Đề HK2 Toán 6
Danh sách Tài liệu
-
Đề thi HK2 Toán 6 năm 2018 – 2019 phòng GD&ĐT Mộ Đức – Quảng Ngãi
123 62 lượt tải 2 trangĐề thi HK2 Toán 6 năm học 2018 – 2019 phòng GD&ĐT Mộ Đức – Quảng Ngãi gồm 2 trang, đề được biên soạn theo dạng kết hợp giữa trắc nghiệm khách quan và tự luận, phần trắc nghiệm gồm 4 câu, chiếm 2 điểm, phần tự luận gồm 5 câu, chiếm 8 điểm, thời gian làm bài 90 phút
Môn: Toán 6Chủ đề: Đề HK2 Toán 6Dạng: Đề thiTác giả: VietJack1 năm trước -
Đề thi HK2 Toán 6 năm 2018 – 2019 phòng GD&ĐT Tư Nghĩa – Quảng Ngãi
109 55 lượt tải 1 trangGiới thiệu đến quý thầy, cô giáo cùng các em học sinh đề thi HK2 Toán 6 năm 2018 – 2019 phòng GD&ĐT Tư Nghĩa – Quảng Ngãi, đề thi được biên soạn theo dạng đề tự luận với 5 bài toán, đề gồm 1 trang, học sinh làm bài thi trong khoảng thời gian 90 phút.
Môn: Toán 6Chủ đề: Đề HK2 Toán 6Dạng: Đề thiTác giả: VietJack1 năm trước -
Đề thi HK2 Toán 6 năm 2018 – 2019 phòng GD&ĐT thành phố Quảng Ngãi
100 50 lượt tải 1 trangĐề thi HK2 Toán 6 năm 2018 – 2019 phòng GD&ĐT thành phố Quảng Ngãi gồm 1 trang với 5 bài toán tự luận, thời gian học sinh làm bài là 90 phút, kỳ thi nhằm khảo sát chất lượng học tập môn Toán của học sinh lớp 6 trong giai đoạn học kỳ 2 năm học 2018 – 2019.
Môn: Toán 6Chủ đề: Đề HK2 Toán 6Dạng: Đề thiTác giả: VietJack1 năm trước -
Đề kiểm tra chất lượng cuối năm Toán 6 năm 2018 – 2019 sở GD&ĐT Bắc Ninh
116 58 lượt tải 1 trangVừa qua, sở Giáo dục và Đào tạo tỉnh Bắc Ninh đã tổ chức kỳ thi kiểm tra chất lượng cuối năm môn Toán lớp 6 năm học 2018 – 2019, nhằm đánh giá một cách chính xác năng lực học tập môn Toán 6 của các em trong giai đoạn học kỳ 2 vừa qua.
Môn: Toán 6Chủ đề: Đề HK2 Toán 6Dạng: Đề thiTác giả: VietJack1 năm trước -
Đề thi học kỳ 2 Toán 6 năm 2018 – 2019 phòng GD&ĐT Ba Đình – Hà Nội
112 56 lượt tải 3 trangVừa qua, phòng Giáo dục và Đào tạo quận Ba Đình – Hà Nội đã tổ chức kỳ thi kiểm tra chất lượng học kỳ 2 môn Toán lớp 6 năm học 2018 – 2019, nhằm tổng kết và đánh giá khả năng tiếp thu kiến thức môn Toán của học sinh lớp 6, qua đó có cơ sở để xếp loại học lực.
Môn: Toán 6Chủ đề: Đề HK2 Toán 6Dạng: Đề thiTác giả: VietJack1 năm trước -
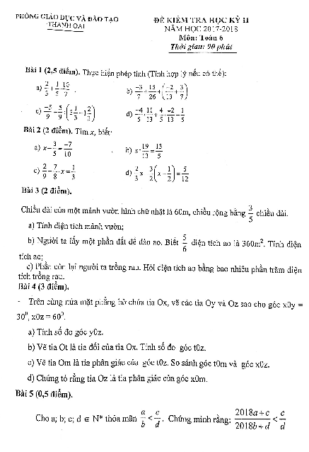
Đề thi học kỳ 2 Toán 6 năm 2017 – 2018 phòng GD và ĐT Thanh Oai – Hà Nội
93 47 lượt tải 2 trangĐề thi học kỳ 2 Toán 6 năm 2017 – 2018 phòng GD và ĐT Thanh Oai – Hà Nội được biên soạn theo hình thức tự luận, đề gồm 1 trang với 5 bài toán, thời gian làm bài dành cho các em học sinh là 90 phút, đề thi có lời giải chi tiết và thang điểm.
