



















Preview text:
CÂU HỎI CHƯƠNG 2
Câu 1: Phân biệt cung và lượng cung? Phân tích sự thay đổi của cung và
lượng cung trong tình huống giá khẩu trang tăng khi dịch Covid-19 bùng phát?
* Phân biệt cung và lượng cung: Cung Lượng cung
- Khái niệm: Cung là số lượng HH hoặc - Khái niệm: Lượng cung là lượng
DV mà nhà sản xuất có khả năng và sẵn HH hoặc DV mà nhà sản xuất có khả
sàng cung ứng ở các mức giá khác nhau năng và sẵn sàng cung ứng tại các
trong 1 thời gian nhất định với điều kiện mức giá khác nhau trong 1 thời gian
các yếu tố khác không đổi
nhất định khi các yếu tố khác không
- Cung là tập hợp các điểm (tương ứng đổi
với các lượng cung khác nhau) hình thành - Lượng cung là 1 con số cụ thể, 1
nên đường cung (mô tả hành vi người điểm nhất định trên đường cung. bán)
* Sự thay đổi của cung và lượng cung: Giá khẩu trang tăng do
dịch Covid-19 bùng phát => cầu tăng => D dịch chuyển sang
phải từ D D1 => Lượng cung thay đổi: E (P0,Q0) F (P1,Q1) =>
P1 > P0 => giá tăng => Cung là đường S không đổi.
Câu 2: Phân biệt cầu và lượng cầu? Phân tích sự thay đổi
của cầu và lượng cầu trong tình huống giá dầu mỏ tăng do OPEC cắt giảm
* Phân biệt cầu và lượng cầu: Cầu Lượng cầu
- Khái niệm: Cầu là số lượng HH hoặc - Khái niệm: Lượng cầu là lượng HH
DV mà người tiêu dùng có khả năng và hoặc DV mà người tiêu dùng có khả
sẵn sàng mua ở các mức giá khác nhau năng và sẵn sàng mua tại các mức giá
trong 1 thời gian nhất định với điều kiện khác nhau trong 1 thời gian nhất định
các yếu tố khác không đổi
khi các yếu tố khác không đổi
- Cầu là tập hợp các điểm (tương ứng với - Lượng cầu là 1 con số cụ thể, 1 điểm
các lượng cầu khác nhau) hình thành nên nhất định trên đường cầu.
đường cầu (mô tả hành vi người mua)
* Sự thay đổi của cầu và lượng cầu: OPEC cắt giảm sản lượng dầu
=> cung giảm => S dịch chuyển sang trái từ S S1 => lượng cầu
thay đổi: E (P0,Q0) F (P1,Q1) => P1 > P0 => giá tăng => Cầu là đường D không đổi.
Câu 3: Vận dụng lý thuyết cung-cầu hãy giải thích hiện tượng giá các loại hoa tươi trong dịp 8/3 tăng.
* Cầu là số lượng HH hoặc DV mà người tiêu dùng có khả năng và sẵn sàng mua
tại các mức giá khác nhau trong 1 thời gian nhất định với điều kiện các yếu tố khác không đổi.
Các yếu tố ảnh hưởng đến cầu:
- Giá cả của HH và DV (P)
- Thu nhập của người tiêu dùng (I)
- Giá cả của các HH và DV liên quan (Py) - Sở thích và thị hiếu
- Các chính sách của chính phủ (G) - Quy mô thị trường (N)
- Kì vọng và những ảnh hưởng đặc biệt (E)
* Cung là số lượng HH hoặc DV mà nhà sản xuất có khả năng và sẵn sàng cung
ứng tại các mức giá khác nhau trong 1 thời gian nhất định với điều kiện các yếu tố khác không đổi.
Các yếu tố ảnh hưởng đến cung:
- Giá cả của HH và DV (P)
- Công nghệ sản xuất (T)
- Giá cả của các yếu tố đầu vào cho sản xuất (Pf)
- Chính sách của chính phủ (G)
- Kỳ vọng và những hoạt động đặc biệt (E)
- Giá cả các hàng hóa thay thế
* Giá các loại hoa tươi trong dịp 8/3 tăng do cầu về hoa
tăng => đường cầu dịch chuyển sang phải => D D1 =>
điểm cân bằng: E (P0,Q0) F (P1,Q1) => giá tăng P0 P1 CÂU HỎI CHƯƠNG 3
Câu 1: Phân tích sự thay đổi thặng dư trên thị trường khi Chính phủ áp đặt giá trần.
