



















Preview text:
ĐỀ CƯƠNG ÔN TẬP KINH TẾ HỌC (Lý thuyết Vi mô)
Câu 1 : Công cụ đường giới hạn khả năng sản xuất PPF được vận dụng như thế nào để giải
thích nguồn lực khan hiếm và phân tích chi phí cơ hội ? Lấy ví dụ và phân tích vấn đề này trong thực tiễn. Trả lời:
Đường giới hạn khả năng sản xuất PPF là một tập hợp tối đa số lượng các sản phẩm mà doanh
nghiệp có thể sản xuất được khi sử dụng toàn bộ nguồn lực sẵn có
Những điểm nằm trên đường PPF là những phương án sản xuất mà doanh nghiệp có thể đạt được
( những phương án tối ưu). Còn những điểm nằm ngoài đường PPF là những phương án sản xuất
không thể đạt được với nguồn lực và công nghệ hiện có do sự khan hiếm nguồn lực ❖
Chẳng hạn như để sản xuất đạt được sản lượng tại F doanh nghiệp phải sản xuất được 21
hàng hoá X và 21 hàng hoá Y. Trong khi điều này không thể đạt tới, với mức sản lượng là 21 hàng
hoá Y, doanh nghiệp chỉ có thể sản xuất tối đa 16 hàng hoá X, tức là tại điểm C
Do đó đường PPF chính là công cụ biểu diễn cho nguồn lực khan hiếm. ❖
Với nguồn lực hiện có, doanh nghiệp có thể sản xuất tại C tương ứng với 16 hh X và 21 hh
Y. Nếu doanh nghiệp muốn hàng hoá X đạt sản lượng 21, tức tăng thêm một lượng bằng ( 21-16 )
( điểm D ) , doanh nghiệp phải đánh đổi bằng việc giảm hàng hoá Y một lương (21-14)
Như vậy đường PPF biểu thị chi phí cơ hội, tức để sản xuất thêm 1 đơn vị hàng hoá này, xã
hội sẽ phải từ bỏ một lượng hàng hoá khác
VD minh hoạ : phần này lớp mình tự tra VD để đa dạng và khác nhau nhé
Câu 2: nguồn lực khan hiếm là gì ? . Lấy ví dụ và phân tích vấn đề khan hiếm nguồn lực đối với
cá nhân và doanh nghiệp trong thực tiễn?
Nguồn lực là tất cả những yếu tố được sử dụng để sản xuất hàng hoá hay dịch vụ và có thể được gọi
theo một tên khác là các yếu tố sản xuất. Nguồn lực được chia thành 4 nhóm: Đất đai, lao động, vốn và khả năng kinh doanh
Khan hiếm là tình trạng hàng hoá, dịch vụ hoặc nguồn lực không đủ so với mong muốn hay nhu
cầu. Theo David Begg, một nguồn lực khan hiếm là nguồn lực mà tại điểm giá bằng không thì lượng
cầu về nó lớn hơn lượng cung sẵn có.
Nguồn lực là khan hiếm vì số lượng nguồn lực được sử dụng để sản xuất ra hàng hoá, dịch vụ là có
hạn ngày một cạn kiệt. Do vậy, vấn đề lực chọn kinh tế tối ưu ngày càng phải đặt ra một cách nghiêm
túc, gay gắt và thực hiện một cách rất khó khăn. Đó là đòi hỏi tất yếu của nhu cầu ngày một tăng và
tài nguyên ngày một khan hiếm. Con người phải đối mặt với sự khan hiếm nguồn lực nên luôn phải 1
lựa chọn tối ưu. Việc lựa chọn sẽ đưa đến cho con người tới sự đánh đổi-muốn sản xuất thêm một đơn
vị hàng hoá này thì phải từ bỏ một lượng hàng hoá khác. Đây chính là chi phí cơ hội để sản xuất một
hàng hoá. Chi phí cơ hội được định nghĩa là giá trị của phương án tốt nhất bị bỏ qua khi thực hiện sự
lựa chọn kinh tế. Điều này có nghĩa trong tất cả các phương án bị bỏ qua, chi phí cơ hội cho phương
án được lựa chọn phải là phương án tốt nhất trong số đó.
VD1 : + Một sinh viên có 24 giờ mỗi ngày nhưng phải cân nhắc giữa việc học, làm thêm , nghỉ ngơi,
giải trí…Nếu dành quá nhiều thời gian cho việc làm thêm để kiếm tiền, sinh viên có thể bị ảnh hưởng
đến kết quả học tập và sức khoẻ.
Cá nhân cần biết cách quản lý nguồn lực khan hiếm bằng cách ưu tiên công việc quan trọng,
lập kế hoạch hợp lý, đặc biệt là kế hoạch quản lý thời gian và phát triển nhiều kỹ năng cẩn thiết
VD2: + Một công ty X khởi nghiệp có ý tưởng tốt về lĩnh vực công nghệ những thiếu vốn, nhân lực,
nguyên liệu và thị trường.
• Doanh nghiệp cần vốn để sản xuất, tiếp thị và phát triển sản phẩm, khi vốn khan hiếm, họ phải chọn
giữa mở rộng quy mô hay cải thiện sản phẩm hiện có.
• Thiếu nhân sự giỏi có thể làm chậm tiến trình phát triển của công ty
• Nếu nguồn cung nguyên liệu hạn chế , doanh nghiệp này phải tìm nhà cung cấp thay thế hoặc tối ưu sản xuất
• Trong thời điểm thị trường bão hoà hay khách hàng có nhiều lực chọn, doanh nghiệp phải tìm cách
tạo ra lợi thế cạnh tranh thông qua dịch vụ, giá cả hoặc chất lượng sản phẩm.
Doanh nghiệp cần sử dụng nguồn lực hiệu quả bằng cách tối ưu hoá quy trình, tìm kiếm
nguồn vốn phù hợp hơn , đào tạo nhân viên, đầu tư vào công nghệ chiến lược.
Câu 3: Phân tích 3 vấn đề kinh tế cơ bản của 1 doanh nghiệp là gì? Lấy ví dụ minh hoạ. Phân
tích ưu điểm và nhược điểm của các hệ thống kinh tế cơ bản? Lấy ví dụ và phân tích vấn đề này trong thực tiễn.
Bất kỳ một nền kinh tế nào cũng đối diện với 3 vấn đề cơ bản là: Sản xuất cái gì? Sản xuất như thế nào? Sản xuất cho ai ? *Sản xuất cái gì?
-Nguồn lực khan hiếm, các doanh nghiệp không thể sản xuất tất cả các loại hàng hoá, dịch vụ mà cần
có sự lựa chọn quyết định sản xuất hàng hoá gì với số lượng bao nhiêu, chất lượng ra sao?. Giá cả sẽ
là tín hiệu trực tiếp nhất giúp người sản xuất quyết định sản xuất cái gì
*Sản xuất như thế nào?
Khi đã lựa chọn được cần sản xuất cái gì, chính phủ và các doanh nghiệp phải xem xét và lựa chọn
việc sản xuất như thế nào để cạnh tranh thắng lợi trên thị trường và có lợi nhuận cao nhất. Từ mục
tiêu kiếm, lựa chọn các phương pháp sản xuất có hiệu quả nhất. *Sản xuất cho ai ?
Điều này có nghĩa là khi hàng hoá được tạo ra sẽ được phân phối như thế nào. Lựa chọn phương
pháp phân phối các sản phẩm hàng hoá, dịch vụ được sản xuất tới tay người tiêu dùng như thế nào.
VD: Không thể phân phối những chiếc máy may quần áo cho người làm bánh.
