



















Preview text:
ALDEHYDE VÀ KETONE.
GVGD: ThS.Dương Thị Kim Yến. Mail: yendtk@pnt.edu.vn NỘI DUNG
1 CƠ CẤU VÀ DANH PHÁP 1 1 2 LÝ TÍNH 3 ĐIỀU CHẾ 34 4 PHẢN ỨNG 2
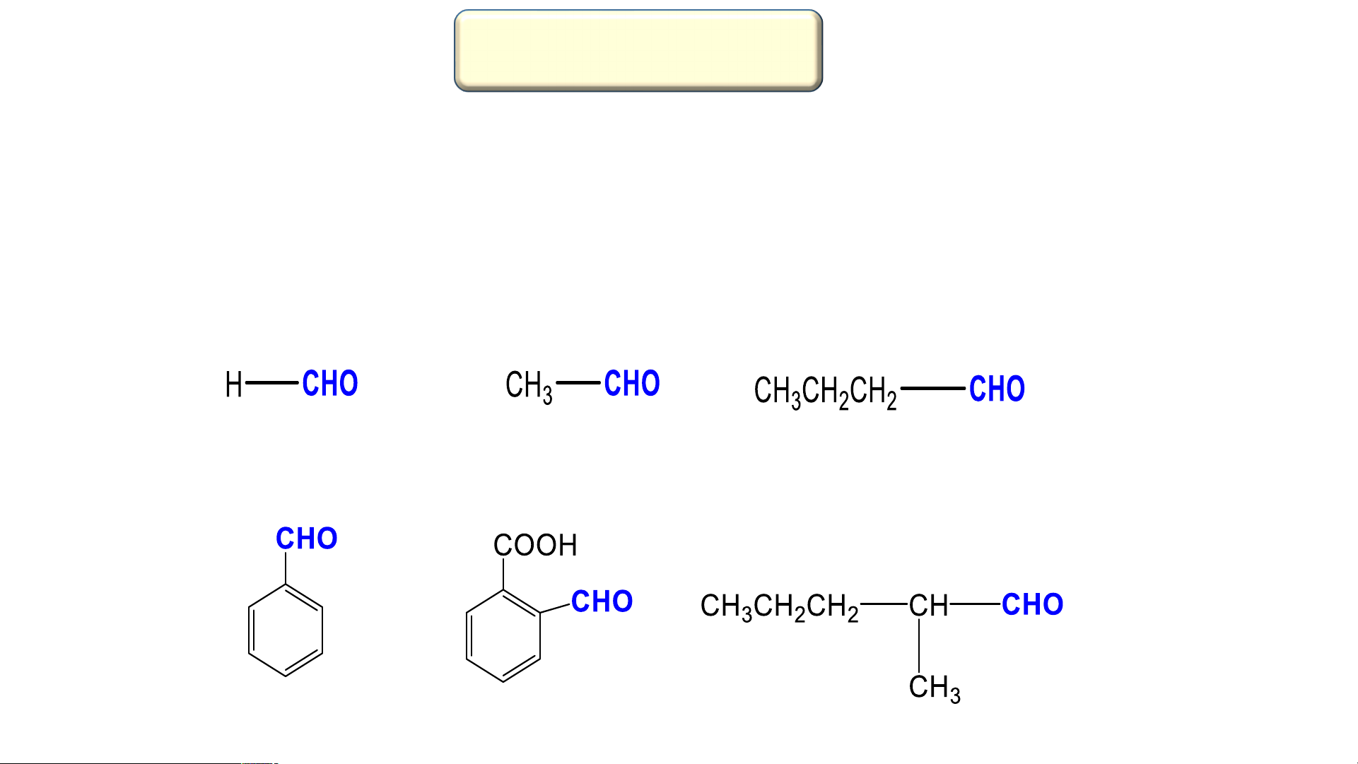
Hợp chất mang nhóm carbonyl: -C=O Aldehyde Ketone ẟ + ẟ − Aldehyde q Danh pháp.
TÊN DẪN XUẤT TỪ ACID
Thay thế -ic hoặc –oic trong tên thông thường
của carboxylic acid tương ứng bằng –aldehyde. Formaldehyde Acetaldehyde n-Butyraldehyde Benzaldehyde Salicylaldehyde α-Methylvaleraldehyde TÊN GỌI THEO IUPAC.