* Khái niệm: Giá trần (Pc) là mức giá tối đa cho phép của 1 HH hoặc DV trên TT.
* Mục tiêu: bảo vệ người mua, khuyến khích tiêu dùng hoặc để thực hiện mục đích khác của CP.
* 2 trường hợp áp giá trần:
- TH1: Pc≥P0: giá không ràng buộc - TH2: PcTrước Pc Sau Pc Cs 1+4 1+2 Ps 2+3+5 3 TSB 1+2+3+4+5 1+2+3 DWL 4+5
Câu 2: Với 1 hàng hóa có cung hoàn toàn không co giãn, nếu Chính phủ áp
đặt giá trần thì có dẫn đến mất không hay không?
* Giá trần (Pc) là mức giá tối đa cho phép của 1 HH hoặc DV trên thị trường.
* Hệ số co giãn của cung theo giá (E SP) là mức độ thay đổi của lượng cung về 1 HH
hoặc DV khi giá của HH hoặc DV đó thay đổi.
* Các nhân tố ảnh hưởng đến E SP:
- Khả năng linh hoạt của người bán trong việc thay đổi lượng HH mà họ sản xuất.
- Thời gian: trong dài hạn so với ngắn hạn. - Vị trí của điểm cung
* Khi 1 HH có cung hoàn toàn không co giãn E SP=0 Đường cung có hình dáng thẳng đứng.
Khi chính phủ áp giá trần PcTrước Pc Sau Pc Cs 1 1+2 Ps 2+3 3 TSB 1+2+3 1+2+3 DW 0 0 L
=> Với 1 HH có cung hoàn toàn không co giãn, nếu CP áp đặt giá trần thì không
dẫn đến mất không xã hội.
Câu 3: Thuế đánh vào sản xuất sẽ chỉ tác động đến sản xuất là đúng hay sai?
Nhân tố nào chi phối gánh nặng thuế?
* Thuế đánh vào sản xuất sẽ chỉ tác động đến sản xuất là sai, vì tác động của thuế
là làm giảm quy mô thị trường, gây ra mất không xã hội, làm cho giá người tiêu
dùng tăng lên và giá của người sản xuất nhận được giảm xuống.
Phương trình Qs sau khi đánh thuế: Qs=c0+c1(P-t)
Trước áp thuế Sau áp thuế Cs 1+2+5 1 Ps 3+4+6 4 G 2+3 TSB 1+2+3+4+5+6 1+2+3+4 DW 5+6 L
* Nhân tố chi phối gánh nặng thuế là: E D S P và EP
Câu 4: Vận dụng lý thuyết co giãn của cầu, hãy giải thích tại sao khi kinh
doanh những mặt hàng có độ co giãn lớn thì người bán không nên tăng giá?
* Hệ số co giãn của cầu (ED) là mức độ phản ứng của người tiêu dùng đối với
những thay đổi của các yếu tố cấu thành cầu.
* Hệ số co giãn của cầu theo giá (E DP) là mức độ thay đổi của lượng cầu về 1 HH
hoặc DV khi giá của HH hoặc DV đó thay đổi.
* Các nhân tố ảnh hưởng đến E DP:
- Sự sẵn có hàng hóa thay thế.
- Tỷ lệ ngân sách dành cho HH
- Sự cấp bách của nhu cầu
- Thời gian: Trong dài hạn so với ngắn hạn - Tính chất của HH: |ED| D|
P >1 : HH xa xỉ; | EP <1 : HH thiết yếu
- Vị trí của điểm cầu
* Khi kinh doanh những mặt hàng có độ co giãn lớn thì người bán
không nên tăng giá vì sẽ dẫn đến giảm doanh thu: những mặt hàng
có độ co giãn lớn là HH xa xỉ có |EDP|>1 % Q>% P lượng
tăng của P < lượng giảm của Q. Mà TR=P.Q TR giảm không
có lợi cho người bán không nên tăng giá.
