


















Preview text:
lOMoAR cPSD| 59735610
TRƯỜNG ĐẠI HỌC GIAO THÔNG VẬN TẢI KHOA CƠ KHÍ
BỘ MÔN CƠ KHÍ Ô TÔ
……………
BÀI TẬP LỚN LÝ THUYẾT Ô TÔ Tên đề tài:
Tính toán sức kéo ô tô
Lo ạ i ô tô: Con
T ả i tr ọ ng/S ố ch ỗ ng ồ i: 7 ch ỗ
V ậ n t ố c chuy ể n đ ộ ng c ự c đ ạ i: 180 kmh
H ệ s ố c ả n t ổ ng c ộ ng c ủ a đư ờ ng l ớ n nh ấ t: 0 , 45
Xe tham kh ả o: M itsubishi P ajero S port
Sinh viên: Nguyễn Ngọc Hiệp
Nhóm: 10
Lớp : Cơ khí ô tô 1
Hệ: Chính quy
Khóa: 61
Người hướng dẫn: PGS.TS. Trần Văn Như
Hà Nội 2023 lOMoAR cPSD| 59735610
Nguyễn Ngọc Hiệp 1 LỜI NÓI ĐẦU
Lý thuyết ôtô là một trong những môn cơ sở then chốt của chuyên ngành cơ khí ôtô có liên
quan đến các tính chất khai thác để đảm bảo tính an toàn, ổn định và hiệu quả trong quá trình sử
dụng. Các tính chất bao gồm: động lực học kéo, tính kinh tế nhiên liệu, động lực học phanh, tính
ổn định , cơ động, êm dịu…
Bài Tập lớn môn học Lý thuyết ôtô là một phần của môn học, với việc vận dụng những
kiến thức đã học về các chỉ tiêu đánh giá khả năng kéo của ôtô để vận dụng để tính toán sức
kéo và động lực học kéo, xác định các thong số cơ bản của động cơ hay hệ thống truyền lực
của một loại ôtô cụ thể. Qua đó, biết được một số thống số kỹ thuật, trạng thái, tính năng cũng
như khả năng làm việc vủa ôtô khi kéo, từ đó hiểu được nội dung, ý nghĩa của bài tập và góp
phần vào việc củng cố nâng cao kiến thức phục vụ cho các môn học tiếp theo và bổ sung thêm
vào vốn kiến thức phục vụ cho công việc sau này.
Nội dung bài tập lớn được hoàn thành dưới sự hướng dẫn của thầy Trần Văn Như. Bộ môn
cơ khí ôtô – Đại học Giao Thông Vận Tải.
Sinh viên thực hiện
Nguyễn Ngọc Hiệp
CHƯƠNG 1. NỘI DUNG BÀI TẬP LỚN
1.1 Nội dung thuyết minh Mở đầu
Chương 1. Thiết kế tuyến hình
1.1. Kích thước cơ bản của ô tô thiết kế 1.2. Bố trí chung ô tô
(bố trí động cơ, hệ thống truyền lực, vị trí ghế ngồi, thùng hàng, ...)
1.3. Trọng lượng và phân bố trọng lượng ô tô thiết kế
Chương 2. Tính toán sức kéo ô tô
2.1. Tính toán thông số động cơ và xây dựng đường đặc tính ngoài
2.2. Tính toán thông số hệ thống truyền lực
2.3. Tính toán và xây dựng đồ thị lOMoAR cPSD| 59735610
Tính toán sức kéo ô tô 2
(cân bằng công suất, lực kéo, nhân tố động lực học, gia tốc, thời gian và quãng đường tăng tốc)
2.4. Các chỉ tiêu đánh giá chất lượng kéo:
(imax, jmax, t, s, t100km/h, khả năng kéo mooc (tương ứng với độ dốc lớn nhất
của đường 13%, Psi_max =0.13+0.018)) Kết luận
CHƯƠNG 1: THIẾT KẾ TUYẾN HÌNH Ô TÔ
1.1.Xác định các kích thước cơ bản của xe.
