Report tài liệu
Chia sẻ tài liệu
Bài giảng chương 1 động học chất điểm | Vật lí
Bài giảng chương 1 động học chất điểm | Vật lí. Tài liệu giúp bạn tham khảo, ôn tập và đạt kết quả cao. Mời đọc đón xem!
Môn: Vật lý đại cương (67HUCE) 11 tài liệu
Trường: Trường Đại học Xây Dựng Hà Nội 540 tài liệu
Tác giả:










Tài liệu khác của Trường Đại học Xây Dựng Hà Nội
Preview text:
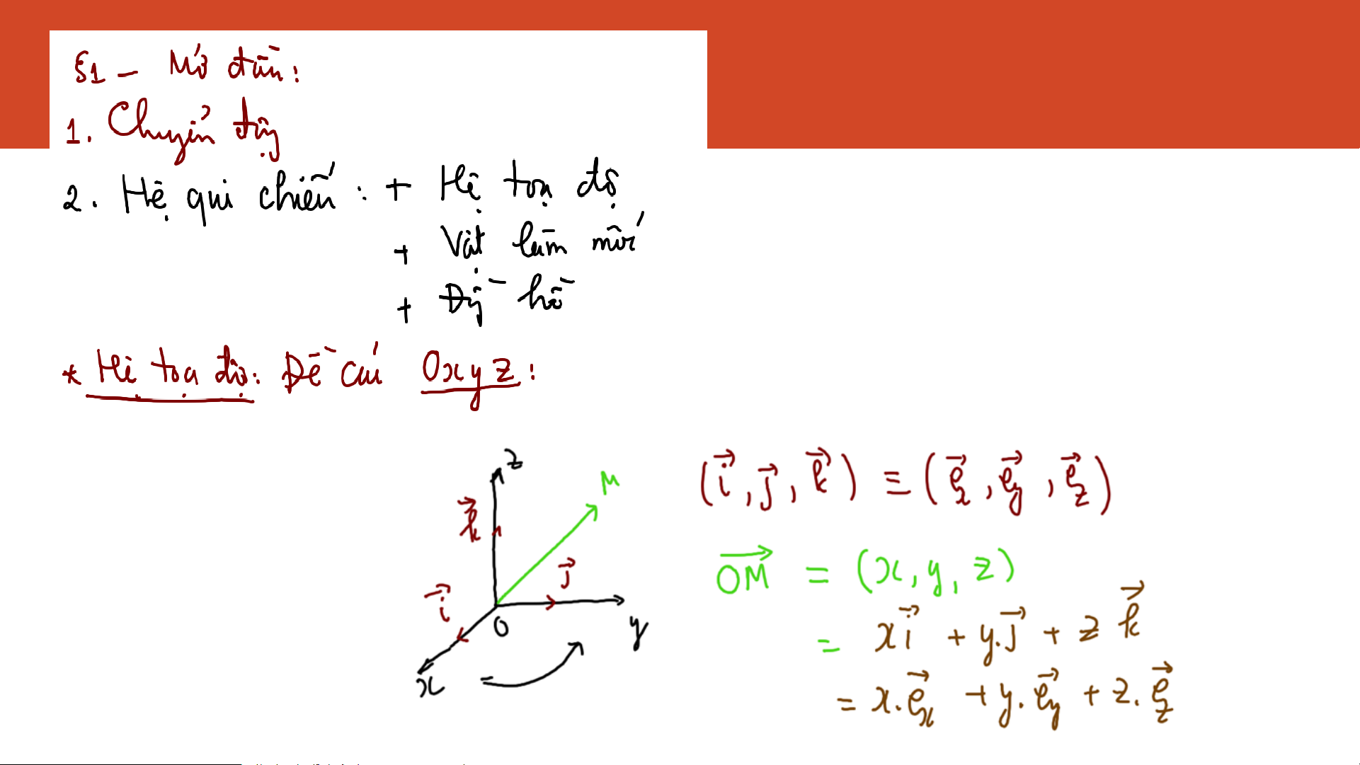
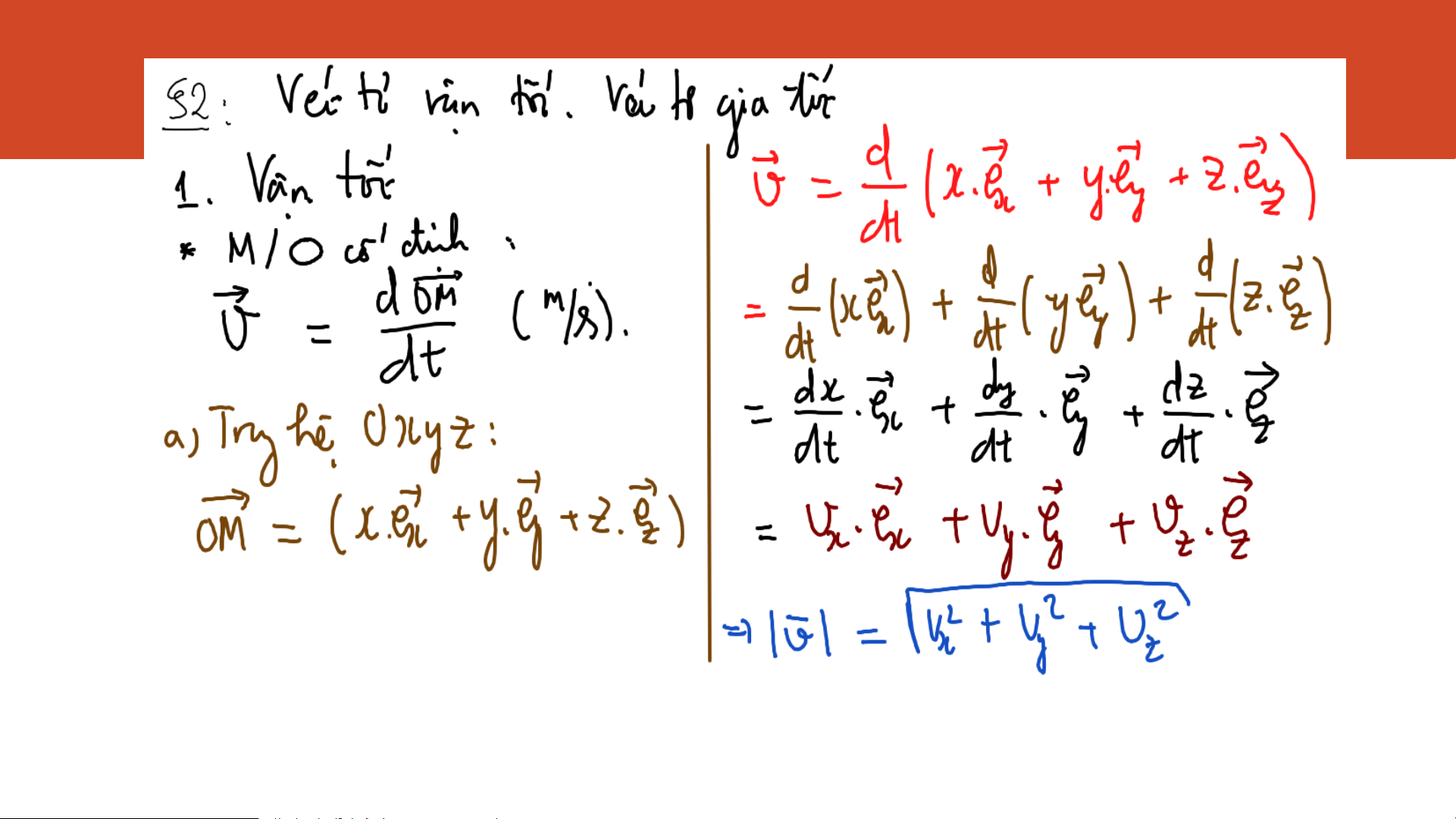
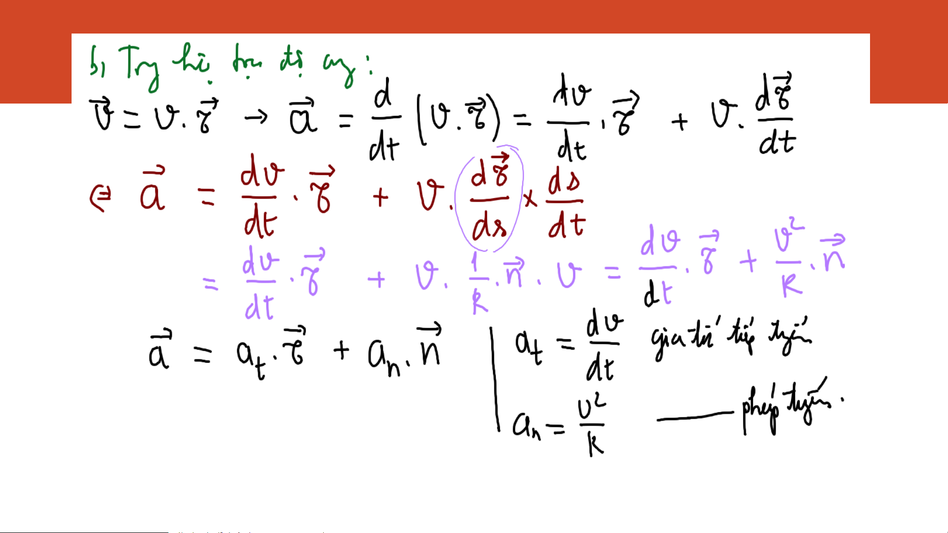
Chương 1 ĐỘNG HỌC CHẤT ĐIỂM Bài giảng VẬT LÝ 1
TS. Vũ Văn Khải- Bộ môn Vật lý – Đại học Xây dựng
Tài liệu liên quan:
-
Bài tập Môn Vật lý đại cương | Đại học Xây Dựng Hà Nội
137 69 -
Chương 7: Quang Học Lượng Tử và Hiện Tượng Phát Xạ Năng Lượng | Môn Vật lý đại cương - Đại học Xây Dựng Hà Nội
103 52 -
Đề cương ôn tập Môn Vật lý đại cương | Đại học Xây Dựng Hà Nội
216 108 -
Bài Tập Đặc Sắc Về Điện Dung Và Hệ Tụ Điện | Môn Vật lý đại cương - Đại học Xây Dựng Hà Nội
164 82