Report tài liệu
Chia sẻ tài liệu
Bài tập ôn tập môn Kinh tế vi mô 1 | Học viện Tài chính
Bài tập ôn tập môn Kinh tế vi mô 1 | Học viện Tài chính. Tài liệu giúp bạn tham khảo, ôn tập và đạt kết quả cao. Mời đọc đón xem!
Môn: Kinh tế vi mô 1 (MIE) 471 tài liệu
Trường: Học viện Tài chính 1.1 K tài liệu
Tác giả:


















Tài liệu khác của Học viện Tài chính
Preview text:
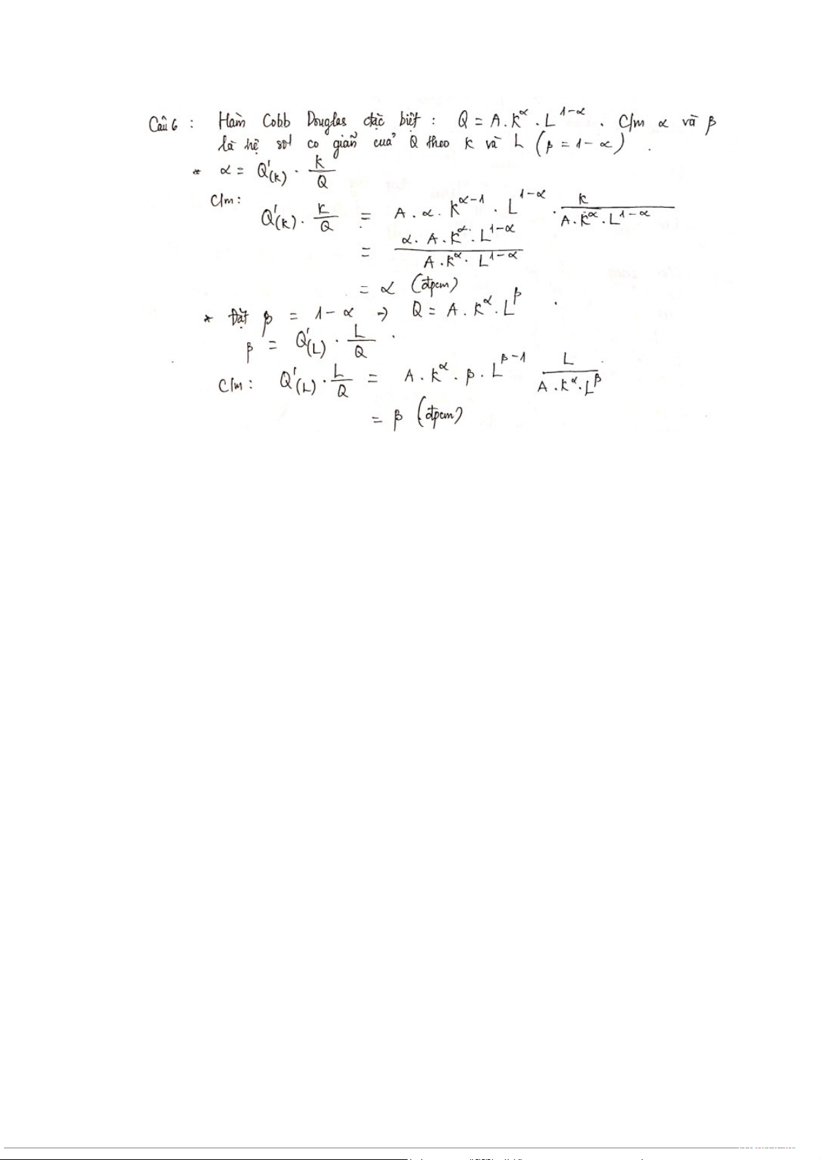
Câu 1: Câu 2: Câu 3: Câu 4: Câu 5: Câu 6: Câu 7: Câu 8:
Ý 3: ai gánh chịu thuế sẽ phụ thuộc vào độ co giãn cung và cầu, và phụ
thuộc vào việc thị trường có tính cạnh tranh hay không. Thuế dẫn đến
