chí Minh.
Môn: Toán 6Chủ đề: Đề HK2 Toán 6Dạng: Đề thiTác giả: Nguyễn Vân1 năm trước -
Đề thi học kỳ 2 Toán 6 năm học 2019 – 2020 sở GD&ĐT Quảng Nam
92 46 lượt tải 6 trangĐề thi học kỳ 2 Toán 6 năm học 2019 – 2020 sở GD&ĐT Quảng Nam gồm có hai mã đề: mã đề A và mã đề B; đề gồm có 02 trang với 15 câu trắc nghiệm và 03 câu tự luận, phần trắc nghiệm chiếm 05 điểm, phần tự luận chiếm 05 điểm, thời gian làm bài 60 phút, đề thi có đáp án và lời giải chi tiết.
Môn: Toán 6Chủ đề: Đề HK2 Toán 6Dạng: Đề thiTác giả: Nguyễn Vân1 năm trước -
Đề thi học kì 2 Toán 6 năm 2019 – 2020 trường THCS Quang Trung – TP HCM
105 53 lượt tải 4 trangGiới thiệu đến các em PDF đề thi + đáp án + lời giải chi tiết đề thi học kì 2 Toán 6 năm học 2019 – 2020 trường THCS Quang Trung, quận Tân Bình, thành phố Hồ Chí Minh. Mời mọi người đón xem
Môn: Toán 6Chủ đề: Đề HK2 Toán 6Dạng: Đề thiTác giả: Nguyễn Vân1 năm trước -
Đề học kỳ 2 Toán 6 năm 2022 – 2023 trường TH & THCS Đại Tân – Quảng Nam
111 56 lượt tải 5 trangGiới thiệu đến quý thầy, cô giáo và các em học sinh lớp 6 đề kiểm tra chất lượng cuối học kỳ 2 môn Toán 6 năm học 2022 – 2023 trường TH & THCS Đại Tân, huyện Đại Lộc, tỉnh Quảng Nam; đề thi được biên soạn theo cấu trúc 30% trắc nghiệm + 70% tự luận
Môn: Toán 6Chủ đề: Đề HK2 Toán 6Dạng: Đề thiTác giả: Nguyễn Vân1 năm trước -
Đề học kì 2 Toán 6 năm 2022 – 2023 phòng GD&ĐT Bắc Từ Liêm – Hà Nội
303 152 lượt tải 6 trangGiới thiệu đến quý thầy, cô giáo và các em học sinh lớp 6 đề kiểm tra cuối học kì 2 môn Toán 6 năm học 2022 – 2023 phòng Giáo dục và Đào tạo UBND quận Bắc Từ Liêm, thành phố Hà Nội; đề thi hình thức 30% trắc nghiệm kết hợp 70% tự luận (theo thang điểm)
Môn: Toán 6Chủ đề: Đề HK2 Toán 6Dạng: Đề thiTác giả: Nguyễn Vân1 năm trước -
Đề cuối học kỳ 2 Toán 6 năm 2022 – 2023 trường THCS Tân Dân – Hải Phòng
149 75 lượt tải 5 trangGiới thiệu đến quý thầy, cô giáo và các em học sinh lớp 6 đề kiểm tra cuối học kỳ 2 môn Toán 6 năm học 2022 – 2023 trường THCS Tân Dân, huyện An Lão, thành phố Hải Phòng; đề thi có ma trận, đáp án và hướng dẫn chấm điểm.
Môn: Toán 6Chủ đề: Đề HK2 Toán 6Dạng: Đề thiTác giả: Nguyễn Vân1 năm trước -
Đề cuối học kỳ 2 Toán 6 năm 2022 – 2023 trường THCS Bát Trang – Hải Phòng
226 113 lượt tải 9 trangGiới thiệu đến quý thầy, cô giáo và các em học sinh lớp 6 đề kiểm tra cuối học kỳ 2 môn Toán 6 năm học 2022 – 2023 trường THCS Bát Trang, huyện An Lão, thành phố Hải Phòng; đề thi có ma trận, đáp án và hướng dẫn chấm điểm.
Môn: Toán 6Chủ đề: Đề HK2 Toán 6Dạng: Đề thiTác giả: Nguyễn Vân1 năm trước -
Đề cuối học kỳ 2 Toán 6 năm 2022 – 2023 trường THCS Mỹ Đức – Hải Phòng
124 62 lượt tải 4 trangGiới thiệu đến quý thầy, cô giáo và các em học sinh lớp 6 đề kiểm tra cuối học kỳ 2 môn Toán 6 năm học 2022 – 2023 trường THCS Mỹ Đức, huyện An Lão, thành phố Hải Phòng; đề thi có ma trận, đáp án và hướng dẫn chấm điểm.
Môn: Toán 6Chủ đề: Đề HK2 Toán 6Dạng: Đề thiTác giả: Nguyễn Vân1 năm trước