



















Preview text:
CHƯƠNG 1
-Nguồn lực: là những gì mà các bạn có
-Nhu cầu: từ nguồn lực sinh ra như cầu, nhu cầu thì vô hạn
Kinh tế vi mô: là môn học học cách quản lí, sắp xếp nguồn lực để tối ưu được nhu cầu
-Sự khan hiếm: là nguồn lực thiếu hụt so với nhu cầu
-Sự đánh đổi: có nghĩa là muốn đạt được một cái cơ hội khác thì phải chấp nhận hi sinh cơ hội hiện tại
-3 vấn đề kinh tế cơ bản: -+ sản xuất cái gì? + sản xuất như thế nào + sản xuất cho ai? -Các thành viên kinh tế: + Hộ gia đình + Doanh nghiệp
Khi hộ gia đình mua hàng hóa của doanh nghiệp thì đây là thị trường hàng hóa dịch dụ
Khi doanh nghiệp lấy công nhân sức lao động thì đây là thị trường yếu tố sản xuất
Thị trường chỉ có doanh nghiệp và hộ gia đình: đây là thị trường tự do -> đạt hiệu quả lớn
nhất, được đo bằng( NSB): phúc lợi xã hội ròng, và phần mất không( DWL=0)
Còn nhược điểm của thị trường tự do: thiếu công bằng -> chính phủ phải xuất hiện->
giúp xã hội trở nên công bằng, còn khi chính phủ vào nhược điểm, thì phần mất
không(DWL>0) -> NSB sẽ không max nữa
-Các cơ chế phối hợp của nền kinh tế
+ Mệnh lệnh: Các vấn đề kinh tế cơ bản do Nhà nước quyết định
+ Thị trường: Các vấn đề kinh tế cơ bản do thị trường ( cung – cầu) quyết định
+ Hỗn hợp: Cả chính phủ và thị trường đều tham gia giải quyết các vấn đề kinh tế cơ bản
-Kinh tế học được chia làm hai loại Kinh tế vi mô Kinh tế vĩ mô -Nghiên cứu việc ra -Nghiên cứu hành vi của
quyết định của các thành
một nền kinh tế về mặt viên kinh tế: tổng thể: + Hành vi tiêu dùng + Lạm phát + Quyết định sản xuất + Thuế + Cấu trúc thị trường + thất nghiệp + Ô nhiễm môi trường + Tăng trưởng kinh tế + Hàng hóa cộng đồng + Thương mại quốc tế
Ngoài ra còn chia theo kiểu:
+ Kinh tế học chuẩn tắc:quan điểm, ý kiến cá nhân
+ Kinh tế học thực chứng:được lý giải khoa học
-Chi phí cơ hội: Là cơ hội tốt nhất bị bỏ qua
VD: trong hai tiếng bây giờ ngồi học bài. Nếu không học bài mình có thể đi làm thêm 2 tiếng
được 50k, hoặc đi nhổ tóc sâu cho bố 100k -> Chi phí cơ hội ở đây là 100K( khoản tiền bị mất nhiều nhất)
-Quy luật chi phí cơ hội tăng dần
+ Học 2 tháng từ 0. -> 4.
+ Nhưng phải học 6 tháng mới từ 4.->8.
Càng lên cao thời gian bỏ ra càng ngày càng lớn -> Chi phí cơ hội tăng dần
-Lợi ích cận biên giảm dần:
+ Học 2 tháng từ 0 ->4.
+ Nhưng học 2 tháng không thể từ 4. -> 8.
Lợi ích cận biên giảm dần, càng lên càng khó
-Đường giới hạn sản xuất( PPF)
-Bài toán phân tích lợi ích cận biên:
Lợi ích ròng = Lợi ích – Chi phí NB = TB - TC
Khi sản kinh doanh ai cũng cần:
TB max => TB’ = MB( lợi ích cận biên) =0
TC min => TC’= MC( chi phí cận biên) =0
NB max=> NB’ = TB’ – TC’ = MB- MC =0 => MB= MC( đây là điểm sản xuất tối ưu)
Chương 2: Lý thuyết cung cầu.