Môn: Toán 6Chủ đề: Đề HK2 Toán 6Dạng: Đề thiTác giả: VietJack1 năm trước -
Đề thi HK2 Toán 6 năm học 2016 – 2017 trường THCS Đức Phổ – Lâm Đồng
88 44 lượt tải 4 trangGiới thiệu đến quý thầy, cô giáo và các em học sinh lớp 6 đề thi HK2 Toán 6 năm học 2016-2017 trường Đức Phổ -Lâm Đồng gồm 10 bài toán tự luận, có lời giải chi tiết.. Mời mọi người đón xem.
Môn: Toán 6Chủ đề: Đề HK2 Toán 6Dạng: Đề thiTác giả: VietJack1 năm trước -
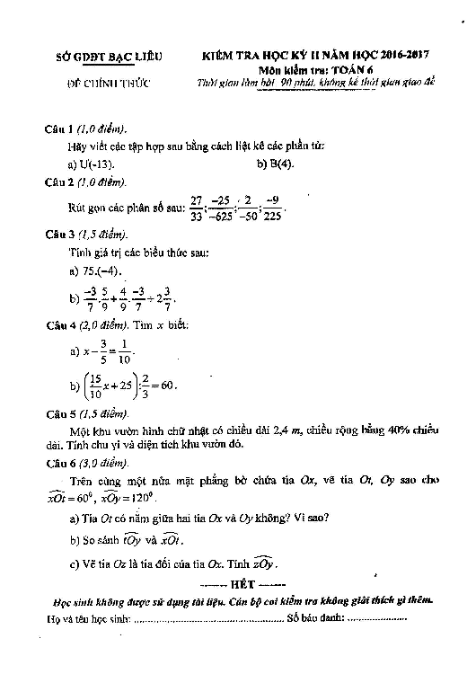
Đề thi HK2 Toán 6 năm học 2016 – 2017 phòng GD và ĐT Kim Sơn – Ninh Bình
94 47 lượt tải 3 trangGiới thiệu đến quý thầy, cô giáo và các em học sinh lớp 6 đề thi HK2 Toán 6 năm học 2016 – 2017 phòng GD và ĐT Kim Sơn – Ninh Bình gồm 5 bài toán tự luận, có lời giải chi tiết.. Mời mọi người đón xem.
Môn: Toán 6Chủ đề: Đề HK2 Toán 6Dạng: Đề thiTác giả: VietJack1 năm trước -
Đề thi HK2 Toán 6 năm học 2016 – 2017 phòng GD và ĐT Tứ Kỳ – Hải Dương
127 64 lượt tải 5 trangGiới thiệu đến quý thầy, cô giáo và các em học sinh lớp 6 đề thi HK2 Toán 6 năm học 2016 – 2017 phòng GD và ĐT Tứ Kỳ – Hải Dương gồm 6 bài toán tự luận, có lời giải chi tiết.. Mời mọi người đón xem.
Môn: Toán 6Chủ đề: Đề HK2 Toán 6Dạng: Đề thiTác giả: VietJack1 năm trước -
Đề thi HK2 Toán 6 năm học 2016 – 2017 phòng GD và ĐT Thành phố Hải Dương
107 54 lượt tải 1 trangGiới thiệu đến quý thầy, cô giáo và các em học sinh lớp 6 đề thi HK2 Toán 6 năm học 2016 – 2017 phòng GD và ĐT Hải Dương gồm 5 bài toán tự luận. Mời mọi người đón xem.
Môn: Toán 6Chủ đề: Đề HK2 Toán 6Dạng: Đề thiTác giả: VietJack1 năm trước