Đề HK2 Toán 7
Danh sách Tài liệu
-
Đề học kỳ 2 Toán 7 năm 2021 – 2022 phòng GD&ĐT Tiền Hải – Thái Bình
169 85 lượt tải 5 trangGiới thiệu đến quý thầy, cô giáo và các em học sinh lớp 7 đề khảo sát chất lượng cuối học kỳ 2 môn Toán 7 năm học 2021 – 2022 phòng Giáo dục và Đào tạo UBND huyện Tiền Hải, tỉnh Thái Bình
Môn: Toán 7Chủ đề: Đề HK2 Toán 7Dạng: Đề thiTác giả: VietJack1 năm trước -
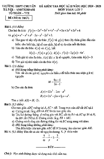
Đề kiểm tra cuối học kỳ 2 Toán 7 năm 2020 – 2021 phòng GD&ĐT thành phố Bắc Ninh
137 69 lượt tải 4 trangĐề kiểm tra cuối học kỳ 2 Toán 7 năm 2020 – 2021 phòng GD&ĐT thành phố Bắc Ninh gồm 12 câu trắc nghiệm (03 điểm) và 04 câu tự luận (07 điểm), thời gian học sinh làm bài thi là 90 phút, đề thi có đáp án và lời giải chi tiết.
Môn: Toán 7Chủ đề: Đề HK2 Toán 7Dạng: Đề thiTác giả: VietJack1 năm trước -
Đề học kì 2 Toán 7 năm 2020 – 2021 phòng GD&ĐT thị xã Ninh Hòa – Khánh Hòa
128 64 lượt tải 5 trangGiới thiệu đến quý thầy, cô giáo và các em học sinh lớp 7 đề kiểm tra chất lượng học kì 2 môn Toán 7 năm học 2020 – 2021 phòng Giáo dục và Đào tạo thị xã Ninh Hòa, tỉnh Khánh Hòa; đề thi có đáp án, lời giải chi tiết và hướng dẫn chấm điểm.
Môn: Toán 7Chủ đề: Đề HK2 Toán 7Dạng: Đề thiTác giả: VietJack1 năm trước -
Đề thi cuối kỳ 2 Toán 7 năm 2020 – 2021 phòng GD&ĐT quận 7 – TP HCM
200 100 lượt tải 2 trangĐề thi cuối kỳ 2 Toán 7 năm 2020 – 2021 phòng GD&ĐT quận 7 – TP HCM gồm 02 trang với 06 bài toán dạng tự luận, thời gian làm bài 90 phút.
Môn: Toán 7Chủ đề: Đề HK2 Toán 7Dạng: Đề thiTác giả: VietJack1 năm trước -
Đề kiểm tra cuối kỳ 2 Toán 7 năm 2020 – 2021 trường THCS Nguyễn Thị Lựu – Đồng Tháp
134 67 lượt tải 5 trangGiới thiệu đến quý thầy, cô giáo và các em học sinh lớp 7 đề kiểm tra cuối kỳ 2 Toán 7 năm học 2020 – 2021 trường THCS Nguyễn Thị Lựu, thành phố Cao Lãnh, tỉnh Đồng Tháp, đề thi có đáp án, hướng dẫn giải và thang chấm điểm.
Môn: Toán 7Chủ đề: Đề HK2 Toán 7Dạng: Đề thiTác giả: VietJack1 năm trước -
Đề thi cuối kỳ 2 Toán 7 năm 2020 – 2021 phòng GD&ĐT Thủ Đức – TP HCM
179 90 lượt tải 2 trangThứ Tư ngày 05 tháng 05 năm 2021, phòng Giáo dục và Đào tạo Thủ Đức, thành phố Hồ Chí Minh tổ chức kỳ thi kiểm tra chất lượng môn Toán lớp 7 giai đoạn cuối học kỳ 2 năm học 2020 – 2021.
Môn: Toán 7Chủ đề: Đề HK2 Toán 7Dạng: Đề thiTác giả: VietJack1 năm trước -
Đề thi học kỳ 2 Toán 7 năm 2020 – 2021 trường THCS Vũng Tàu – BR VT
159 80 lượt tải 1 trangĐề thi học kỳ 2 Toán 7 năm học 2020 – 2021 trường THCS Vũng Tàu, tỉnh Bà Rịa – Vũng Tàu gồm 01 trang với 05 bài toán dạng tự luận, thời gian làm bài 90 phút.
Môn: Toán 7Chủ đề: Đề HK2 Toán 7Dạng: Đề thiTác giả: VietJack1 năm trước -
Đề thi học kỳ 2 Toán 7 năm 2020 – 2021 sở GD&ĐT Nam Định
186 93 lượt tải 2 trangĐề thi học kỳ 2 Toán 7 năm học 2020 – 2021 sở GD&ĐT tỉnh Nam Định mã đề 707 được biên soạn theo hình thức 40% trắc nghiệm + 60% tự luận, thời gian làm bài 90 phút.
Môn: Toán 7Chủ đề: Đề HK2 Toán 7Dạng: Đề thiTác giả: VietJack1 năm trước -
Đề thi cuối học kỳ 2 Toán 7 năm 2020 – 2021 sở GD&ĐT Quảng Nam
154 77 lượt tải 6 trangSáng thứ Hai ngày 10 tháng 05 năm 2021, sở Giáo dục và Đào tạo tỉnh Quảng Nam tổ chức kỳ thi kiểm tra chất lượng môn Toán lớp 7 giai đoạn cuối học kì 2 năm học 2020 – 2021.
Môn: Toán 7Chủ đề: Đề HK2 Toán 7Dạng: Đề thiTác giả: VietJack1 năm trước -
Đề thi học kỳ 2 Toán 7 năm 2020 – 2021 phòng GD&ĐT Tân Phú – TP HCM
180 90 lượt tải 1 trangĐề thi học kỳ 2 Toán 7 năm học 2020 – 2021 phòng Giáo dục và Đào tạo quận Tân Phú, thành phố Hồ Chí Minh gồm 01 trang với 06 bài toán dạng tự luận, thời gian học sinh làm bài thi là 90 phút.
Môn: Toán 7Chủ đề: Đề HK2 Toán 7Dạng: Đề thiTác giả: VietJack1 năm trước