



















Preview text:
lOMoAR cPSD| 59735610
TRƯỜNG ĐẠI HỌC GIAO THÔNG VẬN TẢI KHOA CƠ KHÍ
BỘ MÔN CƠ KHÍ Ô TÔ
------ ------ BÀI TẬP LỚN LÝ THUYẾT Ô TÔ
Tên đề tài: Tính toán sức kéo ô tô Loại ô tô: Xe con
Tải trọng/Số chỗ ngồi: 5
Vận tốc chuyển động cực đại: 170 Km/h
Hệ số cản tổng cộng của đường lớn nhất: max = 0,4 Xe tham
khảo: Toyota vios 1.5G AT 2008
Sinh viên: Nguyễn Hải Bằng
Lớp : Kĩ thuật ô tô 1 Hệ : Chính quy Khóa: 62
Người hướng dẫn: GV. Tạ Thị Thanh Huyền Hà Nội 2024 lOMoAR cPSD| 59735610 Mục lục Mở đầu
Chương 1. Thiết kế tuyến hình 1.1
Kích thước cơ bản của ô tô thiết kế 1.2 Bố trí chung ô tô
(bố trí động cơ, hệ thống truyền lực, vị trí ghế ngồi, thùng hàng ...) 1.3
Trọng lượng và phân bố trọng lượng ô tô thiết kế
Chương 2. Tính toán sức kéo ô tô
2.1 Tính toán thông số động cơ và dây dựng đường đặc tính ngoài
2.2 Tính toán thông số động hệ thống truyền lực
2.3 Tính toán và xây dựng đồ thị
(cân bằng công suất, lực kéo, nhân tố động lực học, gia tốc, thời gian và quãng đường tăng tốc)
2.4 Các chỉ tiêu đánh giá chất lượng kéo:
(imax, jmax, t, s, t100km/h, khả năng kéo mooc) Kết luận Lời Nói Đầu
Lý thuyết ôtô là một trong những môn cơ sở then chốt của chuyên ngành
cơ khí ôtô có liên quan đến các tính chất khai thác để đảm bảo tính an toàn, ổn
định và hiệu quả trong quá trình sử dụng. Các tính chất bao gồm: động lực học
kéo, tính kinh tế nhiên liệu, động lực học phanh, tính ổn định , cơ động, êm dịu…
Bài Tập lớn môn học Lý thuyết ôtô là một phần của môn học, với việc vận
dụng những kiến thức đã học về các chỉ tiêu đánh giá khả năng kéo của ôtô để
vận dụng để tính toán sức kéo và động lực học kéo, xác định các thong số cơ bản 2 lOMoAR cPSD| 59735610
của động cơ hay hệ thống truyền lực của một loại ôtô cụ thể. Qua đó, biết được
một số thống số kỹ thuật, trạng thái, tính năng cũng như khả năng làm việc vủa
ôtô khi kéo, từ đó hiểu được nội dung, ý nghĩa của bài tập và góp phần vào việc
củng cố nâng cao kiến thức phục vụ cho các môn học tiếp theo và bổ sung thêm
vào vốn kiến thức phục vụ cho công việc sau này.
Nội dung bài tập lớn được hoàn thành dưới sự hướng dẫn của cô
Tạ Thị Thanh Huyền. Bộ môn cơ khí ôtô – Đại học Giao Thông Vận Tải.