Ai sẽ nhận sản phẩm và dịch vụ? Thu nhập chính là nguồn tạo ra khả năng mua sắm của người tiêu dùng. 2
Ai có nguồn tài nguyên, lao động, vốn và kỹ năng quản lý cao hơn sẽ nhận thu nhập cao hơn Không
thể phân phối những chiếc máy may quần áo cho người làm bánh. *HỆ THỐNG KINH TẾ
- Các nền kinh tế luôn đối diện với 3 vấn đề cơ bản như chúng ta đã phân tích ở trên. Nhưng việc giải
quyết đó phải không phải giống nhau. Với mỗi hệ thống kinh tế sẽ có cách thức giải quyết khác nhau,
tuỳ thuộc vào sự san thiệp của chính phủ vào nền kinh tế mà hình thành nên 3 nền kinh tế cơ bản là :
Nền kinh tế chỉ huy, nền kinh tế thị trường tự do, mô hình kinh tế hỗn hợp.
*Nền kinh tế chỉ huy (nền kinh tế kế hoạch hoá tập trung) : là nền kinh tế mà chính phủ sẽ giải quyết
cả 3 vấn đề kinh tế Sản xuất cái gì ( chính phủ lựa chọn), sản xuất như thế nào(chính phủ phân bố
nguồn lực), sản xuất cho ai ( chính phủ them gia điều hành việc phân phối sản phẩm mà doanh nghiệp sản xuất ra)
VD: Mô hình trước đây của Liên Xô cũ mà Việt Nam thực hiện theo +Ưu điểm:
• Quản lý được tập trung thống nhất và giải quyết được những nhu cầu công cộng của xã hội
• Giải quyết được những vấn đề xã hội và an ninh
• Hạn chế được sự phân hoá giàu nghèo và bất công trong xã hội
• Tập trung đươc nguồn lực để giải quyết được những cân đối lớn của nền kinh tế quốc dân +Hạn chế:
• Mọi quyết định đều do nhà nước quyết định, các doanh nghiệp không được quyền chủ động trong
việc sản xuất kinh doanh của mình.
• Tập trung quan liêu, bao cấp không thúc đẩy và kích thích sản xuất phát triển.
• Phân phối bình quân không xuất phát từ nhu cầu thị trường, mang tính chủ quan, điều này sẽ dẫn tới
những mất cân đối cục bộ và sự phân phối trở nên không hiệu quả.
• Bộ máy nặng nề, cồng kềnh, quan liêu, kém hiệu lực
• Phân phối và sử dụng nguồn lực kém hiệu quả, các doanh nghiệp thường chờ đợi, ỷ lại thiếu năng động sáng tạo.
• Sự can thiệp của nhà nước vào những hoạt động cụ thể của doanh nghiệp
*Nền kinh tế thị trường tự do:
Để giải quyết 3 vấn đề cơ bản, nền kinh tế thị trường phải thông qua hoạt động của quan hệ cung cầu
trên thị trường, quan hệ cạnh tranh, giá cả thị trường. +Ưu điểm:
Các chủ thể trong nền kinh tế trở nên năng động hơn
Người tiêu dùng cũng trở nên năng động hơn, hài hoà giữu việc theo đuổi các lợi ích và thu
nhập(ngân ách) để có thể tối đa hoá lợi ích của mình +Hạn chế:
• Do tính cạnh tranh, vì động cơ lợi nhuận là mục tiêu tối đa và duy nhất, nên dễ nảy sinh tình trạng ô
nhiễm, phân hoá giàu nghèo, bất công xã hội
• Mức chênh lệch giàu nghèo có thể gây ra, dẫn đến những mâu thuẫn xã hội, nhiều nhu cầu công
cộng rất cần cho xã hội và con người
• Những yêu cầu về an ninh, QP và XH không được giải quyết thoả đáng. 3
*Mô hình kinh tế hỗn hợp:
• Nền kinh tế hỗn hợp đòi hỏi trước hết phải phát triển theo cơ chế thị trường(bàn tay vô hình), có
nghĩa là cần phát triển các quan hệ cung cầu, cạnh tranh, tôn trọng vai trò của giá cả thị trường, lấy
lợi nhuận làm mục tiêu và động cơ phấn đấu. Tuy nhiên bàn tay hữu hình cũng rất cần thiết đó là
sự can thiệp của Nhà nước.
• Nếu để nền kinh tế phát triển theo cơ chế thị trường sẽ có rất nhiều khuyết tật, và những khuyết tật
này sẽ được khắc phục thông qua sự điều tiết vĩ mô của Nhà nước.
Hiện nay, Việt Nam đang theo đuổi hệ thống kinh tế hỗn hợp( từ cuộc cải cách nền kinh tế năm
1986) . Nhờ sự cải cách này mà nền kinh tế của nước ta đã phát huy vai trò tích cực của các tác nhân
trong nền kinh tế và đã giúp cho nền kinh tế của nước ta có sự phát triển vượt bậc với những thành
tựu tích cực của nền kinh tế nước nhà như thu nhập của người dân tăng , sự phát triển nhanh và năng
động của thành phần kinh tế tư nhân và đặc biệt là sự tham gia vào những sân chơi quốc tế , đặc biệt
là tổ chức thương mại thế giới WTO
Câu 4: Phân tích các yếu tố tác động đến cung cầu và giá cả thị trường sản phẩm XYZ( VD :
rau sạch, ô tô, gạo, TV, điện thoại, quần áo…) ở Việt Nam, trong một khoảng thời gian nhất định Thị trường ô tô: CẦU
Khái niệm- Cầu (D) là số lượng hàng hoá hoặc dịch vụ mà người mua muốn mua và sẵn sàng mua
tại các mức giá khác nhau trong một thời gian nhất định và các yếu tố khác không đổi.
Các yếu tố tác động đến cầu: yếu tố nội sinh và yếu tố ngoại sinh
*yếu tố nội sinh: giá cả của ôtô *yếu tố ngoại sinh:
-giá của hàng hoá liên quan:
+ giá hàng hoá thay thế A tăng/giảm thì cầu về hàng hoá được thay thế B tăng /giảm
VD: giá của oto xăng tăng thì cầu về oto điện tăng
+ giá hàng hoá bổ sung A tăng thì cầu về hàng hoá B giảm và ngược lại
VD: giá xăng tăng mạnh trong thời gian lâu dài thì cầu về oto xăng giảm
• Kỳ vọng về thu nhập trong tương lai tăng/giảm thì cầu về oto hiện tại tăng/giảm
• Số lượng người mua oto tăng/ giảm thì cầu về oto tăng/giảm ( do cầu thị trường là tổng cầu của các cá nhân)
• Thu nhập của người mua tăng thì cầu về oto tăng lên
• Các chính sách của Chính phủ
(VD: Khi Chính phủ tăng phí trước bạ với xe nhập khẩu, người mua có xu hướng chuyển sang xe lắp
ráp trong nước như Toyota, Hyundai, Kia.Cầu về các hãng xe này tăng lên)
• Thị hiếu, sở thích, phong tục, tập quán
VD: người miền Bắc chuộng hãng xe Toyota, Mazda CX-5 nên cầu về các hãng xe này ở miền Bắc cao so với miền Nam
• Kỳ vọng về giá cả
-kỳ vọng về giá tăng=> cầu hiện tại tăng 4
-kỳ vọng về giá giảm => cầu hiện tại giảm
( VD: Khi có tin VinFast sắp tung ưu đãi lớn cho ô tô điện, nhiều người hoãn mua xe để chờ giá tốt hơn.)
• Các yếu tố khác: truyền thông, quảng cáo,…
Các hãng như Mercedes, BMW sử dụng KOLs, người nổi tiếng để nâng tầm thương hiệu, nhắm đến
khách hàng cao cấp. Việc chú trọng đầu tư truyền thông tăng mạnh thì cầu về hãng xe đó sẽ tăng. CUNG
Khái niệm: Cung là lượng hàng hoá hay dịch vụ mà người bán muốn bán và sẵn sàng bán tại các
mức giá khác nhau trong một thời gian nhất định và các yếu tố khác không đổi
Các yếu tố tác động đến cung về oto:
-Yếu tố nội sinh: giá cả của oto -Yếu tố ngoại sinh: • Số người bán
Số lượng người bán ( sản xuất ) ô tô tăng/giảm thì cung về ô tô tăng/giảm
• Tiến bộ về công nghệ
Tiến bộ về CN có vai trò rất quan trọng đối với cung. Khi có cải tiến công nghệ, cung tăng lên.