-Cầu(D): là nhu cầu- người mua
-Cung(S) : là cung cầu- người bán
-P là giá, Q là lượng cầu
( đường cầu và lượng cầu)
-Các sự dịch chuyển của đường cầu
+ Sự dich chuyển dòng: Thay đổi giá thì sản lượng sẽ thay đổi theo( yếu tố nội sinh)
+ Sự di chuyển trái/phải: Do yếu tố ngoại sinh gây ra CÓ 5 yếu tố ngoại sinh: Giá hàng hóa liên quan
oHàng hóa thay thế tăng -> D dịch phải( VD thịt gà và thịt lợn, nếu giá thịt lợn
tăng thì người ta sẽ mua thịt lợn nhiều hơn)
oHàng hóa bổ sung( VD xe máy phải có xăng mới đi được, khi giá xăng tăng thì
mua xăng giảm dẫn đến mua xe máy cũng giảm) tăng -> D dịch sang trái Thu nhập( nếu tăng)
oHàng hóa cấp thấp: D dịch trái
oHàng hóa thông thường: D dịch phải
Thị hiếu( sở thích), sẽ làm đường D dịch phải Quy mô thị trường
oQuy mô thị trường lớn: sẽ làm nhiều biết đến sản phẩm -> D dịch phải
oQuy mô thị trường nhỏ: ngược lại Kì vọng về giá
oGiá tăng trong tương lai: D tăng
oGiá giảm trong tương lai: D hiện nay sẽ giảm
*) Tăng ở đây là dịch trái dịch phải
-Các sự dịch chuyển đường cung
Khi giá tăng thì người bán cũng muốn bán nhiều
Yếu tố nội sinh thì vẫn là giá, giống với ở trên 5 yếu tối ngoại sinh:
Chi phí đầu vào( tiền mua nguyên vật liệu càng tăng) -> S dịch sang trái
Số lượng người sản xuất tăng -> S dịch sang phải
Công nghệ kĩ thuật càng hiện đại, phát triển -> S dịch phải Chính phủ
oĐánh thuế -> S sang trái
oTrợ cấp -> S sang phải Kì vọng giá tương lai
-Mối quan hệ giữa S và D( cung- cầu)
-Thặng dư tiêu dùng và thặng dư người bán
Đây là đối với thị trường tự do:
PS + CS = NBS( lợi ích ròng XH DWL =0
Cách làm bài tập chương2:
Áp dụng tích phân để tính thặng dư
1. Thị trường tự do( không có chính phủ)
Thặng dư: người tiêu dùng chấp nhận mua với giá ở trên đường D nhưng thực tế họ chỉ cần bỏ ra Pe. Vậy
sẽ dư ra phần thặng dư tiêu dùng màu vàng + Thặng dư tiêu dùng: CS:
+ Thặng dư sản xuất: PS là phần diện tích màu hồng
NSB( lợi ích ròng xã hội)= CS + PS, đối với thị trường tự do thì NBS max DWL= 0
2. Thị trường có chính phủ
Khi này NSB sẽ không max nữa DWL sẽ khác 0
a. khi chính phủ đánh gia : t đồng/sp Ps mới = a + bQ +t
Ps mới = Pd => tính được điểm cân bằng mới.