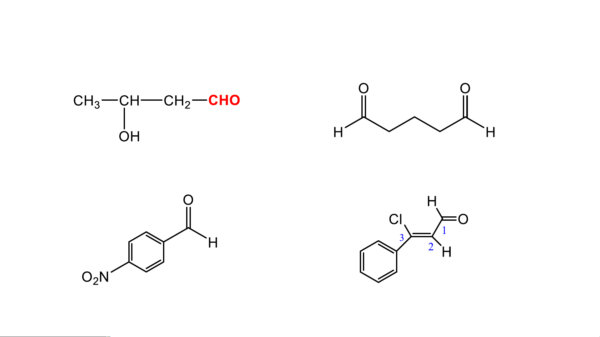
Tên hydrocarbon tương ứng + al 3-hydroxybutanal pentadial
p-nitrobenzaldehyd
(Z)-3-cloro-3-phenyl-2-propenal 4-bromo-3-metylheptanal 2-etyl-4-metylpentanal
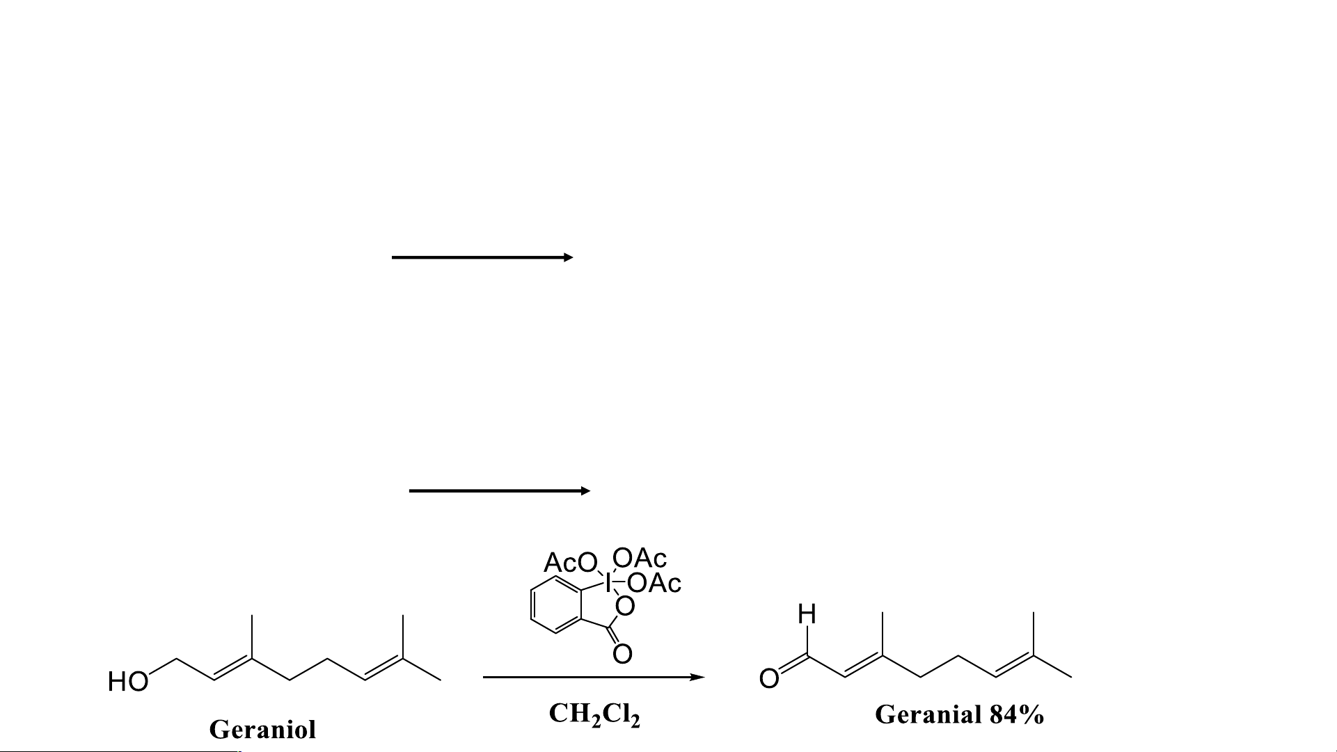
(2E)-3,7-dimethyl-2,6-octadienal
(R)-2-cloro-3-phenylpropanal Geranial TÊN CARBALDEHYDE
Aldehyde vòng có chứa nhóm–CHO gắn trực tiếp vào vòng.