Sinh viên thực hiện
Nguyễn Hải Bằng
CHƯƠNG 1: THIẾT KẾ TUYẾN HÌNH ÔTÔ
1.1.Xác định các kích thước cơ bản của xe. 3 lOMoAR cPSD| 59735610
Hình 1: 3 hình chiếu của xe Toyota vios 1.5G MT 2008 STT Thông số Kí hiệu Kích thước Đơn vị 1 Chiều dài toàn bộ L0 4300 mm 2 Chiều rộng toàn bộ B0 1700 mm 3 Chiều cao toàn bộ H0 1460 mm 4 Chiều dài cơ sở L 2550 mm 5 Vết bánh trước B1 1480 mm 6 Vết bánh sau B2 1470 mm 7 Khoảng sáng gầm xe H1 150 mm 8 Vận tốc tối đa V max 170 km/h
Bảng 1: Các kích thước cơ bản
1.2.Các thông số thiết kế, thông số chọn và tính chọn:
a) Thông số theo thiết kế phác thảo:
-Loại động cơ: động cơ xăng, 4 xy lanh thẳng hàng -Số chỗ: 5 -nN: 4800 vòng/ phút
-Mômen xoắn tối đa: Mmax= 144 (N.m)
-Vận tốc lớn nhất: V max=170 (km/h)= 47,22 (m/s)
-Hệ thống truyền lực: Động cơ đặt trước, cầu trước chủ động, hộp số tự động, 5 cấp số b) Thông số chọn:
– Trọng lượng bản thân: 1055 kg 4 lOMoAR cPSD| 59735610
– Trọng lượng hành khách: 65 kg/người
– Trọng lượng hành lí: 20 kg/người
– Hiệu suất truyền lực: ƞtl= 0,9
– Hệ số cản không khí: K= 0,2
– Hệ số cản lăn khi V 22 m là: f0= 0,015 c) Thông số tính chọn :
-Hệ số cản mặt đường tương ứng với V max f =f0×(1+ V 2max ) 1500 f = 0,015׿) = 0,037 -Bán kính bánh xe :
185:Bềrộngcủalốp(mm)
có kí hiệu: 185/65R15 =>65:tỷlệ HB
15:Đườngkínhtrongcủalốp(inch) H
= 65% =>H = 185×65 %=120,25(mm) B
→ Bán kính thiết kế của bánh xe: r0 = 120,25+
×25,4=¿310,75 (mm) = 0,31075 (m)
→ Bán kính động học và bán kính động lực học của xe: rb=rk=λ×r0 với λ: Hệ số kể
đến biến dạng lốp áp suất thấp (λ = 0,93÷0,935) 5 lOMoAR cPSD| 59735610
Chọn lốp có áp suất cao λ = 0,935
→rb=rk=0,935×0,31075 = 0,29 (m)
-Diện tích cản chính diện:
F = 0,78×B0 ×H0 =0,78×1,7×1,46= 1,936 (m2) -Công thức bánh xe: 4x2
1.3.Xác định trọng lượng và phân bố trọng lượng lên ô tô. -Xe Toyota vios 1.5G MT 2008:
+ Tự trọng (trọng lượng bản thân): G0 = 1055 (kG)
+ Tải trọng (hàng hoá, hành lý, ...): Gh = 20 (kG) →Trọng lượng: -tự trọng G = G 0 + n . ( A + n - s ố ng ư ờ i G (n=5) h) A-khối lượng người Gh-khối lượng hành lý
→G=¿1055 + 5.(65+20) = 1480 (kG)
-Vậy trọng lượng toàn bộ của xe: G = 1480 (kG) ≈ 14519 (N)
-Phân bố trọng lượng: xe con tải trọng tác dụng lên cầu trước ( 6 lOMoAR cPSD| 59735610
G1) chiếm từ 55%÷65% Chọn G1=60%G
→G1=55%×1480=814 (kG )≈ 7985 (N)
→G2= 45%× 1480 = 666 (kG) ≈ 6534 (N)
-Vậy G1=¿ 7985 (N), G2= 6534 (N)
CHƯƠNG 2: TÍNH TOÁN SỨC KÉO
2.1 Xây dựng đường đặc tính tốc độ ngoài của động cơ
Các đường đặc tính tốc độ ngoài của động cơ là những đường cong biểu diễn sự
phụ thuộc của các đại lượng công suất, mômen và suất tiêu hao nhiên liệu của
động cơ theo số vòng quay của trục khuỷu động cơ. Các đường đặc tính này gồm:
+ Đường công suất: Ne=f (n¿¿ e)¿
+ Đường mômen xoắn : Me=f ¿¿)
+ Đường suất tiêu hao nhiên liệu của động cơ : ge=f (n¿¿ e)¿ ne ne 2 ne 3 7 lOMoAR cPSD| 59735610 - [ N ) ) ]
e=(Ne)max
a nN +b(nN −c( nN (CT 1-3 GT ) (1) ne
Đặt λ = nN với động cơ xăng không hạn chế tốc độ có (λ = 1,1 ÷ 1,2).