Câu 5: Giá trần là gì? Tình huống nào Chính phủ sẽ can thiệp
bằng giá trần và tác động của giá trần.
* Khái niệm: Giá trần (Pc) là mức giá tối đa cho phép của 1 HH hoặc DV trên TT.
* Tình huống CP can thiệp bằng giá trần: khi muốn bảo vệ người mua, khuyến
khích tiêu dùng hoặc để thực hiện các mục đích khác của CP.
* 2 trường hợp áp giá trần:
- TH1: Pc≥P0: giá không ràng buộc - TH2: Pcxã hội. Trước Pc Sau Pc Cs 1+4 3 Ps 2+3+5 1+2 TSB 1+2+3+4+5 1+2+3 DWL 4+5
Câu 6: Phân tích tác động của Chính phủ đánh thuế vào người mua đến kết
quả hoạt động của thị trường. Yếu tố nào phân chia gánh nặng thuế?
* Thuế đánh vào người tiêu dùng làm tiêu dùng giảm, D dịch trái gây ra tác động:
- Giảm quy mô thị trường
- Gây ra mất không xã hội
- Giá người tiêu dùng tăng lên, giá của người sản xuất nhận được giảm xuống.
Phương trình QD sau khi đánh thuế: QD=a0-a1(P+t)
Trước áp thuế Sau áp thuế Cs 1+2+5 1 Ps 3+4+6 4 G 2+3 TSB 1+2+3+4+5+6 1+2+3+4 DW 5+6 L
* Nhân tố chi phối gánh nặng thuế là: E D S P và EP
Câu 7: Tại sao giá sàn lại thường đưa đến mất không xã hội (DWL)? * Khái niệm:
- Giá sàn (Pf) là mức giá tối thiểu cho phép của 1 HH hoặc DV trên TT.
- DWL là phần tổn thất vô ích của xã hội, xuất hiện khi CP áp dụng chính sách giá hoặc do thuế gây ra.
* Mục tiêu của giá sàn: bảo vệ người bán, khuyến khích sản xuất hoặc để thực hiện mục đích khác của CP.
* 2 trường hợp áp giá sàn:
- Pf ≤ P0: giá không ràng buộc.
- Pf > P0: giá ràng buộc gây dư thừa trên TT, tăng quy mô TT, gây mất không XH. Trước PfSau Pf Cs 1+2+4 1 Ps 3+5 2+3 TSB 1+2+3+4+5 1+2+3 DWL 4+5
* Giá sàn thường đưa đến mất không xã hội vì khi áp giá sàn:
- Lượng cung tăng từ Q0 QS
- Lượng cầu giảm từ QD Q0
- Phần giá trị thặng dư bị mất đi sau khi áp giá sàn là DWL.
Câu 8: Được mùa khiến thu nhập của người nông dân có thể bị giảm. Hãy giải
thích tại sao Chính phủ cần có biện pháp gì để hỗ trợ người nông dân. Bằng lý
thuyết thặng dư hãy phân tích tác động của biện pháp hỗ trợ này.
* Khái niệm: ED là mức độ thay đổi của lượng cầu về 1 HH hoặc P
DV khi giá của HH hoặc DV đó thay đổi.
* Ban đầu, TT cân bằng tại điểm E. Do được mùa, cung nông sản
tăng, đường cung dịch chuyển sang phải từ S sang S1 => P↓, Q↑
* Người nông dân sản xuất ra nông sản là HH thiết yếu nên |ED|P<1
=> % Q<% P => lượng tăng của Q < lượng giảm của P => TR
giảm => Thu nhập người ND giảm.
* Biện pháp của CP: áp giá sàn (Pf)
- Giá sàn (Pf) là mức giá tối thiểu cho phép của 1 HH hoặc DV trên TT.
- Mục tiêu: bảo vệ người bán, khuyến khích sản xuất hoặc để thực hiện mục đích khác của CP.
- 2 trường hợp áp giá sàn:
+ Pf ≤ P0: giá không ràng buộc.