Tên hydrocarbon+carbaldehyde
trans-4-hydroxycyclohexancarbaldehyd cyclohexancarbaldehyd 2-naphthalencarbaldehyd Vanillin Cinnamaldehyd Hydrocortisone q Điều chế.
Ø Oxid hóa alcol bậc 1.
• Với xúc tác đồng ở nhiệt độ cao. R─CH Cu, 200-300oC 2─OH R─CHO
• Với tác nhân oxid hóa K2Cr2O7, xúc tác H2SO4 đđ: khi ra sp aldehyde cần phải
tách khỏi phản ứng nếu không sp tiếp tục bị oxid hóa thành acid carboxylic. K2Cr2O7, H2SO4 R─CH2─OH R─CHO Ø Oxid hóa metylaren.
• Phản ứng oxide hóa metylaren như metylbenzen. Phản ứng xảy ra
trong môi trường có sự hiện diện của anhydride acetic. Ar─CH Ac2O H2O 3 + CrO3 Ar─CH(OAc)2 Ar ─CHO
• Clo hóa: sau thủy giải chuyển hóa chất dicloro tạo thành. Ac Ar─CH 2O H2O 3 + Cl2 Ar─CHCl2 Ar ─CHO
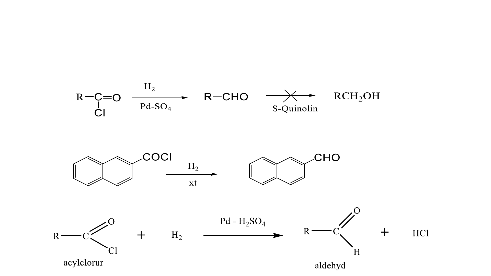
Ø Phản ứng Rosenmund.
• Hydrogen hóa acid clorur, xúc tác Pd-H2SO4, thêm vào một ít S-quinolin
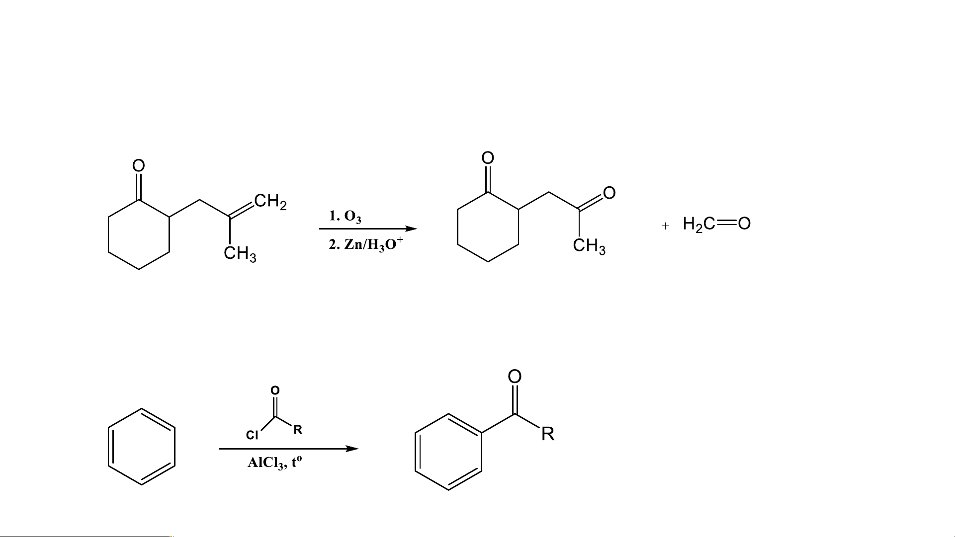
để phản ứng không ra sản phẩm alcol. q Phản ứng. Ø Ozone giải alken.