Ngày nay với sự phát triển của KHCN, nhất là cuộc cách mạng CN 4.0 đã làm cho cung nhiều
sản phẩm tăng lên trong đó có ô tô
• Giá cả các yếu tố đầu vào
Khi giá các yếu tố đầu vào tăng lên làm cho chi phí sản xuất tăng lên, cung giảm, đường cung
dịch chuyển sang trái. Khi giá đầu vào sản xuất oto tăng lên sẽ làm cho lợi nhuận của các nhà sản
xuất bị giảm xuống và họ sẽ giảm lượng cung ứng sản phẩm ra thị trường.
• Chính sách của chính phủ
Khi chính phủ đánh thuế, cung giảm. Chính phủ đánh thuế vào kinh doanh oto, nhập khẩu cao, sẽ
làm cho cung về oto nhập khẩu giảm
• Giá của hàng hoá liên quan trong sản xuất:
+Giá hàng hoá có thể thay thế oto trong sản xuất tăng lên sẽ làm cho cung về hàng hoá đó tăng lên và cung về oto giảm
+Hàng hoá bổ sung: khi giá của hàng hoá bổ sung cho oto ( xăng, điện…) tăng mạnh trong thời
gian dài thì làm cho cung về oto cũng tăng lên
• Kỳ vọng về giá cả
+ Nếu doanh nghiệp kỳ vọng giá ô tô tăng hoặc giảm, họ sẽ điều chỉnh sản lượng, nhập khẩu và
chiến lược kinh doanh phù hợp.
+ kỳ vọng giá tăng => doang nghiệp tăng cung trước khi giá tăng
VD: Khi có tin tức thuế tiêu thụ đặc biệt với ô tô xăng có thể tăng, các hãng sẽ nhập nhiều xe hơn
để dự trữ hàng và bán trước khi giá bị đội lên.
Hoặc Nếu các hãng kỳ vọng giá linh kiện, chip giảm trong tương lai, họ có thể hoãn kế hoạch sản
xuất ngắn hạn để nhập linh kiện giá rẻ hơn, từ đó giảm giá thành sản xuất xe.
• Yếu tố khác : thiên tai, dịch bệnh, chính trị 5
VD: 2020-2022, dịch COVID-19 ảnh hưởng rất mạnh đến nền kinh tế, trong đó cũng làm gián
đoạn cung ứng chip bán dẫn, khiến các hãng xe như Toyota, Ford, Tesla thiếu linh kiện=> giảm sản lượng.
Câu 5: Phân tích cơ chế hoạt động của thị trường khi thị trường ở trạng thái dư thừa và thiếu
hụt trên thị trường? Lấy vì dụ minh họa.
1. Trạng thái dư thừa
- KN: Trạng thái dư thừa của thị trường là trạng thái mà tại đó lượng cung lớn hơn lượng cầu
- Phân tích cơ chế hoạt động:
Giả sử mức giá trên thị trường là P1 > P0
Xét tại mức giá P1 ta có:
Người mua tiêu dùng tại A trên đường cầu D tương ứng với lượng cầu QD = Q1 < Q0
Người bán cung ứng tại B trên đường cung S tương ứng với lượng cung QS= Q2 > Q0
=> QS > QD hay lượng cung lớn hơn lượng cầu.
- Thị trường xảy ra hiện tượng dư thừa:
Khoảng chênh lệch của lượng cung và lượng cầu bằng độ dài đoạn thẳng AB
| QS – QD | = AB → AB là lượng dư thừa của thị trường.
=> Lượng dư thừa: ∆Q = QS – QD
Khoảng cách chênh lệch này gọi là dư thừa thị trường hay gọi là dư cung.
Khi có hiện tượng dư thừa xảy ra, nhà sản xuất sẽ bị dư thừa hàng hóa, không bán hết hàng. Các nhà
sản xuất đã bị áp lực là phải giảm giá để có thể bán hết hàng. Khi họ giảm giá, lượng cung sẽ giảm
dần và lượng cầu sẽ tăng lên theo luật cung và luật cầu. Quá trình giảm giá sẽ diễn ra liên tục, nếu
như không có sự can thiệp nào của nhà nước đến khi lượng cung và lượng cầu bằng nhau. Tức là
trạng thái cân bằng được thiết lập lại.
=> Chính sách: giảm giá, chuyển từ nơi dư thừa đến nơi thiếu hụt
- Ví dụ minh họa: Năm 2024 lượng cung căn hộ cao cấp lớn hơn lượng cầu 6
Năm 2024, thị trường bất động sản Việt Nam chứng kiến sự gia tăng mạnh mẽ về nguồn cung căn hộ
cao cấp. Tuy nhiên sự tăng trưởng này không đi đôi với nhu cầu thực tế dẫn đến dư thừa lượng căn hộ cao cấp
Cơ chế hoạt động của thị trường:
+ Giảm giá căn hộ cao cấp: giá bán có xu hướng giảm để thu hút khách hàng
+ Dịch chuyển sang phân khúc căn hộ vừa túi tiền
• Nguyên nhân do sự tập trung quá mức vào phân khúc cao cấp trong khi thị trường thiếu hụt nhà ở xã hội • Hệ quả:
+ Nhiều dự án gặp khó khăn trong việc bán
+ Gây ra sự mất cân bằng và ảnh hưởng đến sự phát triển bền vững của thị trường
• Giải pháp đề xuất: Nhà nước cần có chính sách khuyến khích phát triển nhà ở xã hội, kiểm soát chặt
chẽ việc cấp phép các dự án căn hộ cao cấp
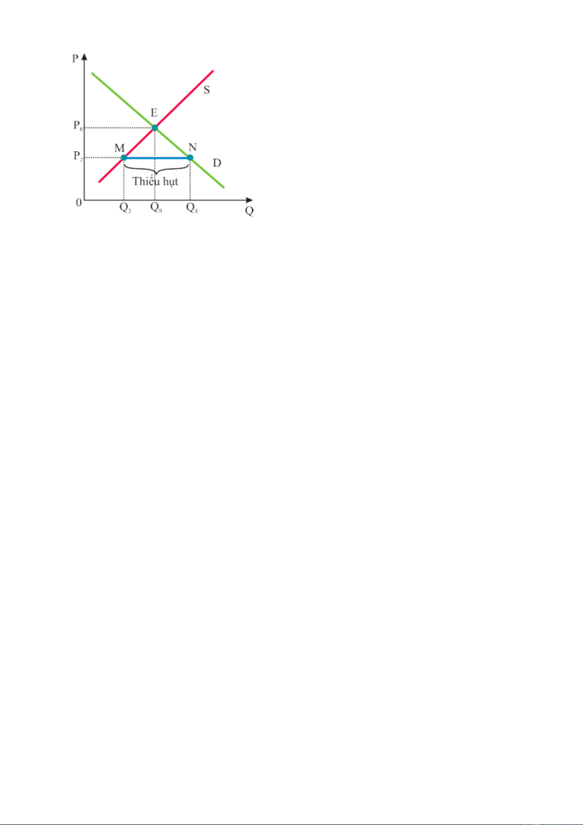
2. Trạng thái thiếu hụt
- KN: Trạng thái thiếu hụt của thị trường là trạng thái mà tại đó lượng cầu vượt quá lượng cung.