+ Pf > P0: giá ràng buộc => gây dư thừa, tăng quy mô TT, gây mất không XH. Trước PfSau Pf Cs 1+2+4 1 Ps 3+5 2+3 TSB 1+2+3+4+5 1+2+3 DWL 4+5
Câu 9: Trình bày các cách xác định hệ số co giãn của cầu theo giá
* Khái niệm: E DP là mức độ thay đổi của lượng cầu về 1 HH hoặc DV khi giá của
HH hoặc DV đó thay đổi.
* Các nhân tố ảnh hưởng đến E DP:
- Sự sẵn có hàng hóa thay thế.
- Tỷ lệ ngân sách dành cho HH
- Sự cấp bách của nhu cầu
- Thời gian: Trong dài hạn so với ngắn hạn - Tính chất của HH: |ED| D|
P >1 : HH xa xỉ; | EP <1 : HH thiết yếu
- Vị trí của điểm cầu.
* Các cách xác định E DP:
- Cách 1: Co giãn điểm: PT đường cầu: QD=a0-a1P
- Cách 2: Co giãn khoảng: Phương pháp trung điểm
Câu 10: Khi kinh doanh những mặt hàng có độ co giãn kém, doanh nghiệp
nên giảm giá bán để tăng doanh thu là đúng hay sai?
* Khái niệm: E DP là mức độ thay đổi của lượng cầu về 1 HH hoặc DV khi giá của
HH hoặc DV đó thay đổi.
* Khi KD những mặt hàng có độ co giãn kém, DN nên giảm giá bán để tăng doanh thu là sai.
* Mặt hàng có độ co giãn kém là HH thiết yếu nên |ED|P<1 =>
% Q<% P => lượng tăng của Q < lượng giảm của P => TR giảm
=> doanh thu của doanh nghiệp giảm.
Câu 11: Vận dụng lý thuyết co giãn của cầu hãy phân loại hàng hóa.
* Hệ số co giãn của cầu theo giá (E DP): là mức độ thay đổi của lượng cầu về 1 HH
hoặc DV khi giá của HH hoặc DV đó thay đổi. + |ED| P >1 : HH xa xỉ + |ED| P <1 : HH thiết yếu
* Hệ số co giãn của cầu theo thu nhập (E DI): là mức độ thay đổi của lượng cầu về 1
HH hoặc DV khi thu nhập thay đổi. + EID>1 : HH xa xỉ + 0+ EID<0 : HH thứ cấp
+EID=0 : HH không có mối quan hệ với thu nhập
* Hệ số co giãn của cầu theo giá chéo (E Dx,Py ): là mức độ thay đổi của lượng cầu về
HH hoặc DV X khi giá của HH hoặc DV Y thay đổi. + Ex ,DPy
>0 : X và Y là 2 HH thay thế được cho nhau + Ex ,DPy
<0 : X và Y là 2 HH bổ sung cho nhau + Ex ,DPy =0
: X và Y là 2 HH không liên quan đến nhau
Câu 12: Độ dốc của đường cầu và hệ số co giãn của cầu theo giá có giống nhau không?
Hệ số co giãn của cầu theo giá (E DP) là chỉ tiêu cho biết mức độ thay đổi của lượng
cầu về 1 HH hoặc DV khi giá của HH hoặc DV đó thay đổi. E D P
Độ dốc của đường cầu
- Phụ thuộc vào thay - Phụ thuộc vào sự
đổi tính theo phần thay đổi của giá vào trăm của giá và lượng. lượng. - Bằng nhau tại mọi
- E DP khác nhau tại các điểm điểm khác nhau
Tuy nhiên E DP bằng độ dốc của
đường cầu chỉ đúng với trường
hợp đường cầu co giãn hoàn toàn hoặc không co giãn. CÂU HỎI CHƯƠNG 5
Câu 1: Ý nghĩa của và trong hàm sản xuất Cobb-Douglas
Hàm sản xuất Cobb-Douglas: Q = A.K .L * Ý nghĩa của và :
+ là E QK là hệ số co giãn của sản lượng theo vốn => Cho biết mức độ thay
đổi của sản lượng khi yếu tố đầu vào vốn (K) thay đổi. %∆ K =∆ Q ∆ / KQ E Q=%∆ Q /K=∆Q ∆ K .K K
Q= (QK )'.KQ=A .. K−1. L❑.K A . K❑. L❑=¿
+ là E QL là hệ số co giãn của sản lượng theo lao động => Cho biết mức độ
thay đổi của sản lượng khi yếu tố đầu vào lao động (L) thay đổi. %∆ L =∆ Q ∆ /Q E Q=%∆ Q L/L=∆ Q ∆ L .L L
Q= (QL)'.LQ=A . K❑. . L−1.L A . K❑. L❑=¿
* Tính hiệu suất theo quy mô của hàm Cobb-Douglas:
+ ( + ) = 1: hiệu suất không đổi theo quy mô
+ ( + ) > 1: hiệu suất tăng theo quy mô
+ ( + ) < 1: hiệu suất giảm theo quy mô
Câu 2: Chứng minh tính hiệu suất theo quy mô của hàm Cobb-Douglas
Hàm sản xuất Cobb-Douglas: Q = A.K .L = f(K,L) Trong đó: là E Q Q
K là hệ số co giãn của sản lượng theo vốn;
là EL là hệ số co giãn
của sản lượng theo lao động.