- Tuyến hình của ô tô Mitsubishi Pajero Sport lOMoAR cPSD| 59735610
Nguyễn Ngọc Hiệp 3
Đơn vị kích thước : mm
– Các kích thước cơ bản: STT Thông số Ký hiệu Kích thước Đơn vị 1 Chiều dài toàn bộ L0 4785 mm 2 Chiều rộng toàn bộ B0 1815 mm 3 Chiều cao toàn bộ H0 1805 mm 4 Chiều dài cơ sở L 2800 mm 5 Vết bánh trước B1 1520 mm 6 Vết bánh sau B2 1515 mm 7 Khoảng sáng gầm xe H1 218 mm 8 Vận tốc tối đa Vmax 180 km/h
1.2.Bố trí chung ô tô
- Động cơ : Đặt ở đằng trước, cầu sau chủ động.
- Hành lý : ở cốp phía đuôi xe
1.3.Trọng lượng và tải trọng ô tô thiết kế:
- Xe Mitsubishi Pajero Sport ; 7 chỗ (n=7)
+ Trọng lượng không tải : G0 = 1875 kG
+ Trọng lượng hành khách: Gngười = 65 kG/người
+ Tải trọng hành lí : Ghl = 20 kG/người
Trọng lượng G= G0 + n.( Ghl + Gngười) =1875 + 7.(65 + 20) =2470 kG
- Vậy tải trọng toàn bộ của xe G = 2470 kG = 24230, (N)
- Phân bố trọng lượng : xe con với động cơ đặt trước, tải trọng phân bố lên cầu sau là 40 % ÷ 45% lOMoAR cPSD| 59735610
Tính toán sức kéo ô tô 4 - Chọn G1 = 45%G
- G1 = 45% . 2470 = 1111,5 (kG) = 10903,815 (N)
- G2 = (1 – 45%).2470 = 1358,5 (kG) = 13326,885 (N)
Như vậy tải trọng tác dụng lên cầu trước là 10903,815 N, và tác dụng lên cầu sau là 13326,885 N.
CHƯƠNG 2: TÍNH TOÁN SỨC KÉO
2.1 Tính toán thông số động cơ :
2.1.1 Tính toán thông số động cơ: a)
Thông số theo thiết kế phác thảo:
– Loại động cơ: 6B31 3.0L – Dung tích công tác: Vc = 2.998cc
– Công suất tối đa:Pmax = 220 hp = 164 kW
– 𝑛𝑁 = 5400 (vòng⁄phút)
– Mômen xoắn tối đa: Mmax = 285 (N.m) – Vận tốc lớn nhất:vmax = 180 (km/h) = 50 (m/s)
– Hệ thống truyền lực:
+ Động cơ đặt trước, cầu sau chủ động. + Hộp số sàn 5 cấp. b) Thông số chọn:
– Trọng lượng bản thân: 1875 kg
– Trọng lượng hành khách: 65 kg/người
– Trọng lượng hành lí: 20 kg/người
– Hiệu suất truyền lực: 𝜂𝑡𝑙 = 0,9 ( trang 15- GTLTOT)
– Hệ số cản không khí: K= 0,2 (trang 39 – GTLTOT)
– Hệ số cản lăn khi V < 22,2 m/s là 𝑓0 = 0,015 c)
Thông số tính chọn : lOMoAR cPSD| 59735610
Nguyễn Ngọc Hiệp 5
– Hệ số cản mặt đường tương ứng với Vmax = 50 m/s – Bán kính bánh xe : ) Có kí hiệu: 265/60R18 => )
Bán kính thiết kế của bánh xe:
r0 = 159 + . 25,4 = 387,6 (mm) = 0,3876 (m)
Bán kính động học và bán kính động lực học của bánh xe: rđ = rk = λ.r0
Với λ: Hệ số kể đến biến dạng lốp (λ=0,93÷0,95)
Chọn lốp có áp suất cao λ = 0,945
rđ = rk = 0,945. 0,3876 = 0,366 (m).
– Diện tích cản chính diện: F = 0,78.B0.H0
F = 0,78.1,815.1,805= 2,555 (m2)
– Công thức bánh xe: 4x2.