• Ozone sẽ cắt đứt nối C=C, nếu carbon nối đôi mang hydrogen sẽ tạo ra sp aldehyde.
Ø Phản ứng Stephen.
• Khử hóa hợp chất nitril bằng thiếc clorur trong môi trường acid.
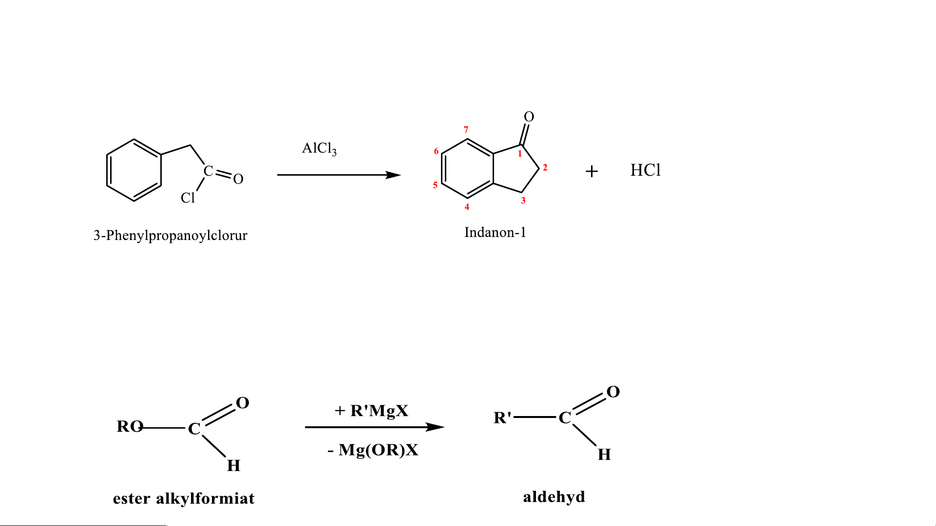
Ø Phản ứng Friedel-Craft.
• Acyl hóa vào nhân thơm.
Ø Phản ứng của ester với thuốc thử Grignard. Ketone. q Danh pháp.
TÊN GỌI THÔNG THƯỜNG
Tên các gốc hydrocabon tương ứng + ketone TÊN GỌI THEO IUPAC
Tên hydrocabon tương ứng + one
TÊN GỌI KETON HƯƠNG PHƯƠNG
Tên các acid carboxylic tương ứng thay -ic hay –oic bằng ophenon Acetophenon Benzophenon n-butyrophenon
v Một số aldehyde và ceton hay gặp. Citral a Furfural Piperonal O Quinon Camphor Jasmon Menton q Điều chế.
Ø Oxid hóa alcol bậc 2. OH O CrO3 CH2Cl2
4-tert-butylcyclohexanol
4-tert-butylcyclohexanon (90%) Ø Ozone giải alken.
Sản phẩm cho ra ceton nếu nguyên tử carbon bất bão hòa của alken mang hai nhóm thế. 70%
Ø Phản ứng acyl hóa Friedel-Craft.
Ø Phản ứng cộng nước vào alkyn cuối mạch.
Phản ứng cộng hợp với nước có xúc tác xảy ra qua giai đoạn tạo chất trung
gian enol. Enol không bền dễ bị chuyển vị để tạo thành aldehyd hoặc ceton.
q Phản ứng cộng hợp ái nhân vào nhóm carbonyl.
- Tác nhân ái nhân tấn công vào nhóm carbonyl theo các giai đoạn.
- Môi trường acid thích hợp cho phản ứng cộng hợp vào nhóm carbonyl.
- Khả năng cộng ái nhân vào nhóm carbonyl của aldehyd dễ hơn ceton.
- Ceton có hai gốc hydrocarbon làm giảm mật độ điện tích dương trên
nguyên tử C và có cản trở không gian sự tương tác của tác nhân ái nhân vào nhóm carbonyl.
Ø Cộng nước tạo Gem-diol.
- Aldehyd và ceton tác dụng với nước tạo thành Gem-diol.
- Formaldehyd bị hydrat hóa gần như hoàn toàn, trong dung dịch nước nó
tồn tại dưới dạng gem-diol (CH2)OH)2
- Mức độ hydrat hóa của hợp chất carbonyl tùy thuộc vào cấu tạo.