Giả sử tăng đồng thời tất cả đầu vào (K, L) lên t lần (t>0)
t . Q=A . (tK )❑.(tL)❑=t+¿. A . K❑.L❑=t+¿.Q¿¿
+ Nếu ( + ) = 1 => f (tK, tL) = tQ => Hiệu suất không đổi theo quy mô
+ Nếu ( + ) > 1 => f (tK, tL) > tQ => Hiệu suất tăng theo quy mô
+ Nếu ( + ) < 1 => f (tK, tL) < tQ => Hiệu suất giảm theo quy mô
Câu 3: Vì sao khi lợi nhuận kế toán dương các doanh nghiệp vẫn quyết định rời khỏi thị trường?
* Lợi nhuận kế toán là phần chênh lệch giữa tổng doanh thu và tổng chi phí kế toán.
+ Chi phí kế toán là toàn bộ các chi phí mà hãng kinh doanh đã thực chi ra để sản
xuất hàng hóa và dịch vụ. Nó chính là chi phí hiện.
+ TPkế toán = TR – TCkế toán = TR – OChiện
* Lợi nhuận kinh tế là phần chênh lệch giữa tổng doanh thu và tổng chi phí kinh tế.
+ Chi phí kinh tế là chi phí kế toán và chi phí ẩn, hay nói cách khác nó bao gồm cả
chi phí hiện và chi phí ẩn.
+ TPkinh tế = TR – TCkinh tế = TR – (OChiện + OCẩn) = TR – TCkế toán – OCẩn = TPkế toán – OCẩn
* Giải thích: Khi lợi nhuận kế toán dương => TPkế toán > 0 nhưng nếu TPkế toán < OCẩn
=> TPkinh tế < 0 => Doanh nghiệp vẫn quyết định rời khỏi thị trường.
Câu 4: Phân biệt lợi nhuận kinh tế và lợi nhuận kế toán? Cho ví dụ? * Định nghĩa:
- Lợi nhuận kinh tế là phần chênh lệch giữa tổng doanh thu và tổng chi phí kinh tế.
- Lợi nhuận kế toán là phần chênh lệch giữa tổng doanh thu và tổng chi phí kế toán. * Công thức:
+ TPkinh tế = TR – TCkinh tế = TPkế toán – OCẩn
+ TPkế toán = TR – TCkế toán
TPkế toán khác TPkinh tế ở OCẩn
* Ví dụ: Giả sử kinh doanh 1 quán cafe nhỏ:
- Doanh thu 100 triệu/ tháng
- Chi phí kế toán (nguyên liệu, mặt bằng, nhân viên…) = 65 triệu/ tháng
- Chi phí cơ hội ẩn: chi phí bị bỏ qua khi thay vì mở quán cafe mà đi làm văn
phòng với mức lương 15 triệu/ tháng = OCẩn
=> Lợi nhuận kế toán = Doanh thu – Chi phí kế toán = 100 – 65 = 35 triệu
=> Lợi nhuận kinh tế = Doanh thu – (Chi phí kế toán – Chi phí cơ hội ẩn) = 100- (65+15) = 20 triệu
=> TPkế toán = 35 > OCẩn = 20 => tiếp tục kinh doanh cafe.