2.1.2 Xây dựng đường đặc tính tốc độ ngoài của động cơ
- Các đường đặc tính tốc độ ngoài của động cơ là những đường cong biểu diễn sự phụ thuộc
của các đại lượng công suất, mômen và suất tiêu hao nhiên liệu của động cơ theo số vòng
quay của trục khuỷu động cơ. Các đường đặc tính này gồm:
+ Đường công suất: Ne = f(ne)
+ Đường mômen xoắn : Me = f(ne)
+ Đường suất tiêu hao nhiên liệu của động cơ : ge = f(ne)
Để tính công suất cực đại, trước hết cần xác định công suất cần thiết Nev để đảm bảo cho ô tô
chuyển động đạt tốc độ cực đại vmax đã cho. Trong trường hợp chung Nev ≠ Nemax và wemax ≠
weN . Công suất Nemax được xác định bằng công thức: lOMoAR cPSD| 59735610
Tính toán sức kéo ô tô 6 → N (*)
+ Động cơ xăng : a = b = c =1 ( a, b, c là các hệ số thực nghiệm) + Tỉ số
= 1,1 ( động cơ xăng không hạn chế số vòng quay)
Sử dụng phương trình cân bằng công suất khi ô tô chuyển động ổn định khi đạt tốc độ
vmax thì gia tốc j = 0, chúng ta tìm: Nev
Trong đó: Ψv = 0,01 – hệ số cản của đường khi ô tô chuyển động ở tốc độ vmax
K – hệ số cản không khí, N.s2/m4
F – diện tích cản chính diện của ô tô, m2
ƞ𝑡𝑙 – hiệu suất của hệ thống truyền lực. • G = 24230,7 (N) •
vmax = 180 (km⁄h)= 50 (m⁄s) • f = 0,04 • K = 0,2 • F= 2,55 m2 •
Hiệu suất truyền lực: ƞ𝑡𝑙 = 0,9 (tr 15) •
Hệ số cản tổng cộng của đường: 𝜓𝑚𝑎𝑥 = 0,45 → Nev ,333 (W) -
Công suất cực đại của động cơ: (*) → N ,333 (W) -
Xây dựng đường đặc tính tốc độ ngoài:
+ Tính công suất của động cơ ở số vòng quay khác nhau: (sử dụng công thức ledeman) → Ne (kW)
Trong đó : - Nemax và weN – công suất cực đại của động cơ và số vòng quay tương ứng -
Ne và we : công suất và số vòng quay ở 1 thời điểm trên đường đặc tính
+ Tính mômen xoắn của trục khuỷu động cơ ứng với số vòng quay ne khác nhau : lOMoAR cPSD| 59735610
Nguyễn Ngọc Hiệp 7 Me (N.m) ; với
+ Lập bảng: - Các thông số nN; Ne ; Me đã có công thức tính
- Kết quả tính được ghi ở bảng: 𝒘𝒆(rad/s) Me (N.m) Ne(kw) 169,56 266,9 45,3 200 271,0 54,2 250 275 68,8 300 275,5 82,7 350 272,6 95,4 400 266,2 106,5 450 256,4 115,4 500 243,1 121,6 565,2 220,6 124,7 600 206,2 123,,7 650 182,5 118,6 678,24 116,7 113,7
Sau khi tính toán và xử lí số liệu ta xây dựng được đường đặc tính ngoài với Công suất
Ne(kW) và Mômen xoắn Me(N.m): 300.0 140.0 120.0 250.0 100.0 200.0 80.0 150.0 Me 60.0 Ne 100.0 40.0 50.0 20.0 0.0 0.0 0 200 400 600 800
Đồ thị đường đặc tính tốc độ ngoài của động cơ
2.2 Tính toán thông số truyền của hệ thống truyền lực lOMoAR cPSD| 59735610
Tính toán sức kéo ô tô 8 -
Tỉ số truyền của hệ thống truyền lực : itl = i0 . ih . ic
Trong đó : + itl – tỷ số truyền của HTTL
+ i0 – tỷ số truyền của truyền lực chính
+ ih – tỷ số truyền của hộp số
+ ic – tỷ số truyền của truyền lực cuối cùng
+ ip – tỷ số truyền của hộp số phụ -
Xe không có hộp số phụ và truyền lực cuối cùng nên không có; ic và ip . => itl = i0 . ih
2.2.1. Tỷ số truyền của truyền lực chính. -
Được xác định theo điều kiện đảm bảo ôtô chuyển động với vận tốc lớn nhất ở
tay số cao nhất của hộp số. Trong đó :
rb : Bán kính bánh xe , rb = 0,366 (m)
wemax : Tốc độ trục khuỷu cực đại , wemax=1,2.5400(𝑣/𝑝ℎ)
𝑖ℎ : Tỉ số truyền tại tay số lớn nhất , 𝑖ℎ𝑐 = 1
vmax : Vận tốc cực đại , vmax = 50(𝑚/𝑠) i
2.2.2. Tỷ số truyền của hộp số.
a. Tỷ số truyền của tay số 1.