Chọn λ = 1,1 (đối với động cơ xăng) Nev N
→(Ne)max= 2 3= ev2 ne ne ne
a λ+b λ −c λ3 a +b( ) N −c( ) nNn nN
+ Động cơ xăng : a = b = c =1 ( a, b, c là các hệ số thực nghiệm)
+V max = 170 (km/h)¿ 47,22 (m/s)
Công suất cần thiết của động cơ là: 1 Nev=ƞtl ¿ (2)
• G = 1480 (kG) = 14518,8 (N)
• vmax=¿ 47,22 (m/s) > 22 (m/s).
• K – hệ số cản khí động học ( chọn K = 0,2)
• F: diện tích cản chính diện = 1,936
• Hiệu suất truyền lực: ƞtl= 0,9
• Hệ số cản tổng cộng của đường: ψmax = 0,4 1 3
→N ev= [14519×0,037×47,22+0,2×1,94×47,22 ] ¿ 73718,18 (W) 0,9
→ (Ne)max= 75299,5 (W) 8 lOMoAR cPSD| 59735610
Xây dựng đường đặc tính tốc độ ngoài:
+ Tính công suất của động cơ ở số vòng quay khác nhau: (sử dụng công thức ledeman)
(1) → Ne = (Ne)max×(a λ+b λ2−c λ3) (kW) Trong đó :
- (Ne)max và nN – công suất cực đại của động cơ và số vòng quay tương ứng
- Ne và ne : công suất và số vòng quay ở 1 thời điểm trên đường đặc tính
+ Tính mômen xoắn của trục khuỷu động cơ ứng với số vòng quay ne khác nhau: + Lập bảng: - Các thông số
; Ne; Me đã có công thức tính - Kết quả tính được ghi ở bảng: ωe 150 200 250 300 350 400 450 500 550 600 Me 181, 185, 187, 181, 181, 174, 163, 150, 134, 115. 3 8 4 6 5 2 9 6 3 1 Ne 27,2 37,2 46,8 55,8 63,5 69,7 73,7 75,3 73,9 69,1
Bảng 1:Bảng thể hiện mômen và công suất động cơ
Sau khi tính toán và xử lí số liệu ta xây dựng được đường đặc tính ngoài với
Công suất Ne (kW) và Mômen xoắn Me( N .m): 9 lOMoAR cPSD| 59735610
Đường đặc tính ngoài của động cơ 100 200 300 400 500 600 700 200 80 180 70 160 60 140 Me 120 50 Ne 100 40 80 30 60 20 40 20 10 0 0 0 100 200 300 400 500 600 700
Hình 2.1 Đồ thị đường đặc tính ngoài của động cơ
2.2 Tính toán thông số truyền của hệ thống truyền lực
- Tỉ số truyền của hệ thống truyền lực : itl = i0 . ih . ic . ip
Trong đó : + itl – tỷ số truyền của HTTL
+ i0 – tỷ số truyền của truyền lực chính
+ ih – tỷ số truyền của hộp số +
ic – tỷ số truyền của truyền lực cuối cùng
+ ip – tỷ số truyền của hộp số phụ
- Thông thường, chọn ic = 1; ip = 1
2.2.1. Tỷ số truyền của truyền lực chính.
- Được xác định theo điều kiện đảm bảo ôtô chuyển động với vận tốc lớn
nhất ở tay số cao nhất của hộp số. - Ta có:
rbx .neV i0 = 0,105. i hc .ipc .vmax (CT3-8,tr104) Trong đó: + rbx = 0,292 (m)
+ ne max – số vòng quay của động cơ khi ôtô đạt tốc độ lớn nhất
+ vmax = 170 (km/h) – tốc độ lớn nhất của ôtô
+ ihc = 1 – tỷ số truyền của tay số cao nhất trong hộp số
+ ipc = 1– tỷ số truyền của hộp phân phối chính 10 lOMoAR cPSD| 59735610
i0 = 0,105.0,291.21.4.48700,22.1,1 = 3,4
2.2.2. Tỷ số truyền của hộp số.
a. Tỷ số truyền của tay số 1.