- Phân tích cơ chế hoạt động:
Giả sử mức giá trên thị trường là P2 < P0
Xét tại mức giá P2 ta có:
Người mua tiêu dùng tại N trên đường cầu D tương ứng với lượng cầu QD = Q4 > Q0
Người bán cung ứng tại M trên đường cung S tương ứng với lượng cung QS= Q3 < Q0
=> QD > QS hay lượng cầu lớn hơn lượng cung.
- Thị trường xảy ra hiện tượng thiếu hụt: 7
Khoảng chênh lệch của lượng cung và lượng cầu bằng độ dài đoạn thẳng MN:
|QD-QS| = MN → MN là lượng thiếu hụt của thị trường.
=> Lượng thiếu hụt: ∆Q= QD – QS
Khoảng cách chênh lệch này gọi là thiếu hụt thị trường hay gọi là dư cầu.
Trong trạng thái thiếu hụt, hàng hóa khan hiếm, người mua có áp lực tăng giá. Họ phản ứng với việc
tăng giá của người bán bằng cách giảm lượng cầu của mình (theo luật cầu). Lúc này, khoảng cách
giữa lượng cung và lượng cầu có xu hướng giảm xuống. Giá tiếp tục tăng cho đến khi lượng cung
và lượng cầu bằng nhau, mức giá đạt tại giá cân bằng.
=> Giải pháp đề xuất: Khuyến khích đầu tư vào sản xuất, chính phủ trợ cấp hoặc giảm thuế cho nhà
sản xuất, cung cấp các khoản vay ưu đãi để doanh nghiệp có thể mở rộng sản xuất, ...
- Ví dụ minh họa: Tình trạng thiếu hụt nhà ở xã hội năm 2025
Giả sử trong năm 2025, lượng cầu về nhà ở xã hội ở Hà Nội tăng mạnh lớn hơn lượng cung gây ra
hiện tượng thiếu hụt nhà ở xã hội.
• Cơ chế hoạt động của thị trường khi thiếu hụt nhà ở xã hội:
+ Tăng giá nhà ở xã hội: Sự thiếu hụt này sẽ dẫn đến việc tăng giá thuê hoặc giá bán các căn hộ nhà ở xã hội
+ Chuyển hướng cầu sang các sản phẩm thay thế: Khi không thể tiếp cận nhà ở xã hội, người dân sẽ
tìm kiếm các giải pháp thay thế như nhà ở tư nhân giá rẻ hoặc các mô hình cho thuê nhà ở.
• Chính sách giải quyết tình trạng thiếu hụt nhà ở xã hội
+ Tăng cường đầu tư vào nhà ở xã hội:
Chính phủ có thể đưa ra các chính sách như hỗ trợ tài chính, giảm thuế cho các doanh nghiệp và tổ
chức phát triển dự án nhà ở xã hội. Cung cấp vốn vay với lãi suất ưu đãi cho các nhà đầu tư và các
đối tượng xây dựng nhà ở cho công nhân, người thu nhập thấp.
+ Giảm bớt thủ tục hành chính:
Cải cách các quy định pháp lý, đơn giản hóa thủ tục cấp phép và cấp đất cho các dự án nhà ở xã hội,
giúp tăng tốc độ thực hiện các dự án. 8
+ Chính sách tài chính hỗ trợ người dân:
Chính phủ có thể cung cấp trợ cấp thuê nhà cho người dân có thu nhập thấp hoặc cho vay ưu đãi đối
với đối tượng đủ điều kiện mua nhà ở xã hội, giúp giảm bớt gánh nặng tài chính đối với họ.
Câu 6: Lấy ví dụ và phân tích tác động của giá trần (hoặc giá sàn) đối với một mặt hàng cụ
thể trong một khoảng thời gian nhất định:
- Giá trần: Là mức giá cao nhất đối với một mặt hàng nào đó do chính phủ ấn định.
Tác dụng của giá trần là nhằm bảo vệ lợi ích của người tiêu dùng. Các doanh nghiệp sản xuất không
được đặt giá cao hơn mức giá trần. Mức giá này được áp dụng cho những hàng hóa-dịch vụ thiết
yếu có ảnh hưởng trực tiếp tới đời sống của người dân như: xăng dầu, giá thuê nhà cho người nghèo hoặc sinh viên.
+) Giá trần thấp hơn giá cân bằng:
Vì vậy chính phủ nên thực hiện thêm chế độ khẩu phần hay tem phiếu. Ngoài ra, chính phủ cũng
phải cần kiểm soát chặt chẽ thị trường, nếu không có sự kiểm soát chặt chẽ thì thiệt hại đối với xã
hội sẽ càng nhiều khi thị trường chợ đen có cơ hội hình thành và phát triển.
- Ví dụ: Quy định của Bộ Y tế về giá xét nghiệm COVID-19 năm 2021 nhằm ngăn chặn tình
trạng thu phí quá cao.
+Test nhanh kháng nguyên: tối đa 109.000 đồng/lần
+Xét nghiệm RT-PCR: tối đa 518.400 đồng/lần
→ Tác động: Việc này giúp kiểm soát giá, đảm bảo người dân có thể tiếp cận xét nghiệm trong bối cảnh dịch bệnh.
- Đồ thị giá trần:
- Giá sàn: Là mức giá thấp nhất của một mặt hàng hay dịch vụ nào đó do chính phủ quy định. Tác
dụng của giá sàn là nhằm bảo vệ lợi ích cho nhà sản xuất.
+) Giá sàn cao hơn giá cân bằng:
Gây ra hiện tượng dư thừa trên thị trường. Việc chính phủ kiểm soát giá cả sẽ đem lại một số kết
quả trong những trường hợp nhất định. Nếu chính phủ áp dụng mức giá này một cách trên diện rộng
cho tất cả các ngành thì sẽ làm mất đi tính khách quan của cơ chế thị trường và gây ra rào cản, trì trệ lớn cho nền kinh tế. 9
- Ví dụ: Vào năm 2009, Chính phủ Việt Nam đã đặt giá sàn cho sản phẩm mía đường loại 10/1
là 700.000 đồng/tấn. → Tác động:
+ Việc này giúp nông dân không bị thiệt hại giá khi thu hoạch, đảm bảo thu nhập ổn định,
+Tạo động lực để nông dân gia tăng sản xuất, đảm bảo nguồn cungc ho ngành chế biến đường.
+ Giữ ổn định sản lượng, tránh tình trạng nông dân không muốn sản xuất khi giá thấp.
+ Đòi hỏi Chính phủ cân nhắc chi phí liên quan đến thu mua và tích trữ khi giá thị trường thấp.
- Đồ thị giá sàn:
Câu 7: Lấy ví dụ thực tiễn và phân tích trường hợp “Thuế đánh vào nhà sản xuất trên mỗi đơn
vị sản phẩm bán ra”.
- Thuế đánh vào nhà sản xuất trên mỗi đơn vị sản phẩm là loại thuế mà chính phủ áp dụng lên mỗi
đơn vị sản phẩm mà nhà sản xuất bán ra.
- Gánh nặng thuế là mức độ ảnh hưởng của thuế lên người mua và người bán, phụ thuộc vào độ co giãn của cung và cầu.
- Giá cân bằng là mức giá mà lượng cung bằng lượng cầu trên thị trường.
- Trong trường hợp “Thuế đánh vào nhà sản xuất trên mỗi đơn vị sản phẩm bán ra” là t/ đơn vị sản
phẩm thì cung sẽ giảm, giá cân bằng sẽ tăng và lượng cân bằng trên thị trường giảm. +Phân tích:
• Trước khi có thuế: Giá cân bằng ban đầu là Po, lượng cân bằng là Qo 10
• Khi chính phủ áp thuế t trên mỗi đơn vị sản phẩm, đường cung dịch chuyển sang trái làm giá
bán tăng lên P1 và lượng hàng giảm xuống Q1
• Người tiêu dùng phải trải giá cao hơn P1, còn nhà sản xuất nhận giá thấp hơn P2=P1-t
• Người mua chịu gánh nặng thuế t/sp là P1-P0
Tổng số tiền mà người mua chịu là: (P1-P0).Q1
-Người bán chịu gánh nặng thuế t/sp là P0-P2
Tổng số tiền mà người bán phải chịu là: (P0-P2).Q1
-Thuế giúp chính phủ thu ngân sách: Tổng thuế thu được là t.Q1
Ví dụ: Thị trường hàng hóa thuốc lá có hàm cầu và hàm cung được xác định như sau: QD=50−5P;
Qs=10+5P. Giả sử chính phủ đánh thuế 2 nghìn VNĐ vào nhà sản xuất trên mỗi bao thuốc lá bán ra.