-Tỉ số truyền của tay số 1 được xác định trên cơ sở đảm bảo khắc phục được lực cản lớn
nhất của mặt đường mà bánh xe chủ động không bị trượt quay trong mọi điều kiện
chuyển động. Ta xét 2 điều kiện:
+ Điều kiện chuyển động : 𝑃𝑘1max = 𝑃 𝜓 max Trong đó: -
𝑃𝑘 : Lực kéo tiếp tuyến -
𝑃 𝜓: Lực cản tổng cộng lOMoAR cPSD| 59735610
Nguyễn Ngọc Hiệp 9 Trong đó:
- G : Trọng lượng toàn bộ , G=24230,7 (N)
- 𝜓𝑚𝑎𝑥 : Hệ số cản tổng cộng , 𝜓𝑚𝑎𝑥 = 0,45
- 𝑟𝑏 : Bán kính bánh xe , 𝑟𝑏 = 0,366 (m)
- 𝑀𝑒𝑚ax : Momen xoắn cực đại, - )
- 𝑖0 : Tỉ số truyền truyền lực chính 𝑖0 = 4,1373
- 𝜂𝑡𝑙 : Hiệu suất hệ thống truyền lực, 𝜂𝑡𝑙 = 0,9
+ Theo điều kiện bám đường : 𝑃𝑘1max ≤ 𝑃𝜑 Trong đó:
- 𝐺𝜑 : Phản lực tại cầu chủ động , 𝐺𝜑 = G1 = 13326,885 (𝑁)
- 𝜑 : Hệ số bám của bánh xe với mặt đường, chọn 𝜑 = 0,9
- 𝑚𝑘 : Hệ số phân bố lại tải trọng , 𝑚𝑘 = 1,3
Thỏa mãn điều kiện bám
Ta chọn tỉ số truyền tay số 1: 𝑖ℎ1 = 3,8869
b. Tỉ số truyền các tay số trung gian
- Chọn hệ thống tỉ số truyền của cỏc cấp số trong hộp số theo cấp số nhân - Tính công bội: - Trong đó:
- N : Số cấp hộp số ( n=5)
- 𝑖ℎ1 : Tỉ số truyền của tay số 1, 𝑖ℎ1 = 3,8869 lOMoAR cPSD| 59735610
Tính toán sức kéo ô tô 10
- 𝑖ℎ𝑛 : Tỉ số truyền tay số cuối cùng , 𝑖ℎ𝑛 = 1
Tỉ số truyền tay số thứ i trong hộp số được xác định theo công thức:
- Tỉ số truyền số lùi cũng phải thỏa mãn điều kiện chuyển động và bám , ta chọn tỉ số truyền
của số lùi bằng 1,1 lần với tay số thứ 1:
𝑖𝑙 = 1,1 ∗ 𝑖ℎ1 = 1,1 ∗ 3,8869= 4,276
Kiểm tra điều kiện bám : 𝑖𝑙 = 4,276< 5,56=> Thỏa mãn điều kiện
c. Tỷ số truyền của các tay số
Tỷ số truyền tương ứng với từng tay số được thể hiện ở bảng sau: Cấp số 1 2 3 4 5 Lùi Tỉ số truyền 3,8869 2,7682 1,9715 1,4041 1 4,276