– Tỷ số truyền của tay số 1 được xác định trên cơ sở đẩm bảo khắc
phục được lực cản lớn nhất của mặt đường mà bánh xe chủ động
không bị trượt quay trong mọi điều kiện chuyển động.
– Khi ôtô chuyển động ở tay số 1 thì vận tốc nhỏ nên có thể bỏ qua lực cản không khí PW
Memax .ih1.i0.ηtl – Vậy : Pk max = rbx
=G.Ψmax ≤ Pφ=Z2.φ
Memax .i0.ih1.ƞtl ¿ Ψmax.G rk G.ψmax .rbx ih1 ¿
Memax .ƞtl.i0 (Me max = 187,3 N.m ) (CT 3- 9,tr106)
ih1 ¿ 14187519,3..03,4,4.0.0,,299 = 2,94 (3)
- Mặt khác, Pk max còn bị giới hạn bởi điều kiện bám giữa bánh xe với mặt đường:
Pk max ≤ Pφ = mk.Gφ.φ
Me.i0.ih1.ƞtl ≤ mk.Gφ.φ rbx mk.Gφ.φ.rbx ih1 ≤ Memax .i0.ƞtl
Trong đó: + mk – hệ số lại tải trọng (mk =1) 11 lOMoAR cPSD| 59735610
+ Gφ – tải trọng tác dụng lên cầu chủ động
+ φ – hệ số bám của mặt đường (chọn φ = 0,8 : đường tốt)
+ rk – bán kính động học của xe ih (thỏa mãn) (4)
b. Tỷ số truyền của các tay số trung gian.
- Chọn hệ thống tỷ số truyền của các cấp số trong hộp số theo ‘cấp số nhân’
- Công bội được xác định theo biểu thức: q = n 1 (CT 3-14,tr108) hn
Trong đó: + n – số cấp trong hộp số (n = 5)
+ ih1 – tỷ sô truyền của tay số 1 (ih1 = 2,94)
+ ihn - tỷ số truyền của tay số cuối cùng trong hộp số (ih5 = 1) q = = 1,31
- Tỷ số truyền của tay số thứ i trong hộp số được xác định theo công thức sau:
ih(i−1) ih1 ihi = = i−1 q q
Trong đó: ihi – tỷ số truyền của tay số thứ i trong hộp số (i = 1; 2; …; n-1) i
+ Tỷ số truyền của tay số 2: h2 =
2h−11 = 21,,9341 = 2,25 q i
+ Tỷ số truyền của tay số 3: ih3 =
3h−11 = 12,,39412 = 1,72 q i
+ Tỷ số truyền của tay số 4: ih4 =
4h−11 = 12,,39413 = 1,31 q
+ Tỷ số truyền của tay số 5: ih5 = 1,00 12 lOMoAR cPSD| 59735610
- Tỷ số truyền của tay số lùi:
ihl = 1,2 . ih1 = 1,2 . 2,94 = 3,53 (5)
- Từ hai công thức trên, ta xác định được tỷ số truyền ở các tay số: i
- Kiểm tra tỷ số truyền của tay số lùi theo điều kiện bám:
Plùik ≤ Pφ = mk.Gφ.φ Me.i0.ihl.ƞtl
rbx ≤ mk.Gφ.φ mk.Gφ.φ.rbx ihl ≤ Memax .i0 .ƞtl ihl (thỏa mãn) (6)
c. Tỷ số truyền của các tay số.
Tỷ số truyền tương ứng với từng tay số được thể hiện ở bảng sau: Tay số 1 2 3 4 5 Lùi Tỷ số 2,94 2,25 1,72 1,31 1 3,53 truyền