Câu 5: Phân biệt chi phí kinh tế và chi phí kế toán? Cho ví dụ? * Định nghĩa:
- Chi phí kinh tế là chi phí kế toán và chi phí ẩn (bao gồm OCẩn và OChiện)
+ Chi phí cơ hội ẩn là chi phí không thể hiện trong tính toán trên sổ sách
giấy tờ mà nó thể hiện phần thu nhập bị mất đi.
+ Chi phí cơ hội hiện là khoản chi phí thực tế phát sinh trong quá trình sản xuất và kinh doanh
- Chi phí kế toán là toàn bộ chi phí mà hãng kinh doanh đã thực chi để sản xuất
hàng hòa dịch vụ (OChiện) * Công thức:
+ TCkinh tế = OChiện + OCẩn + TCkế toán = OChiện
TCkinh tế khác TCkế toán ở OCẩn
* Ví dụ: Giả sử kinh doanh 1 quán cafe nhỏ:
Chi phí kế toán (TCkế toán)
Chi phí kinh tế (TCkinh tế) - Thuê mặt bằng
- Ngoài 35tr chi phí kế toán, còn phải tính - Nguyên liệu OC khác. - Lương nhân viên
- Thay vì mở quán cf, đi làm văn phòng - Phí khác
với mức lương 15tr/ tháng = OCẩn
=> Tổng chi phí kế toán = 35 tr/ => TCkinh tế = 50tr/ tháng = TCkế toán + OCẩn tháng
Câu 6: Chi phí cơ hội là gì? Ví dụ? Tại sao khi tính toán chi phí để lựa chọn
phương án kinh doanh hiệu quả thì cần tính chi phí ẩn và chi phí hiện?
* Chi phí cơ hội là toàn bộ chi phí bị bỏ qua khi lựa chọn quyết định này mà bỏ
qua quyết định khác trong điều kiện các yếu tố thực hiện quyết định không đổi. OC = OCẩn + OChiện
* Ví dụ: Anh A có 400 triệu, thay vì gửi ngân hàng thu lãi 20 triệu/ năm, anh đầu
tư kinh doanh thu lãi 50 triệu/ năm = TPkế toán => Chi phí cơ hội ẩn là 20 triệu/ năm
=> TPkinh tế = 30 triệu > 0 => Anh A tiếp tục đầu tư thay vì gửi ngân hàng.
* Khi tính toán chi phí để lựa chọn phương án kinh doanh hiệu quả thì cần tính cả
chi phí ẩn và chi phí hiện, vì:
+ Chi phí cơ hội hiện (OChiện) là khoản chi phí thực tế phát sinh trong quá
trình sản xuất và kinh doanh nên DN chỉ thấy tiền chi ra mà không thấy được giá
trị cơ hội bị mất đi => có thể dẫn đến chọn sai phương án KD.
+ Chi phí cơ hội ẩn (OCẩn) là chi phí không thể hiện trong tính toán trên sổ
sách giấy tờ mà nó thể hiện phần thu nhập bị mất đi nên khi tính thêm CP ẩn thì
DN mới thấy được tổng chi phí.
=> Để doanh nghiệp lựa chọn được phương án kinh doanh hiệu quả thì cần xác
định lợi nhuận kinh tế vì nó sẽ phản ánh đúng hiệu quả kinh tế
TPkế toán = TR – TCkế toán = TR – OChiện
TPkinh tế = TR – TCkinh tế = TR – (OChiện + OCẩn) = TPkế toán – OCẩn
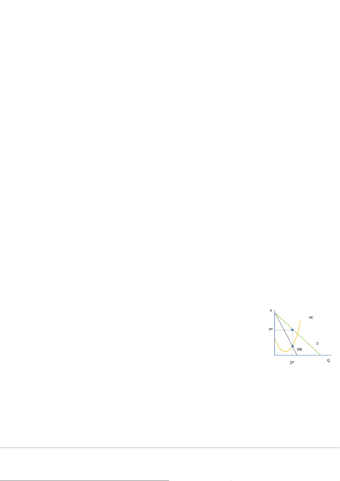
Câu 7: Phân tích nguyên tắc lựa chọn sản lượng tối ưu của doanh nghiệp? Tại
sao khi lựa chọn sản lượng tối ưu mà vẫn có khả năng bị thua lỗ?