2.3. Tính toán và xây dựng đồ thị.
2.3.1.Phương trình cân bằng lực kéo và đồ thị cân bằng lực kéo của ôtô. -
Phương trình cân bằng lực kéo của ôtô:
Pk = Pf + Pi + Pj + Pw (CT 1-46,tr49)
Trong đó: + Pk – lực kéo tiếp tuyến ở bánh xe chủ động Pki (a)
+ Pf – lực cản lăn Pf = G.f.cos𝛼 = G.f (do 𝛼 = 0)
+ Pi – lực cản lên dốc Pi = G.sin 𝛼 = 0 (do 𝛼 = 0)
+ Pj – lực quán tính (xuất hiện khi xe chuyển động không ổn định) Pj .j
+ Pw – lực cản không khí Pw = K.F.v2 -
Vận tốc ứng với mỗi tay số (m/s) (b)
Lập bảng tính Pk theo công thức (a),(b) với từng tỉ số truyền 𝐰𝐞 Me Ne Tay số 1 Tay số 2 Tay số 3 Tay số 4 Tay số 5 lOMoAR cPSD| 59735610
Nguyễn Ngọc Hiệp 11 𝑉1 𝑃𝐾1 𝑉2 𝑃𝐾2 𝑉3 𝑃𝐾3 𝑉4 𝑃𝐾4 𝑉5 𝑃𝐾5 169,5 266,9 45,3 3,9 10554,9 5,4 7517,2 7,6 5353,7 10,7 3812,9 10,7 2715,5 200 271,0 54,2 4,6 10715,5 6,4 7633,0 9,0 5436,2 12,6 3871,6 12,6 2757,4 250 275 68,8 5,7 10874,8 8,0 7745,0 11,2 5516,0 15,8 3928,4 15,8 2797,8 300 275,5 82,7 6,8 10895,5 9,6 7759,8 13,5 5526,5 18,9 3935,9 18,9 2803,2 350 272,6 95,4 8,0 10779,8 11,2 7677,3 15,7 5467,8 22,1 3894,1 22,1 2773,4 400 266,2 106,5 9,3 10460,6 12,8 7497,6 17,9 5339,8 25,2 2803,0 25,2 2705,5 450 256,4 115,4 10,2 10138,6 14,4 7220,7 20,2 5142,5 28,4 3662,5 28,4 2608,4 500 243,1 121,6 11,4 9613,2 16 6846,5 22,4 4876,1 31,5 3472,7 31,5 2473,3 565,2 220,6 124,7 12,9 8723,1 18,1 6212,5 25,4 4424,5 35,6 3151,1 35,6 2244,2 600 206,2 123,7 13,7 8152,9 19,2 5806,5 26,9 4135,3 37,8 2945,2 53,1 2097,5 650 182,5 118,6 14,8 7217,9 20,8 5140,6 29,2 3661,1 41 2607,4 57,5 1857,0 678,2 116,7 113,7 15,4 6629,5 21,7 4721,5 30,4 3362,6 42,7 2394,9 60 1705,6 4
Bảng: Giá trị lực kéo ứng với mỗi tay số
+) Phương trình cân bằng lực cản Pc. Pc= Pf + Pw
Xét ô tô chuyển động trên đường bằng và không có gió Pc = G.f + K.F.v² (trang 52)
f f0 khi v ≤ 22 m/s f V. 2 0 f 0 f , khi v > 22 m/s 1500 Với 𝑓0 = 0,015 - Lập bảng tính Pc V(m/s) 0 5,0 10,0 15,0 20,19 25,36 30,24 35,61 40,32 45,1 50 Pc 0
380,64 435,51 526,03 656,70 821,66 1023,1 1266,8 1548,7 1835,3 2144,4 lOMoAR cPSD| 59735610
Tính toán sức kéo ô tô 12 12000.0 10000.0 Pk1 8000.0 Pk2 Pk3 6000.0 Pk4 4000.0 Pk5 Pk6 2000.0 lực cản 0.0 0.0 10.0 20.0 30.0 40.0 50.0 60.0 70.0
Đồ thị cân bằng lực kéo
2.3.2.Phương trình cân bằng công suất và đồ thị cân bằng công suất của ôtô –
Phương trình cân bằng công suất tại bánh xe chủ động: Nk = Nf + Ni + Nj + NW (tr 57) –
Công suất truyền đến các bánh xe chủ động khi kéo ở tay số thứ I được xác định theo công thức: Nki = Ne.ŋ𝑡𝑙 (tr 57)