Bảng 2 : Tỷ số truyền tương ứng với từng tay số
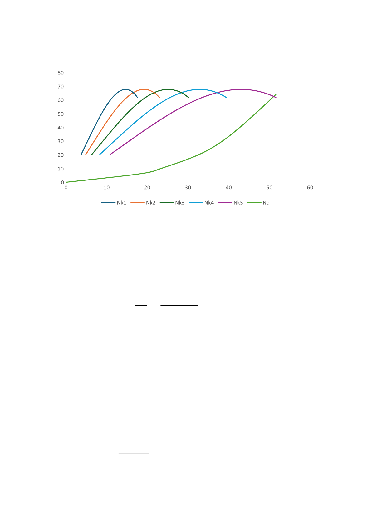
2.3. Tính toán và xây dựng đồ thị.
2.3.1.Phương trình cân bằng công suất và đồ thị cân bằng công suất của ôtô –
Phương trình cân bằng công suất tại bánh xe chủ động: Nk = Nf + Ni + Nj + NW (tr 57) 13 lOMoAR cPSD| 59735610 –
Công suất truyền đến các bánh xe chủ động khi kéo ở tay số thứ I được
xác định theo công thức: rk.ne N ( ) ki = Ne.ŋtl vớivi=0,105.
i0.ihi.ipc . (tr 57) –
Lập bảng và tính toán các giá trị Nki và vi tương ứng: ωe N V k(kW (rad/s) 1 V2 V3 V4 V5 ) 150 3,35 5,71 7,47 9,79 12,81 24,47 200 5,81 7,60 9,96 13,05 17,09 33,44 250 7,26 9,51 12,45 16,31 21,36 42,15 300 8,71 11,04 14,92 19,57 25,63 50,02 350 10,16 13,31 17,43 22,83 29,91 57,18 400 11,61 15,21 19,92 26,09 34,18 62,71 450 13,06 17,11 22,41 29,35 38,45 66,37 500 14,52 19,01 24,90 32,61 42,72 67,76 550 15,97 20,91 27,39 35,88 46,99 66,49 600 17,42 22,82 29,89 39,14 41,30 62,15
Bảng 3. Công suất của ô tô
Trên đồ thị Nk = f(v), dựng đồ thị ∑ N c theo bảng trên: –
Xét ôtô chuyển động trên đường bằng: ∑ N c = Nf + Nw
∑ N c = G.f.v +K.F.v3 (CT 1-61,tr 57) –
Lập bảng tính ∑ N c V(m/s) 0.00 17.50 22.93 30.03 39.33 51.52 Nc(kW ) 0 5.89 9.66 17.02 32.12 64.15
Bảng 4. Công cản của ô tô ứng với mỗi tay số 14 lOMoAR cPSD| 59735610
Đồ thị cân bằng công suất
Hình 2.2. Đồ thị cân bằng công suất của ôtô
2.3.2: Phương trình cân bằng lực kéo và đồ thị cân bằng lực kéo của ôtô.
- Phương trình cân bằng lực kéo của ôtô:
Pk = Pf + Pi + Pj + Pw (CT 1-46,tr49)
Trong đó: + Pk – lực kéo tiếp tuyến ở bánh xe chủ động Mki Me.i0 .ihi.ƞtl Pki = rđ = rđ (CT 1-52,tr52) (a)
+ Pf – lực cản lăn Pf = G.f.cosα = G.f (do α = 0) + Pi – lực cản lên
dốc Pi = G.sinα= 0 (do α = 0)
+ Pj – lực quán tính (xuất hiện khi xe chuyển động không ổn định)
Pj = Gg .δ j.j
+ Pw – lực cản không khí Pw = K.F.v2
- Vận tốc ứng với mỗi tay số 2π .ne .rbx V = i 60.i0.ihi (b)