* Nguyên tắc lựa chọn sản lượng tối ưu của DN điển hình:
TPmax = MR = MC (TR)’Q = (TC)’Q
Doanh nghiệp sẽ gia tăng sản lượng đầu ra chừng nào MR > MC cho tới khi MR=MC thì dừng lại. TP = Q(P-ATC)
*TH1: Nếu DN hoạt động với P > ATC theo đuổi nguyên tắc MC = MR
=> Doanh nghiệp thu được lợi nhuận tối đa
*TH2: Nếu DN hoạt động với P < ATC theo đuổi nguyên tắc MC = MR
=> Doanh nghiệp sẽ tối thiểu hóa thua lỗ
Vậy DN có khả năng bị thua lỗ trong trường hợp P < ATC
Câu 8: Cho hàm Cobb-Douglas: Q = A.K .L , hãy chứng minh năng suất cận
biên của 1 nhân tố tỷ lệ với năng suất bình quân của nhân tố đó.
* Năng suất cận biên (MP) là mức sản lượng thay đổi khi thay đổi 1 đơn vị yếu tố
đầu vào biến đổi, với điều kiện giữ nguyên mức sử dụng các đầu vào cố định khác.
* Năng suất bình quân (AP) là sản lượng bình quân trên 1 đơn vị đầu vào. * Nhân tố là lao động: + MPL = (QL)’ = A.K . .L -1 + AP Q L=A . K❑. L❑ L = L=¿ A.K .L -1 MP =>
L=¿ => MPL tỉ lệ thuận với APL APL * Nhân tố là vốn: + MPK = (QK)’ = A. .K -1. L + AP Q K=A . K❑. L❑ K = K=¿ A. K -1. L MP =>
K =¿ => MPK tỉ lệ thuận với APK APK
Câu 9: Vận dụng mối quan hệ giữa các đại lượng về chi phí, hãy giải thích tại
sao đường MC lại có hình parabol? (Quan hệ giữa chi phí cận biên MC và sản phẩm cận biên MPL)
* Chi phí cận biên (MC) là phần chi phí tăng thêm khi DN sản xuất thêm 1 đơn vị sản phẩm.
* Sản phẩm cận biên (MPL) là mức sản lượng thay đổi khi thay đổi 1 đơn vị yếu tố
đầu vào biến đổi, với điều kiện giữ nguyên mức sử dụng các đầu vào cố định khác.
* Xét quan hệ giữa MC và MPL: MC = TC = VC = W. L = W Q Q Q MP L
=> MC thay đổi phụ thuộc vào MPL
MC tỉ lệ nghịch với MPL MPL ↑ => MC ↓ MPL ↓ => MC ↑ MPL max => MCmin
MPL có hình parabol do quy luật năng suất cận biên giảm dần: Khi một đầu vào
được sử dụng ngày càng nhiều hơn (các đầu vào khác cố định) thì sẽ đến một điểm
mà kể từ đó năng suất bình quân bắt đầu giảm dần. => MC có dạng hình parabol.
Câu 10: Vận dụng mối quan hệ giữa các đại lượng về chi phí, hãy giải thích tại
sao đường APC lại có hình chữ U?
* Năng suất bình quân của lao động (APL) là sản lượng trên 1 đơn vị đầu vào LĐ.
* Chi phí biến đổi bình quân (AVC) là chi phí biến đổi tính trên 1 đơn vị sản phẩm.
* Mối quan hệ giữa AP và AVC: AVC = VC = W . L= W Q Q AP L
=> AVC thay đổi phụ thuộc vào APL
AVC tỉ lệ nghịch với APL APL ↑ =>AVC ↓ APL ↓ => AVC ↑ APL max => AVCmin
APL có hình parabol do quy luật năng suất cận biên giảm dần: Khi một đầu vào
được sử dụng ngày càng nhiều hơn (các đầu vào khác cố định) thì sẽ đến một điểm
mà kể từ đó năng suất bình quân bắt đầu giảm dần. => AVC có dạng hình parabol.
Câu 11: Trình bày mối quan hệ giữa năng suất cận biên của lao động và năng
suất bình quân của lao động. Chứng minh APL và MPL cắt nhau tại điểm max.