Lập bảng và tính toán các giá trị Nki và vi tương ứng: Ne(kW) Nk(kW) V1 V2 V3 V4 V5 45,3 40,7 3,9 5,4 7,6 10,7 10,7 54,2 48,8 4,6 6,4 9,0 12,6 12,6 68,8 61,9 5,7 8,0 11,2 15,8 15,8 82,7 74,4 6,8 9,6 13,5 18,9 18,9 95,4 85,9 8,0 11,2 15,7 22,1 22,1 106,5 95,8 9,3 12,8 17,9 25,2 25,2 115,4 103,8 10,2 14,4 20,2 28,4 28,4 124,7 112,7 12,9 18,1 25,4 35,6 35,6
Bảng. Cân bằng công suất của ô tô –
Xét ôtô chuyển động trên đường bằng: ∑ 𝑁𝑐 = Nf + Nw lOMoAR cPSD| 59735610
Nguyễn Ngọc Hiệp 13
∑𝑁𝑐 = G.f.v +K.F.v3 (CT 1-61,tr 57) –
Lập bảng tính ∑𝑁𝑐: V(m/s) 0 6,1 12,5 18,8 26,03 32,76 37,8 43,3 50 Nc(kw) 0
2,3066 5,7609 11,8852 21,8830 36,6366 52,1521 73,0303 104,3379 120.0 Nk1 100.0 Nk2 80.0 Nk3 60.0 Nk4 40.0 Nk5 20.0 0.0 Nc 0.0 10.0 20.0 30.0 40.0 50.0 60.0 70.0
Đồ thị cân bằng công suất của ôtô
2.3.3. Đồ thị nhân tố động lực học. -
Nhân tố động lực học là tỷ số giữa hiệu số của lực kéo tiếp tuyến Pk và lực cản không
khí Pw với trọng lượng toàn bộ của ôtô. Tỷ số này được ký hiệu là “D” 𝐺 D = = f + i + -Xây dựng đồ thị: Di -KFv²) (CT 1-57,tr55) -
Đồ thị nhân tố động lực học thể hiện mối quan hệ giữa D với tốc độ chuyển động v
của ôtô khi đủ tải và động cơ làm việc ở đường đặc tính tốc độ ngoài, D = f(v) -
Lập bảng thể hiện mối quan hệ giữa D và v ở từng tay số: Tay số 1 Tay số 2 Tay số 3 Tay số 4 Tay số 5 V1 D1 V2 D2 V3 D3 V4 D4 V5 D5 3,9 0,4353 5,4 0,3096 7,6 0,2197 10,7 0,1549 15 0,1073 6,1 0,4487 8,3 0,3186 12,1 0,2250 17 0,1564 23 0,1044 lOMoAR cPSD| 59735610
Tính toán sức kéo ô tô 14 9,1 0,4353 11,2 0,3142 17,1 0,2167 23,9 0,1466 32,7 0,0910 12,1 0,3779 14,7 0,2906 21,1 0,1988 29,6 0,1298 41,6 0,0692 12,9 0,3565 18,1 0,2495 25,4 0,169 35,6 0,1033 50 0,04
- Lực cản 𝑓 = 𝑓0 . ( 1 + ) -Dựa vào kết
- Lập bảng thể hiện mối quan hệ giữa 𝑓 và v quả bảng tính, dựng
đồ thị nhân tố động v 0 10 20,19 30,24 40,32 50 lực học của ôtô: 𝑓 0
0,015914 0,018898 0,023769 0,030755 0,04 0.5 D1 0.4 D2 0.3 D3 0.2 D4 D5 0.1 0 f_1 0.0 10.0 20.0 30.0 40.0 50.0 60.0 70.0
Đồ thị nhân tố động lực học ôtô
2.3.4. Xác định khả năng tăng tốc của ôtô – xây dựng đồ thị gia tốc -
Biểu thức tính gia tốc : J = .g (CT 1-64,tr59) -
Khi ôtô chuyển động trên đường bằng (i = 0) thì: Ji .g (CT 1-65,tr59)
Trong đó: + Di – giá trị nhân tố động lực học ở tay số thứ i tương ứng với tốc độ vi
đã biết từ đồ thị D = f(v);
+ f, i – hệ số cản lăn và độ dốc của đường;
+ ji – gia tốc của ôtô ở tay số thứ i.