Lập bảng tính Pk theo công thức (a),(b) với từng tỉ số truyền 15 lOMoAR cPSD| 59735610 ωe V1 Pk1 V2 Pk2 V3 Pk3 V4 Pk4 V5 Pk5 15 3,35 5619 5,71 4290 7,47 3275 9,79 2500 12,8 1909 0 ,1 ,1 ,4 ,7 1 ,2 20 5,81 5759 7,60 4397 9,96 3357 13,0 2563 17,0 1956 0 ,4 ,2 ,2 5 ,1 9 ,9 25 7,26 5807 9,51 4433 12,4 3385 16,3 2584 21,3 1973 0 ,6 ,9 5 ,3 1 ,6 6 ,3 30 8,71 5763 11,0 4400 14,9 3359 19,5 2565 25,6 1958 0 ,8 4 ,5 2 ,7 7 ,1 3 ,4 35 10,1 5627 13,3 4266 17,4 3280 22,8 2504 29,9 1912 0 6 ,9 1 ,8 3 ,5 3 ,6 1 ,2 40 11,6 5400 15,2 4122 19,9 3147 26,0 2403 34,1 1834 0 1 .0 1 ,8 2 ,7 9 ,2 8 ,8 45 13,0 5080 17,1 3878 22,4 2961 29,3 2260 38,4 1726 0 6 ,1 1 ,6 1 ,2 5 ,8 5 ,1 50 14,5 4668 19,0 3564 24,9 2721 32,6 2077 42,7 1586 0 2 ,2 1 ,1 0 ,1 1 ,5 2 ,1 55 15,9 4164 20,9 3179 27,3 2427 35,8 1853 46,9 1414 0 7 ,2 1 ,3 9 ,3 8 ,2 9 ,9 60 17,4 3568 22,8 2724 29,8 2079 39,1 1587 41,3 1212 0 2 ,2 2 ,2 9 ,9 4 ,9 0 ,3
Bảng 5.Giá trị lực kéo ứng với mỗi tay số
+) Phương trình cân bằng lực cản Pc. Pc= Pf + Pw
Xét ô tô chuyển động trên đường bằng và không có gió f P f0 c = f.G + K.F.v² (trang 52) khi v≤ 22 m/s f V0. 2 f f0
1500 , khi v > 22 m/s Với f0
0,0150,02 ta chọn f0=0,015
- Lập bảng tính Pc, Pφ: 16 lOMoAR cPSD| 59735610 Tay số số 1 số 2 số 3 số 4 số 5 Vận tốc 22.9 3 m/s 0 17.50 30.03 39.33 51.51 421. 3 Pc 101.6 336.4 566.9 816.8 1245.3 7665, 6 7665 7665, 6 Pbam 7665,6 ,6 7665,6 7665,6
Bảng 6. Giá trị lực cản ứng với mỗi tay số
Tổng lực kéo của ôtô phải nhỏ hơn lực bám giữa bánh xe và mặt đường: Pφ = Zφ.mk2.φ Trong đó:
+ mk2 – hệ số phân bố lại tải trọng ( cầu trước chủ động Chọn mk2 = 1)
+ Gφ – tải trọng tác dụng lên cầu chủ động (= 871,1 kg)
+ φ – hệ số bám của mặt đường (chọn φ = 0,8)
Pφ = z2.mk2.φ =7985,4.1.0,8= 6388,32 (N) Dựng đồ thị Pk =f(v) và Pφ=f(v):
Hình 2.3. Đồ thị cân bằng lực kéo - Nhận xét:
Trục tung biểu diễn Pk , Pf , Pw . Trục hoành biểu diễn v (m/s) 17 lOMoAR cPSD| 59735610
Dạng đồ thị lực kéo của ôtô Pki = f(v) tương tự dạng đường cong Me =
f(ne) của đường đặc tính tốc độ ngoài của động cơ. Khoảng giới hạn giữa
các đường cong kéo Pki và đường cong tổng lực cản là lực kéo dư (Pkd) dùng
để tăng tốc hoặc leo dốc.
Tổng lực kéo của ôtô phải nhỏ hơn lực bám giữa bánh xe và mặt đường.