Phân tích tác động:
1. Trước khi đánh thuế:
Thị trường cân bằng khi: QD=QS 50-5P=10+5P P0=4 (nghìn VNĐ)
Thay P0=4 Q0=50−5×4=30 (nghìn bao)
Giá và sản lượng cân bằng trước khi đánh thuế:
P0= 4 (nghìn VNĐ), Q0 = 30 (nghìn bao)
2. Sau khi đánh thuế
Chính phủ đánh thuế 2.000 VNĐ/bao vào người sản xuất.
Người sản xuất phải trả thuế nên họ chỉ nhận được P0−2 thay vì P0
Hàm cung mới: QS=10+5(P-2)
Thị trường cân bằng mới: 50-5P=10+5(P-2)
P=5 (nghìn VNĐ), Q=25 (nghìn bao) Sau thuế:
Giá người tiêu dùng phải trả: 5 (nghìn VNĐ)
Giá người bán nhận được: 5 - 2 = 3 (nghìn VNĐ)
Sản lượng sau thuế: 25 (nghìn bao)
3. Phân bổ gánh nặng thuế
- Người tiêu dùng trước đây trả 4 nghìn VNĐ, giờ phải trả 5 nghìn VNĐ → họ chịu 1.000VNĐ/bao.
- Người sx trước đây nhận 4 nghìn VNĐ, giờ chỉ nhận 3 nghìn VNĐ → họ chịu 1.000 VNĐ/bao. Tóm lại:
- Người tiêu dùng chịu: 1.000VNĐ/bao
- Người sản xuất chịu: 1.000VNĐ/bao Tổng thuế thu được: 11
Σ𝐓𝐡𝐮ế = 2.25 = 50 (nghìn VNĐ)
Tác động kinh tế:
• Người tiêu dùng: Giá tăng, tiêu dùng giảm, chi tiêu tăng.
• Nhà sản xuất: Lợi nhuận giảm do giá bán thực nhận giảm.
• Chính phủ: Tăng thu ngân sách, nhưng có thể phải đối mặt với thị trường buôn lậu thuốc lá.
• Xã hội: Giảm tiêu thụ thuốc lá, bảo vệ sức khỏe công cộng, nhưng có thể phát sinh buôn lậu hoặc hàng giả.
Câu 8: Vẽ đồ thị và phân tích mối quan hệ giữa các loại chi phí bình quân trong ngắn hạn của một danh nghiệp.
- Các loại chi phí bình quân trong ngắn hạn: chi phí cố định bình quân ( AFC), chi phí biến đổi bình
quân ( AVC), tổng chi phí bình quân ( ATC).
- Chi phí cố định bình quân ( AFC) là mức chi phí cố định tính bình quân cho một đơn vị sản phẩm.
Công thức: AFC=𝑇𝐹𝐶. 𝑄
- Chi phí biến đổi bình quân ( AVC) là mức chi phí biến đổi tính bình quân cho một đơn vị sản
phẩm. Công thức: AVC=𝑇𝑉𝐶. 𝑄
- Tổng chi phí bình quân ( ATC) là mức chi phí tính bình quân cho một đơn vị sản phẩm. Công thức:
ATC= 𝑇𝐶 𝑇𝐹𝐶+𝑇𝑉𝐶 𝑇𝐹𝐶 𝑇𝑉𝐶 = = + = AFC+AVC 𝑄 𝑄 𝑄 𝑄 - Vẽ đồ thị:
- Phân tích mối quan hệ giữ các loại chi phí bình quân trong ngắn hạn của một danh nghiệp:
-Ví dụ : Công ti cổ phần sữa Việt Nam Vinamilk sản xuất sữa tươi đóng hộp, có tống chi phí cố định
TFC =10 tỷ VNĐ/tháng ,tổng chi phí biến đổi TVC =8 tỷ VNĐ/tháng và sản lượng Q=1 triệu hộp sữa.
Ta tính được các chi phí bình quân ngắn hạn như sau:
+ Chi phí cố định bình quân ( AFC ): gồm chí phí khấu hao máy móc, nhà xưởng,...
AFC = 𝑇𝐹𝐶 =10000đ/hộp 𝑄
+ Chi phí biến đổi bình quân ( AVC ): gồm chi phí nguyên liệu, nhân công trực tiếp..... AVC= 𝑇𝑉𝐶 𝑄 = 8000đ/hộp. 12
=> Tổng chi phí bình quân ( ATC ): ở mức sản lượng ban đầu ta có
ATC=AFC+AVC= 10000+8000=18000VNĐ/hộp.
- Giả sử : sản lượng tăng lên 2 triệu hộp thì AFC giảm xuống còn 5000đ/hộp (do TFC không đổi)
=>ATC giảm => doanh nghiệp tiết kiệm chi phí trên mỗi sản phẩm
- Khi mở rộng sản xuất, Vinamilk có thể nhập nguyên liệu với giá rẻ hơn theo quy mô lớn => AVC
giảm. Tuy nhiên, nếu mở rộng quá mức, chi phí vận hành có thể tăng => AVC tăng theo => ATC cũng tăng.
- Ý nghĩa : +) AFC giảm khi sản lượng tăng vì TFC không đổi.
+) AVC thường giảm lúc đầu (do sản xuất hiệu quả), sau tăng (do chi phí thêm nhiều hơn)
+) ATC giảm khi AFC và AVC giảm, nhưng sẽ tăng khi AVC tăng nhanh hơn mức giảm của AFC.
=> Mối quan hệ AFC, AVC, ATC giúp doanh nghiệp tối ưu hóa sản lượng và chi phí.