+ δj là hệ số kể đến ảnh hưởng của các khối lượng chuyển động quay δj = 1,04+0,05.ihi² ta có: lOMoAR cPSD| 59735610
Nguyễn Ngọc Hiệp 15 Tay số 1 2 3 4 5 δj 1,795 1,423 1,234 1,386 1,09
Bảng . Hệ số kể đến ảnh hưởng của các khối lượng chuyển động quay
Khi ô tô chuyển động với vận tốc v<22 m/s thì f=f0
Khi ô tô chuyển động với vận tốc v>22 m/s thì f=f -
Lập bảng tính toán các giá trị ji theo vi ứng với từng tay số: Tay số 1 Tay số 2 Tay số 3 Tay số 4 Tay số 5 V1 J1 V2 J2 V3 J3 V4 J4 V5 J5 3,9 2,296 5,4 2,030 7,6 1,627 10,7 1,025 15 0,8331 6,1 2,371 8,3 2,092 12,1 1,669 17 1,218 23 0,580 9,1 2,282 11,2 2,062 17,1 1,603 23,9 0,918 32,7 0,459 12,1 1,983 14,7 1,900 21,1 1,460 29,6 0,773 41,6 0,262 12,9 1,866 18,1 1,616 25,4 1,025 35,6 0,545 50 0 -
Từ kết quả bảng tính, xây dựng đồ thị j = f(v): 3 2.5 J1 J2 2 J3 1.5 J4 1 J5 0.5 0 Series7 0.0 10.0 20.0 30.0 40.0 50.0 60.0 70.0 -0.5
Đồ thị gia tốc ô tô
2.3.5 .Xây dựng đồ thị thời gian tăng tốc – quãng đường tăng tốc
a. Thời gian tăng tốc
Dựa vào hình dáng của đồ thị gia tốc ngược ta có thời điểm chuyển từ số thấp sang số
cao là tại Vmax của từng tay số. dv 1 lOMoAR cPSD| 59735610
Tính toán sức kéo ô tô 16
j dt .dv dt j v 2 1 tv
v1 2 j.dv v1
Tính gần đúng theo công thức: 1 1
j j . vj vi
tvi vj i j 2 v 2 t V 1 1 i
1 1j.dv t j
2 j in ji( n1) (s) v
b. Quãng đường tăng tốc dS = v.dt → Từ đồ thị t = f(v)
Ta có : Si = – với phần diện tích giới hạn bởi các đường t = f(v) ; t
= t1 ; t = t2 và trục tung đồ thị thời gian tăng tốc.
Quãng đường tăng tốc từ vmin ÷ vmax:
vj vi .tvi v S j 2
+ Lập bảng tính giá trị thời gian tăng tốc – quãng đường tăng tốc của ôtô