* Năng suất cận biên của lao động (MPL) là sản phẩm tăng thêm khi sử dụng thêm 1 đơn vị lao động. MPL = ∆ Q ∆ L
* Năng suất bình quân của lao động (APL) là sản lượng trên đơn vị lao động. APL = QL
* Mối quan hệ giữa MPL và APL: + MPL > APL => APL ↑ + MPL = APL => APL max + MPL < APL => APL ↓
* CM: MPL cắt APL tại APL max Q Có AP Q Q 'L−L ' Q L = => (APL)’ = ( )’ = = Q' L−QL2=1 (Q'−Q )=0 L L L2 L L => Q’= QL Mà (Q Q L)’ = MPL ; = APL => MPL = AP L L AP Q L max khi (APL)’=0 L.MPL – Q = 0 MPL = = APL L
Vậy tại APL max thì MPL cắt APL
Câu 12: Trình bày mối quan hệ giữa MC và ATC. Chứng minh MC = ATC thì ATCmin.
* Chi phí cận biên (MC) là chi phí tăng thêm khi sản xuất thêm 1 đơn vị sản phẩm. MC = TC Q=TC '(Q)
* Tổng chi phí bình quân (ATC) là chi phí sản xuất tính trên 1 đơn vị sản phẩm. ATC = TC Q
* Mối quan hệ giữa MC và ATC: + MC > ATC => ATC ↑ + MC < ATC => ATC ↓ + MC = ATC => ATC min
* Chứng minh MC = ATC thì ATCmin TC
Để ATCmin thì (ATC)’ = 0 ( TC )’ = 0 ' (Q). Q−Q'.TC (Q) = Q Q2 TC '( Q Q − ) TC (Q)
Q2=1 Q. (TC'−TC )=0 TC’ = TC MC = ATC => MC = ATC thì Q Q ATCmin
Câu 13: Trình bày mối quan hệ giữa MC và AVC. Chứng minh MC = AVC thì AVC min.
* Chi phí cận biên (MC) là chi phí tăng thêm khi sản xuất thêm 1 đơn vị sản phẩm. T QC MC = =V CQ=VC '(Q)
* Chi phí biến đổi bình quân (AVC) là tổng chi phí biến đổi tính trên 1 đơn vị sản V C phẩm. ATC = Q
* Mối quan hệ giữa MC và AVC: + MC > AVC => AVC ↑ + MC < AVC => AVC ↓ + MC = AVC => AVC min
* Chứng minh MC = AVC thì AVCmin V C VC'. Q−Q'.VC
Để AVCmin thì (AVC)’ = 0 ( )’ = 0 = Q Q2 VC Q '
−VCQ2=1Q. (VC'−VC )=0 VC’ = VC MC = AVC => MC = AVC thì Q Q AVCmin CÂU HỎI CHƯƠNG 6
Câu 1: Trình bày nguyên tắc và kết quả của sự lựa chọn sản lượng trong ngắn hạn của DN CTHH. TH1: DN có lợi nhuận: TP > 0 P0 > ATCmin TR = S0P0CF TC = SB0FE TP = S0P0CF – SB0FE = SBP0CE TH2: DN hòa vốn: TP = 0 P1 = ATCmin TR = S0P1BE TC = S0P1BE TP = 0
TH3: DN thua lỗ: AVCmin < P2 < ATCmin: + Dừng SX lỗ FC
+ Tiếp tục SX bù đắp được VC và lỗ 1 phần của FC TR = S0P2HF TC = S0AEF
TP = S0P2HF – S0AEF = - SP2AEH FC = SBAEG ; VC = S0BGF TH4: DN đóng cửa P3 ≤ AVCmin
Tại P3 = AVC min: điểm đóng cửa SX TR = S0P3GF TC = S0AEF
TP = S0P3GF – S0AEF = - SP3AEG
Câu 2: Một DN CTHH trong ngắn hạn có thể bù
đắp được chi phí biến đổi (VC) và 1 phần chi phí cố định (FC) khi nó đang
hoạt động tại phần đường chi phí cận biên (MC) nằm giữa điểm hòa vốn
(ATCmin) và điểm đóng cửa sản xuất (AVCmin) là đúng hay sai? Đúng
Khi AVCmin < P2 < ATCmin thì DN: + Dừng SX lỗ FC