CS mới là phần màu xanh =>
PS mới là phần màu xanh bên dưới. Tính là:
Thuế chính phủ thu= t. Q mới, là phần diện tích màu hồng
Và thuế người mua và người bán đề phải chịu:
Phần đỏ đỏ ở trên là người mua chịu, phần màu hồng bên dưới là người bán chịu
Còn phần mất mát của xã hội thì không ai được nhận là phần màu xanh dương: Và DWL được tính bằng:
( hơi mờ: tích phân từ Qe mới đến Qe cũ)
b. Khi chính phủ trợ cấp( SUB)
Ta được một đường S mới dịch sang bên phải Lúc này cs là
Còn PS sẽ là hình màu đỏ( do vẽ bị đè lên màu xanh) PS được tính :
-Tiền trợ cấp của chính phủ là: subx X Qe mới
-Mất mát xã hội là DWL là phần màu xanh nước biển Được tính: 3. Giá trần
Có nghĩa là phải quy định mức giá tối đa người bán được phép bán
Hiện tượng khi tạo giá trần sẽ gây nên thiếu hụt hàng hóa
-Thặng dư người bán: PS là phần màu đỏ Được tính bằng:
(lưu ý chổ này viết lộn, cận phải từ 0 đến Qs)
-Thặng dư người mua là phần màu xanh là cây Cách tính:
Phần dư thừa là phần màu xanh nước biển Cách tính: DWL
-Như ở trên ta biết, khi chính phủ quy định giá trần thì dẫn đến việc thiếu hụt hàng hóa do vậy,
chính phủ sẽ trợ cấp, làm cho đường cung S dịch sang phải và tạo điểm cân bằng mới
Vậy làm thế nào để tính tìm được phương trình của đường cung mới
Ta có đường cung cũ sẽ là P = a + bQ mà đường cung mới song song => đường cung mới có dạng
P= a’ +bQ. Mà ta đã biết được P trần và Q trần. lúc này chỉ cần thay vào phương trình đường
cung mới và tìm ra các hệ số a’, b 4. Giá sàn
Là giá thấp nhất mà người mua phải mua -> để bảo hộ cho các hộ nông dân khi bán hàng
Khi này sẽ sinh ra dư thừa hàng hóa
-Thặng dư người mua: CS là phần màu đỏ Cách tính:
-Thặng dư người bán PS là phần hình thang màu xanh lá: Cách tính:
-Phần mất mát của XH là phần màu xanh dương Cách tính Chương 3: Độ co giãn
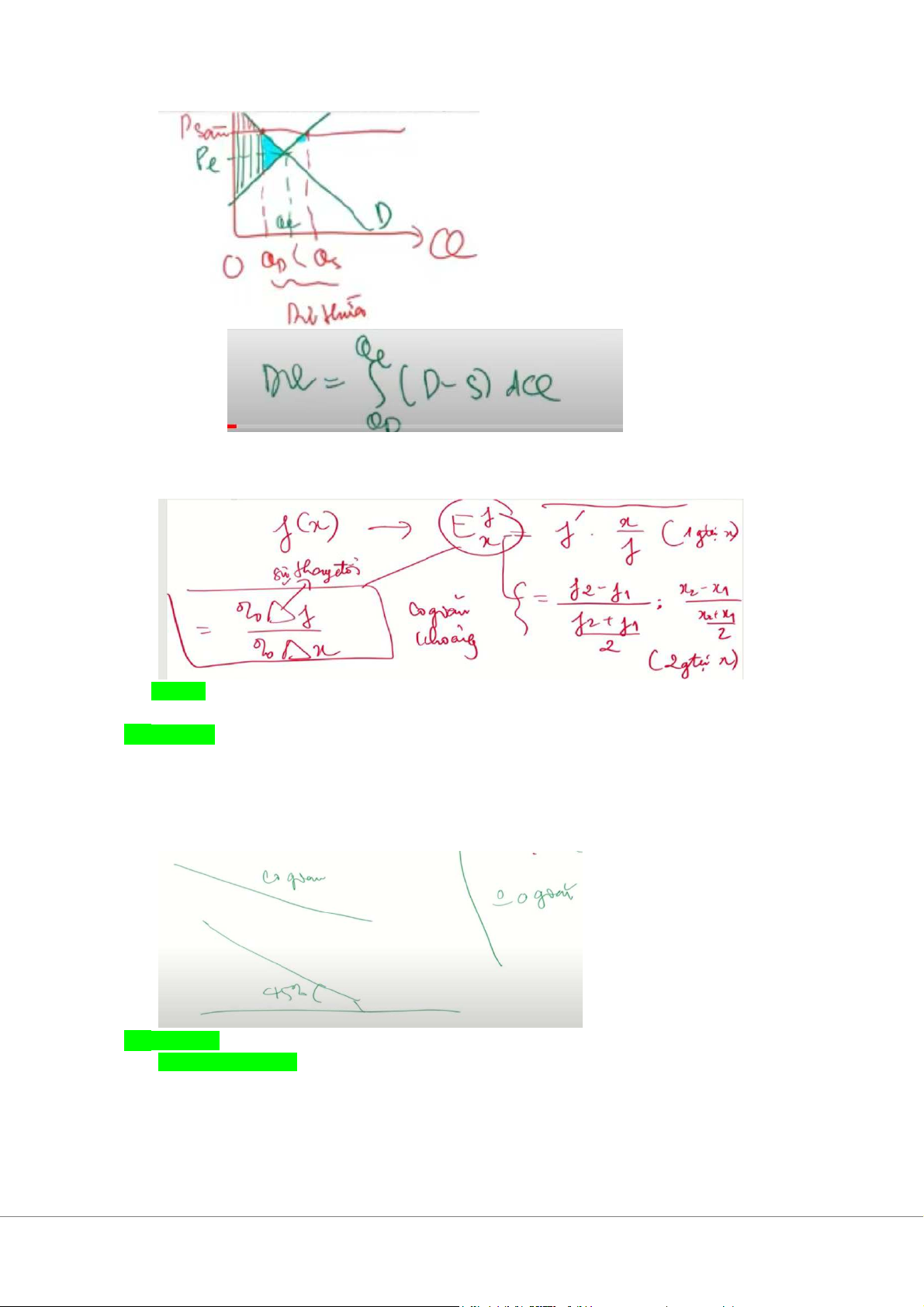
-Ý nghĩa: khi x tăng 1% thì f(x) thay đổi bao nhiêu %
VD: Exf =-2 => khi x tăng 1% thì f(x) giảm 2% -Phân loại
+ | E | >1: Co giãn, đồ thị sẽ thoải
+ | E| =1: co giãn đơn vị, tạo một góc với đường nằm ngang 45 độ