Khi đạt Vmax, lực cản (Pc) cân bằng với lực kéo tại tay số cuối cùng (Pk6)
nếu tiếp tục tăng ga, ô tô không thể đạt tốc độ lớn hơn Vmax
2.3.3.Đồ thị nhân tố động lực học -
Nhân tố động lực học là tỷ số giữa hiệu số của lực kéo tiếp tuyến Pk và
lực cản không khí Pw với trọng lượng toàn bộ của ôtô. Tỷ số này được ký hiệu là “D”
D = Pk−GPw = Pi+PGj+Pf = G. ( f+i)G+Gg . j.δ j = f + i + gj .δ j (CT 1-56,tr55) -Xây dựng đồ thị D 1 Me . i0.ihi i = G ( r bx
.ŋtl-KFv²) (CT 1-57,tr55) 2π .ne.rbx vi = 60.i0.ihi -
Đồ thị nhân tố động lực học thể hiện mối quan hệ giữa D với tốc độ
chuyển động v của ôtô khi đủ tải và động cơ làm việc ở đường đặc tính tốc độ ngoài, D = f(v) -
Lập bảng thể hiện mối quan hệ giữa D và v ở từng tay số: ωe V1 V1 D1 V2 D2 V3 D3 V4 D4 V5 D5 3,35 3,35 0,38 5,71 0,29 7,47 0,224 9,79 0,169 12,8 0,12 150 65 46 1 6 1 71 18 lOMoAR cPSD| 59735610 5,81 5,81 0,39 7,60 0,30 9,96 0,228 13,0 0,172 17,0 0,12 200 57 13 5 5 0 9 69 7,26 7,26 0,39 9,51 0,30 12,4 0,229 16,3 0,170 21,3 0,12 250 85 29 5 0 1 9 6 37 8,71 8,71 0,39 11,0 0,29 14,9 0,225 19,5 0,166 25,6 0,11 300 46 4 96 2 4 7 5 3 74 10,1 10,1 6 0,38 13,3 0,29 17,4 0,217 22,8 0,158 29,9 0,10 350 6 48 1 12 3 8 3 6 1 78 11,6 11,6 1 0,36 15,2 0,27 19,9 0,206 26,0 0,147 34,1 0,09 400 1 83 1 77 2 1 9 3 8 52 13,0 13,0 6 0,34 17,1 0,25 22,4 0,190 29,3 0,132 38,4 0,07 450 6 53 1 93 1 6 5 7 5 94 14,5 14,5 2 0,31 19,0 0,23 24,9 0,170 32,6 0,114 42,7 0,06 500 2 59 1 58 0 8 1 7 2 05 15,9 15,9 7 0,28 20,9 0,20 27,3 0,147 35,8 0,093 46,9 0,03 550 7 01 1 73 9 1 8 3 9 85 17,4 17,4 2 0,23 22,8 0,17 29,8 0,119 39,1 0,068 41,3 0,00 600 2 76 2 37 9 4 4 5 0 13
Bảng 7:Nhân tố động lực học
Nhân tố động học theo điều kiện bám được xác định như sau :
P P m G KFV wk. . . . 2 D G G (CT 1-58, tr 56) V(m/s) 0.00 17.50 22.93 30.03 39.33 51.52 Dφ 0.48 0.47 0.47 0.46 0.44 0.41 f 0.007 0.007 0.0095 0.0112 0.0142 0.0194
Bảng 8. Nhân tố động lực học theo điều kiện bám
Dựa vào kết quả bảng tính, dựng đồ thị nhân tố động lực học của ôtô 19 lOMoAR cPSD| 59735610 0.45 0.4 0.35 0.3 0.25 0.2 0.15 0.1 0.05
Bảng đồ thị nhân tố động học
Hình 2.4. Đồ thị nhân tố động lực học ôtô - Nhận xét:
Dạng của dồ thị nhân tố động lực học D = f(v) tương tự như dạng đồ thị
lực kéo Pk = f(v); nhưng ở những vân tốc lớn thì đường cong dốc hơn.
Khi chuyển động ở vùng tốc độ v > vth i (tốc độ vth i ứng với Di max ở từng
tay số) thì ôtô chuyển động ổn định, vì trong trường hợp này thì sức cản
chuyển động tăng, tốc độ ôtô giảm và nhân tố động lực học D tăng. Ngược lại,
vùng tốc độ v < vth i là vùng làm việc không ổn định ở từng tay số của ôtô.
Giá trị nhân tố động lực học cực đại D1 max ở tay số thấp nhất biểu thị khả
năng khắc phục sức cản chuyển động lơn nhất của đường: D1 max = ψmax -
Vùng chuyển động không trượt của ôtô:
Cũng tương tự như lực kéo, nhân tố động lực học cũng bị giới hạn bởi
điều kiện bám của các bánh xe chủ động với mặt đường.
Nhân tố động học theo điều kiện bám Dφ được xác định như sau: Dφ =
Pφ−Pw = mk 2. φ.Gφ−K .
F.v2 (CT 1-8,tr56) G G 20