sự thay đổi giá tương đối, và phản ứng thị trường này sẽ quyết định ai là người gánh chịu thuế. Câu 9: Câu 10: Câu 11: Câu 12: Câu 13: Câu 14: Câu 15: Câu 16:
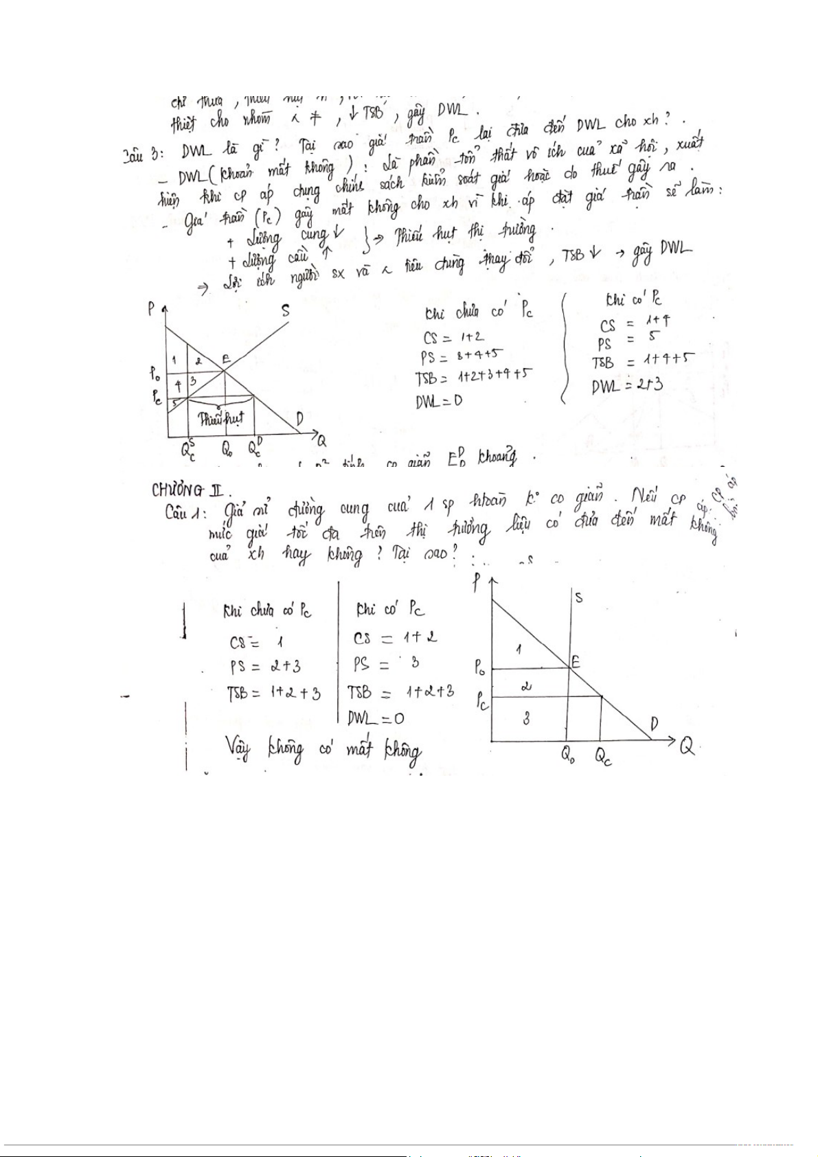
Câu 17: Mất không XH là gì?
Tài liệu liên quan:
-
Các tiêu chuẩn quốc tế đặt ra cho Việt Nam trong quá trình hội nhập toàn cầu môn Kinh tế vi mô 1 | Học viện Tài chính
27 14 -
Phương pháp giải bài tập và đề thi môn Kinh tế vi mô 1 | Học viện Tài chính
27 14 -
Câu hỏi ôn tập chương 5 & 6 môn Kinh tế vi mô 1 | Học viện Tài chính
27 14 -
Bảng Giá Trị Thống Kê - Phân Phối Fisher & Durbin-Watson môn Kinh tế vi mô 1 | Học viện Tài chính
24 12 -
Đề cương ôn tập môn Kinh tế vi mô 1 | Học viện Tài chính
22 11