+ | E| <1: không co giãn, đồ thị dốc
+ | E| =oo: co giãn hoàn toàn
+ | E|= 0 : hoàn toàn không co giãn -ứng dụng 1. co giãn theo giá cung/cầu ( S/D) -Chú ý( âm dương):
+EsP luôn dương( S ở đây được hiểu là Qs: lượng cung). Vì khi giá càng cao thì người bán lại
càng muốn bán nhiều nên lượng cung tăng, vì vậy lượng cung là giá là mối quan hệ cùng chiều nên EsP luôn dương
+ Còn EPD luôn âm, giải thích ngược lại ở trên
Ý nghĩa: khi P tăng 1% thì Q tăng hay giảm bao nhiêu %
2. Co giãn chéo( co giãn theo giá hàng hóa liên quan)
3. Hàng hóa theo thu nhập(I) -Ứng dụng khác
Chương 4:Lý thuyết hành vi người tiêu dùng -Lợi ích(U)
-Khi mua nhiều hàng hóa UA, UB => tổng lợi ích: TU = UA + UB
-Lợi ích cận biên: MU = TU2 – TU1( Tu sau trừ đi TU trước) hoặc được tính TU’( đạo hàm) -Tính chất: + Lợi ích đo được:
Tính hoàn chỉnh: so sánh được lợi ích của các hàng hóa với nhau
Tính bắc cầu UA > UB, UB > Uc => UA>UC Tiêu dùng tối ưu: TU max o1 hàng hóa P =MU o2 hàng hóa
Lợi ích đo được bằng tiền: số tiền bỏ ra để có được lợi ích đó -Hai loại đường: 1. Đường ngân sách(I)
I = PX .X + PY.Y( X,Y là lượng mua hàng của hàng hóa X và Y)
Ta chuyển về dạng đường thẳng:
- Biểu đồ đường ngân sách
+ Đường này sẽ dịch chuyển sang phải hoặc sang trái, nếu hệ số chặn thay đổi
+ Hoặc đường này sẽ xoay ra ngoài hoặc xoay vào trong
Bài toán tìm điểm tối ưu TU max 2. Đường bàng quan
Là đường mà có cùng một mức lợi ích( IC)
Tất cả các điểm xanh xanh trên hình tuy đưa ra X,Y khác nhau nhưng tổng lợi ích là như nhau
-Điểm tối ưu tiêu dùng là điểm giao nhau nè Tại sao lại như thế
Khi cắt nhau ta tính được điểm tiêu dùng tối ưu
-Tính chất của đường bàng quan:
+ Đốc xuống( độ dốc âm)
+ Độ dốc giảm dần( theo quy luật lợi ích cận biên giảm dần)
+ có dạng lồi về gốc tọa độ
+ Các đường bàng quan không cắt nhau
+ Đường bảng quan càng xa gốc tọa độ thì lợi ích càng lớn
CHƯƠNG 5: SẢN XUẤT, CHI PHÍ VÀ LỢI NHUẬN
-Sản lượng: Q = f( K(vốn); L( lao động))
Hàm sản xuất phổ biến nhất = dạng cobb douglas
( anpha là độ co giãn của K, beta là độ co giãn của L)