- Có xét đến sự mất mát tốc độ và thời gian khi chuyển số.
+ Sự mất mát về tốc độ khi chuyển số sẽ phụ thuộc vào trình độ người lái, kết
cấu của hộp số và loại động cơ đặt trên ôtô.
+ Động cơ xăng, người lái có trình độ cao, thời gian chuyển số từ 0,5s đến 2s lOMoAR cPSD| 59735610
Nguyễn Ngọc Hiệp 17
(Với người lái có trình độ kém thì thời gian chuyển số có thể cao hơn từ 25 ÷
40%), lấy t=1s
- Tính toán sự mất mát tốc độ trong thời gian chuyển số (giả thiết: người lái xe có
trình độ thấp và thời gian chuyển số giữa các tay số là khác nhau): (m/s)
Trong đó: + f – hệ số cản lăn của đường
+ g – gia tốc trọng trường (g = 9,81 [m/s2])
+ ∆t – thời gian chuyển số [s]
+ δj = 0,04 + 0,05. (𝑖ℎ𝑖)2
Từ công thức trên ta có bảng sau: Số 1 – Số 2 Số 2 – Số 3 Số 3 – Số 4 Số 4 – Số 5 Thời điểm chuyển số Δv(m/s) 0,176071 0,220552 0,322794 0,504173
Độ giảm vận tốc khi sang số - Lập bảng: V (m/s) 1/j t (s) S (m) 3,9 0,4354 0 0 11,7 0,4881 3,5018 27,7814 18,63 0,6424 9,4446 121,6652 28,84 1,3502 18,9878 382,6587 41,1 3,6429 46,7937 1364,144 48,7 21,3021 104,2659 4003,894
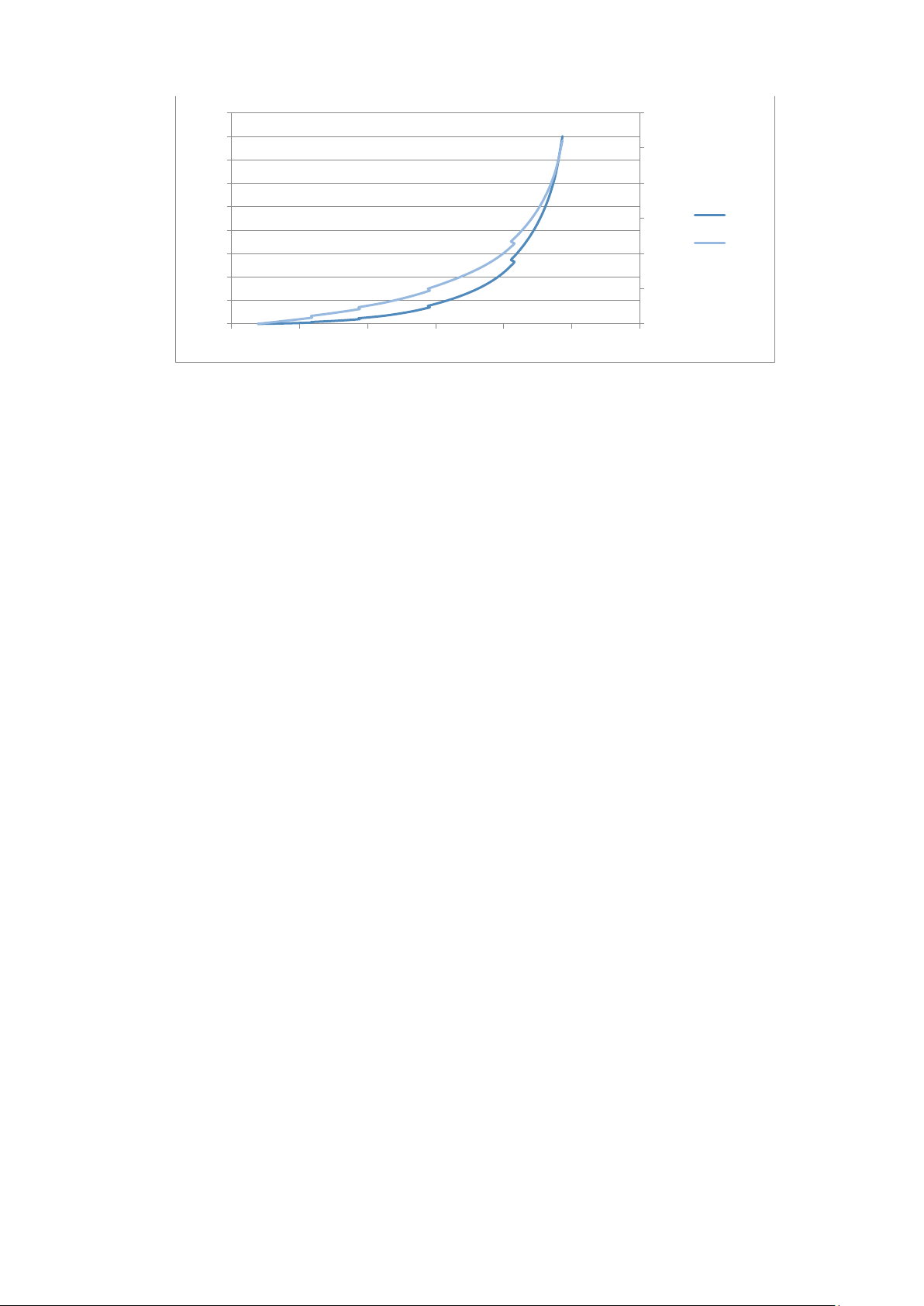
+ Vẽ đồ thị thời gian tăng tốc và quãng đường tăng tốc. lOMoAR cPSD| 59735610
Tính toán sức kéo ô tô 18 4500 120 4000 100 3500 3000 80 2500 60 t (s) 2000 s (m) 1500 40 1000 20 500 0 0 0.0 10.0 20.0 30.0 40.0 50.0 60.0
Đồ thị thời gian và quãng đường tăng tốc KẾT LUẬN
Việc tính toán động lực học kéo của ô tô chỉ có ý nghĩa về mặt lý thuyết do tính tương
đối của phép tính và sự lựa chọn các hệ số trong quá trình tính toán không chính xác so với
thực tế. Trong thực tế, việc đánh giá chất lượng kéo của ôtô được thực hiện trên đường hoặc
trên bệ thử chuyên dùng.