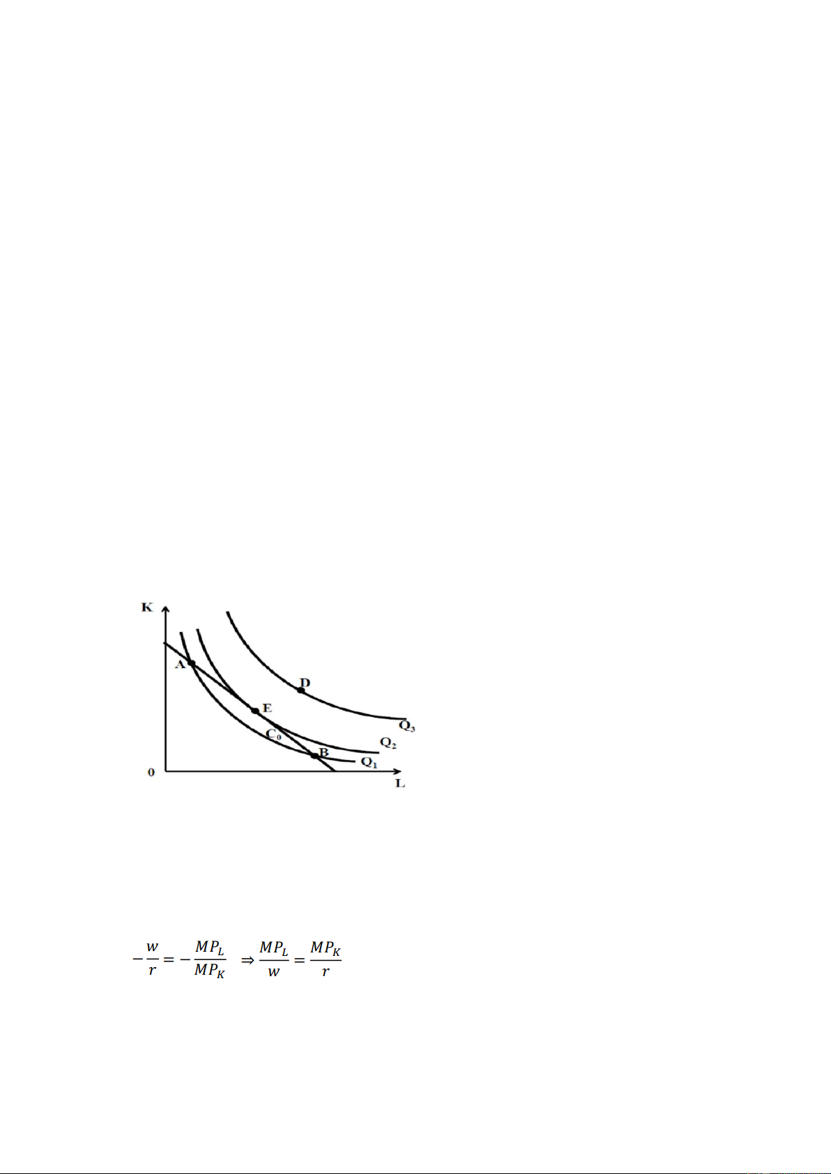
Câu 9: Phân tích điểm lựa chọn đầu vào tối ưu để tối đa hóa sản lượng với một mức chi phí
nhất định của một doanh nghiệp. Giải
− Nguyên tắc để tối đa hóa sản lượng:
+ Tập hợp đầu vào phải nằm trên đường đồng phí Co.
+ Tập hợp đó nằm trên đường đồng lượng xa gốc tọa độ nhất có thể. − Đồ thị:
Lựa chọn đầu vào tối ưu để tối đa hóa sản lượng
+ Điểm tiêu dùng tối ưu để tối đa hóa sản lượng là điểm mà tại đó đường đồng phí tiếp xúc
với đường đồng lượng (Là điểm E trên hình).
+ Tại E, độ dốc của hai đường bằng nhau.
+ Độ dốc đường đồng phí = Độ dốc đường đồng lượng.
− Điều kiện cần và đủ 13
-Ví dụ 1 bài toán cụ thể:
Một công ty X sản xuất bánh ngọt có tổng chi phí 1000 USD để thuê lao động và mua máy móc.
Doanh nghiệp muốn tối đa hoá số lượng bánh có thể sản xuất.
Giả sử : r = 10 USD/1 đơn vị vốn
w = 5 USD/1 đơn vị lao động 𝑄𝑜 = 0.5𝐾𝐿
𝑀𝑃𝐿 = (𝑄𝐿)′ = 0.5𝐿
𝑀𝑃𝐾 = (𝑄𝐾)′ = 0.5𝐾
Điều kiện cần và đủ để tối đa hoá sản lượng với một chi phí nhất định là: 𝑤𝐿 + 𝑟𝐾 = 1000 5𝐿 + 10𝐾 = 1000 5𝐿 + 10𝐾 = 1000 { 𝑀𝑃𝐿 𝑀𝑃 = 𝐾 { 0.5𝐿 0.5𝐾 { = 0.1𝐿 = 0.05𝐾 𝑤 𝑟 5 10 5𝐿 + 10𝐾 = 1000 𝐾 = 80 { { 𝐿 = 0.5𝐾 𝐿 = 40
Như vậy, công ty X có thể sản xuất sản lượng tối đa với mức chi phí 1000 USD là: 𝑄 = 0.5 × 80 × 40 = 16000
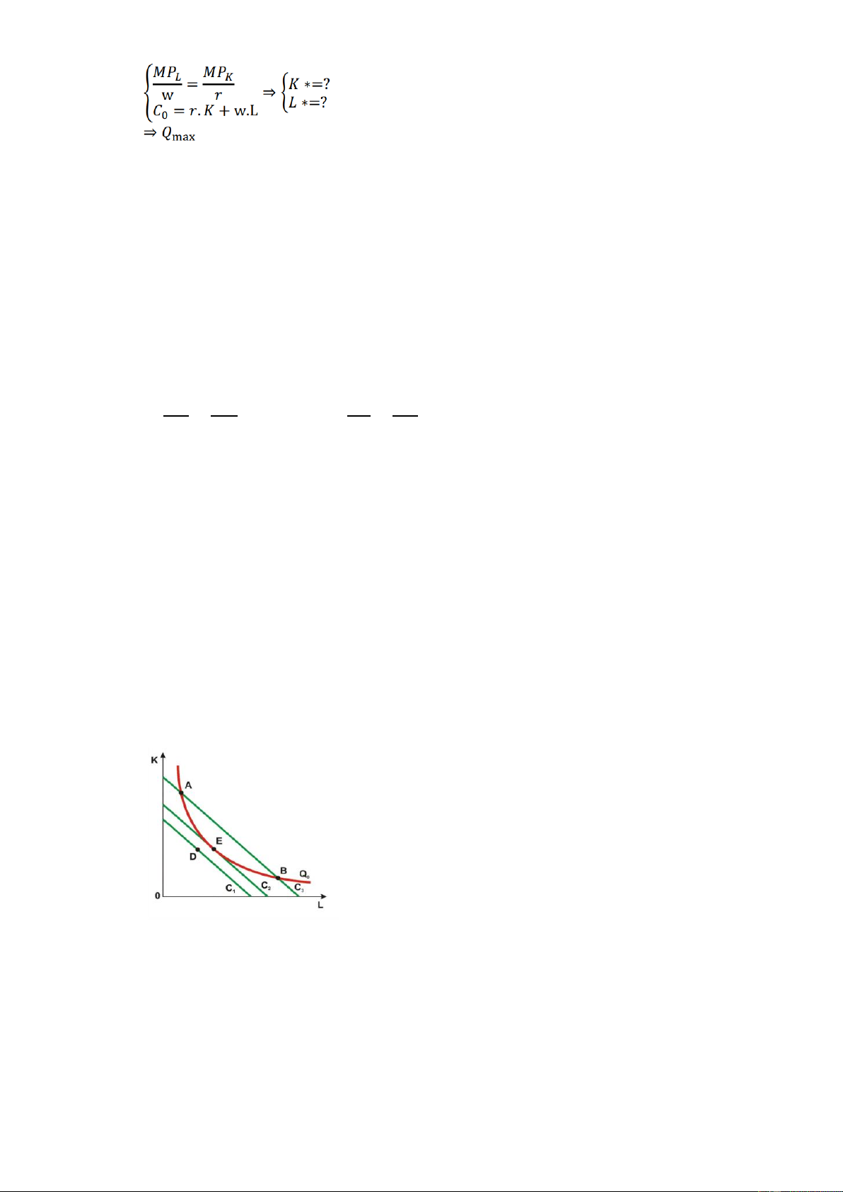
Câu 10 : .Phân tích điểm lựa chọn đầu vào tối ưu để tối thiểu hóa chi phí với một mức sản
lượng nhất định của một doanh nghiệp. Giải:
- Nguyên tắc để tối thiểu hóa chi phí sản xuất:
+ Tập hợp dầu vào đó phải nằm trên đường đồng lượng Q0
+ Tập hợp đó nằm trên đường đồng phí gần gốc tọa độ nhất có thể - Đồ thị:
- Điểm lựa chọn đầu vào tối ưu để tối thiểu hóa chi phí khi sản xuất ở một mức sản lượng nhất định
là điểm mà tại đó đường đồng phí tiếp xúc với đường đồng lượng (điểm E trong đồ thị).
- Tại E, độ dốc của hai đường bằng nhau
Độ dốc đường đồng phí = Độ dốc đường đồng lượng 14 𝑤 𝑀𝑃 𝑀𝑃 𝑀𝑃 − = − 𝐿 ⟹ 𝐿 = 𝐾 𝑟 𝑀𝑃𝐾 𝑤 𝑟
- Điều kiện cần và đủ để tối thiểu hóa chi phí :
- Ví dụ 1 bài toán cụ thể:
Một công ty X sản xuất quần áo có tổng chi phí 5000 USD để thuê lao động và mua máy móc.
Doanh nghiệp muốn tối thiểu hoá chi phí số lượng quần áo có thể sản xuất.
Giả sử : r = 8 USD/1 đơn vị vốn
w = 2 USD/1 đơn vị lao động
và hàm sản xuất là: Q=0,5K.L
𝑀𝑃𝐿 = (𝑄𝐿)′ = 0,5𝐾
𝑀𝑃𝐾 = (𝑄𝐾)′ = 0,5𝐿
Điều kiện cần và đủ để tối thiểu hóa chi phí là: 𝑀𝑃𝐿 𝑀𝑃 = 𝑘 0,5𝐾 0,5𝐿 = 𝐾 = 50 { 𝑤 𝑟 ⟹ { 2 8 ⟹ { 𝑄 𝐿 = 200 0 = 𝑓(𝐿, 𝐾) 5000 = 0,5𝐾𝐿 Chi phí tối thiểu:
TC = wL + rK = 2.200 + 8.50 = 800
Câu 11: Trình bày những nguyên nhân dẫn đến độc quyền .Phân tích cách lựa chọn sản lượng
tối ưu để tối đa hoá lợi nhuận của một hang độc quyền bán thuần tuý trong ngắn hạn.
Những nguyên nhân dẫn đến độc quyền:
-Do ngành sản xuất đó đạt được tính kinh tế theo quy mô.
Tính kinh tế theo quy mô xảy ra khi quá trình sản xuất có chi phí bình quân dài hạn LAC giảm dần
khi sản lượng gia tăng. Ở những ngành có tính kinh tế theo quy mô, do LAC giảm dần nên các
doanh nghiệp càng sản xuất nhiều thì chi phí sẽ càng thấp và sẽ có khả năng cạnh tranh hơn so với các doanh nghiệp khác.
- Do quy định về bằng phát minh, sáng chế
Theo quy định, ai có bằng phát minh, sáng chế thì mới được sản xuất và kinh doanh một loại mặt
hàng hay dịch vụ đó. Mục đích việc bảo hộ bằng phát minh, sáng chế là để khuyến khích mọi người
nghiên cứu, tìm tòi để tạo ra hàng hóa, dịch vụ mới. Tuy nhiên, chính điều này lại phát sinh vấn đề
độc quyền trong xã hội.
Ví dụ như, công ty Polaroid đã đăng ký phát minh cho máy ảnh chụp lấy hình lấy ngay (instant
camera). Khi công ty Kodak sản xuất máy ảnh loại này để cạnh tranh với Polaroid, Palaroid đã kiện
Kodak ra tòa vào năm 1985. Kết quả vụ kiện này là Kodak đã phải ngừng kinh doanh mặt hàng máy 15
ảnh chụp hình lấy ngay và phải nộp tiền bồi thường cho Polaroid. Như vậy, luật về bằng phát minh
đã đảm bảo vị thế độc quyền cho Polaroid.
- Do kiểm soát được các yếu tố đầu vào
Một lý do quan trọng để tạo sức mạnh thị trường cho doanh nghiệp là kiểm soát được nguồn nguyên
liệu thô. Tuy nhiên, nếu doanh nghiệp đó kiểm soát mọi nguồn cung đầu vào để sản xuất ra hàng
hóa và từ chối bán nó cho các doanh nghiệp khác thì sẽ không có doanh nghiệp nào có thể sản xuất
hàng hóa đó, từ đó dẫn đến độc quyền.
- Do các quy định của chính phủ
Vì một số lí do an ninh quốc gia nên một số mặt hàng sẽ do chỉ một doanh nghiệp được nhà nước chỉ định sản xuất.
Ví dụ: chính phủ kiểm soát các ngành như điện, nước, phát thanh, truyền hình,...Chỉ các doanh
nghiệp được cấp phép mới được phép hoạt động.
Lý do bởi các ngành này thường có tính kinh tế theo quy mô nên khi tổ chức các ngành này như một
doanh nghiệp độc quyền sẽ tạo ra chi phí thấp nhất cho người dân.
-Ngoài ra độc quyền có thể thiết lập bởi lý do chính trị và một số nguyên nhân khác như sự trung
thành của người dùng, hình thức trói buộc người tiêu dùng của doanh nghiệp,... 16
Câu 12: Phân tích cách lựa chọn sản lượng tối ưu để tối đa hóa lợi nhuận của một hãng cạnh
tranh hoàn hảo trong ngắn hạn.
* Khái quát về thị trường cạnh tranh hoàn hảo
Thị trường CTHH là thị trường trong đó có nhiều người mua và nhiều người bán, và không
người mua và người bán nào có thể ảnh hưởng đến giá thị trường. Các đặc trưng:
- Các hãng CTHH là những người chấp nhận giá.
- Các hãng CTHH sản xuất một loại hàng hóa đồng nhất hay tiêu chuẩn hóa hoàn hảo.
- Không có rào cản đối với những hãng gia nhập hoặc rút lui khỏi thị trường.
* Điều kiện tối đa hóa lợi nhuận
Lợi nhuận kinh tế được xác định là: π=TR−TC=P⋅Q−ATC.Q Trong đó: π: Lợi nhuận TR: Tổng doanh thu TC: Tổng chi phí Q: Sản lượng
Để tối đa hóa lợi nhuận, hãng cần sản xuất tại mức sản lượng mà doanh thu cận biên
(MR) bằng chi phí cận biên (MC): MR=MC
Trong thị trường CTHH: Vì hãng là người chấp nhận giá, nên đường cầu của hãng là đường
ngang tại mức giá thị trường P, hay: P=MR
Do đó, điều kiện tối đa hóa lợi nhuận trở thành: P=MC
· Phân tích lựa chọn sản lượng tối ưu:
P > MC tại mức Q hiện tại:
Hãng đang có thể tăng sản lượng để tăng lợi nhuận.
Vì thêm một đơn vị sản phẩm mang lại doanh thu nhiều hơn chi phí bỏ ra → nên sản xuất thêm.
P < MC tại mức Q hiện tại:
Hãng đang sản xuất quá nhiều → chi phí sản xuất thêm cao hơn doanh thu tạo ra.
Nên giảm sản lượng để tiết kiệm chi phí và tăng lợi nhuận. P = MC tại Q*:
Đây là mức slg tối ưu, vì mỗi đơn vị cuối cùng mang lại doanh thu đúng bằng chi phí bỏ ra.
Không nên tăng hoặc giảm sản lượng thêm nữa.
Điểm cắt giữa đg MC và MR = P là sản lượng tối ưu mà hãng nên sx để tối đa hóa lợi nhuận 17
Các trường hợp cụ thể:
- Khi P > ATCmin: hãng kinh doanh có lãi.
- Khi P = ATCmin: hãng hòa vốn, P hòa vốn = ATCmin = MC.
- Khi AVCmin < P0 < ATCmin: hãng bị thua lỗ nhưng nên tiếp tục sản xuất để đạt mức sản lượng Q*
để tối thiểu hóa lỗ, lỗ lúc này là một phần chi phí cố định.
- Khi P0 = AVCmin: hãng lỗ toàn bộ chi phí cố định nếu sản xuất tại mức sản lượng Q*.
- Khi P0 < AVCmin: Nếu tiếp tục sản xuất hãng lỗ toàn bộ chi phí cố định và một phần chi phí biến
đổi ⇒ Nên đóng cửa sản xuất.
Vậy, doanh nghiệp cạnh tranh hoàn hảo không sản xuất nếu giá thấp hơn chi phí biến đổi trung
bình tối thiểu ( P0 < AVCmin). Khi sản xuất, doanh nghiệp tối đa hóa lợi nhuận bằng việc lựa chọn
mức sản lượng ở đó giá bằng chi phí biên (P = MC).
Ví dụ minh họa: Hãng sữa tươi “MilkFresh” trong thị trường cạnh tranh hoàn hảo
Giả sử MilkFresh là một hãng nhỏ sản xuất sữa tươi và hoạt động trong một thị trường cạnh
tranh hoàn hảo, nơi giá thị trường sữa tươi cố định FC= 10.000 đồng/lít. Vì đây là thị trường
cạnh tranh hoàn hảo, hãng không có quyền định giá, mà chỉ có thể quyết định sản lượng sản xuất.
Bảng chi phí của MilkFresh Sản lượng( lít/ ngày) Chi phí cận biên( MC) 100 6.000 đồng 200 8.000 đồng 300 10.000 đồng 400 12.000 đồng
• Ở sản lượng 100 hoặc 200, vì MC < P, hãng nên tăng sản lượng để tối đa hóa lợi nhuận.
• Ở sản lượng 300, vì MC = P, đây là mức sản lượng tối ưu: mỗi đơn vị cuối cùng tạo ra doanh
thu bằng với chi phí sản xuất → lợi nhuận được tối đa hóa.
• Ở sản lượng 400, vì MC > P, hãng đang sản xuất quá nhiều → nên giảm sản lượng.
→ Vậy MilkFresh nên sản xuất 300 lít/ngày để đạt lợi nhuận tối đa trong ngắn hạn.
Không phải cứ P = MC là lợi nhuận tối đa. Hãng cần đảm bảo lợi nhuận tại điểm đó là cực đại,
tức là: MC phải đang tăng tại điểm cắt với MR
• Ngoài ra, hãng cần so sánh lợi nhuận thu được với lợi nhuận ở mức sản lượng 0 (có thể là lỗ hoặc không lỗ). 18
• Trường hợp đặc biệt trong ngắn hạn:
▪ Nếu P < AVC (chi phí biến đổi trung bình) tại mọi mức sản lượng → hãng nên ngừng sản xuất
tạm thời (đóng cửa trong ngắn hạn).
▪ Nếu P ≥ AVC, hãng vẫn nên tiếp tục sản xuất dù có thể bị lỗ (nhưng vẫn tốt hơn là đóng cửa vì
lỗ toàn bộ chi phí cố định).
Ví dụ minh họa: Hãng bánh mì “BreadCo” và quyết định sản xuất trong ngắn hạn
BreadCo là một hãng nhỏ sản xuất bánh mì, hoạt động trong thị trường cạnh tranh hoàn hảo.
Giá bán trên thị trường là 5.000 đồng/ổ bánh. BreadCo đang đối mặt với chi phí như sau:
-Chi phí cố định (FC): 500.000 đồng/ngày
-Chi phí biến đổi trung bình (AVC): Sản lượng( ổ/ ngày)
Chi phí thay đổi( đồng) 100 4.200 200 5.200 300 5.500
• Trường hợp 1: P < AVC tại mọi mức sản lượng
• Với giá thị trường 5.000 đồng, ta thấy:
• Tại 200 ổ, AVC = 5.200 > P
• Tại 300 ổ, AVC = 5.500 > P
→ Vì giá bán không đủ bù đắp chi phí biến đổi, hãng sẽ bị lỗ nhiều hơn nếu tiếp tục sản xuất.
→ Kết luận: BreadCo nên tạm thời đóng cửa để giảm thiểu lỗ ( chỉ chịu lỗ 1 lượng đúng bằng
chi phí cố định).
• Trường hợp 2: P ≥ AVC tại một số mức sản lượng
Giả sử giá thị trường tăng lên 5.200 đồng/ổ:
• Tại sản lượng 200 ổ, AVC = 5.200 = P
→ Hãng có thể vẫn bị lỗ, nhưng doanh thu đủ bù chi phí biến đổi, còn lỗ chỉ nằm ở chi phí cố định.
→ Kết luận: BreadCo nên tiếp tục sản xuất để giảm thiểu lỗ, thay vì ngừng hoạt động và lỗ
toàn bộ chi phí cố định 19
Câu 13: Phân tích cách lựa chọn sản lượng để tối đa hóa doanh thu của một hãng độc quyền
bán thuần túy trong ngắn hạn.
Trường hợp tổng quát, giả sử doanh nghiệp có hàm cầu tuyến tính là P = a - bQ, khi đó, tổng
doanh thu của doanh nghiệp sẽ là TR = P.Q = aQ - bQ2. Do vậy, doanh thu cận biên: MR = a - 2bQ.
Với công thức tổng quát này, ta có thể vẽ đồ thị về mối quan hệ giữa giá và doanh thu cận biên đối
với doanh nghiệp độc quyền như ở hình sau:
Đường doanh thu cận biên (MR) cắt trục tại điểm mà đường cầu cắt với trục tung và có độ dốc
gấp đôi so với độ dốc của đường cầu (độ dốc đường cầu là -b, độ dốc đường doanh thu cận biên là - 2b).
- Như chúng ta đã biết, đối với một đường cầu tuyến tính, độ co dãn của cầu theo giá thay đổi dọc
theo đường cầu. Cụ thể là, ở miền thượng của đường cầu (tính từ trung điểm H trở lên phía trên của
đường cầu) là miền cầu co dãn, ở miền hạ của đường cầu (tính từ H xuống dưới) là miền cầu kém co
dãn và ở đúng tại trung điểm H của đường cầu thì cầu co dãn đơn vị. Do đó kết hợp với đồ thị ta thấy
rằng, khi ở miền cầu co dãn thì doanh thu cận biên có giá trị dương, còn ở miền cầu kém co dãn,
doanh thu cận biên sẽ mang dấu âm, đường doanh thu cận biên đi xuống phía dưới của trục hoành. Ở
đúng trung điểm của đường cầu, doanh thu cận biên bằng 0.
-Mặt khác ta cũng có: Doanh thu tối đa, tức TRmax ⇔ TR’ = MR = 0.
Vậy, để doanh thu của hãng cạnh tranh hoàn hảo đạt tối đa thì doanh nghiệp phải sản xuất ở mức sản
lượng mà doanh thu cận biên bằng 0 hoặc độ co dãn của cầu theo giá bằng -1.
Câu 14: Trường hợp nào hãng cạnh tranh hoàn hảo trong ngắn hạn bị thua lỗ nhưng vẫn nên
tiếp tục sản xuất. Lấy ví dụ minh họa
- Khái niệm: Thị trường CTHH là thị trường trong đó có nhiều người mua và nhiều người bán, và
không người mua và người bán nào có thể ảnh hưởng đến giá thị trường.
- Điều kiện tối đa hóa lợi nhuận
+ Điều kiện chung cho tất cả các loại hình doanh nghiệp: MR = MC
+ Đối với hãng CTHH: đường cầu trùng với đường doanh thu cận biên => P = MR
+ Kết hợp 2 điều kiện trên, suy ra điều kiện để hãng CTHH tối đa hóa lợi nhuận là hãng lựa chọn
mức sản lượng mà tại đó: P = MC
- Lợi nhuận của hãng CTHH: π = TR – TC = P.Q – TC
- Tiêu chí hãng cạnh tranh hoàn hảo bị thua lỗ nhưng vẫn nên tiếp tục sản xuất là khi mức
giá thị trường P nằm trong khoảng chi phí biến đổi trung bình tối thiểu (AVCmin) và chi phí trung bình tối thiểu (ATCmin):
• Xét giá thị trường AVCmin < P0< ATC min 20