



















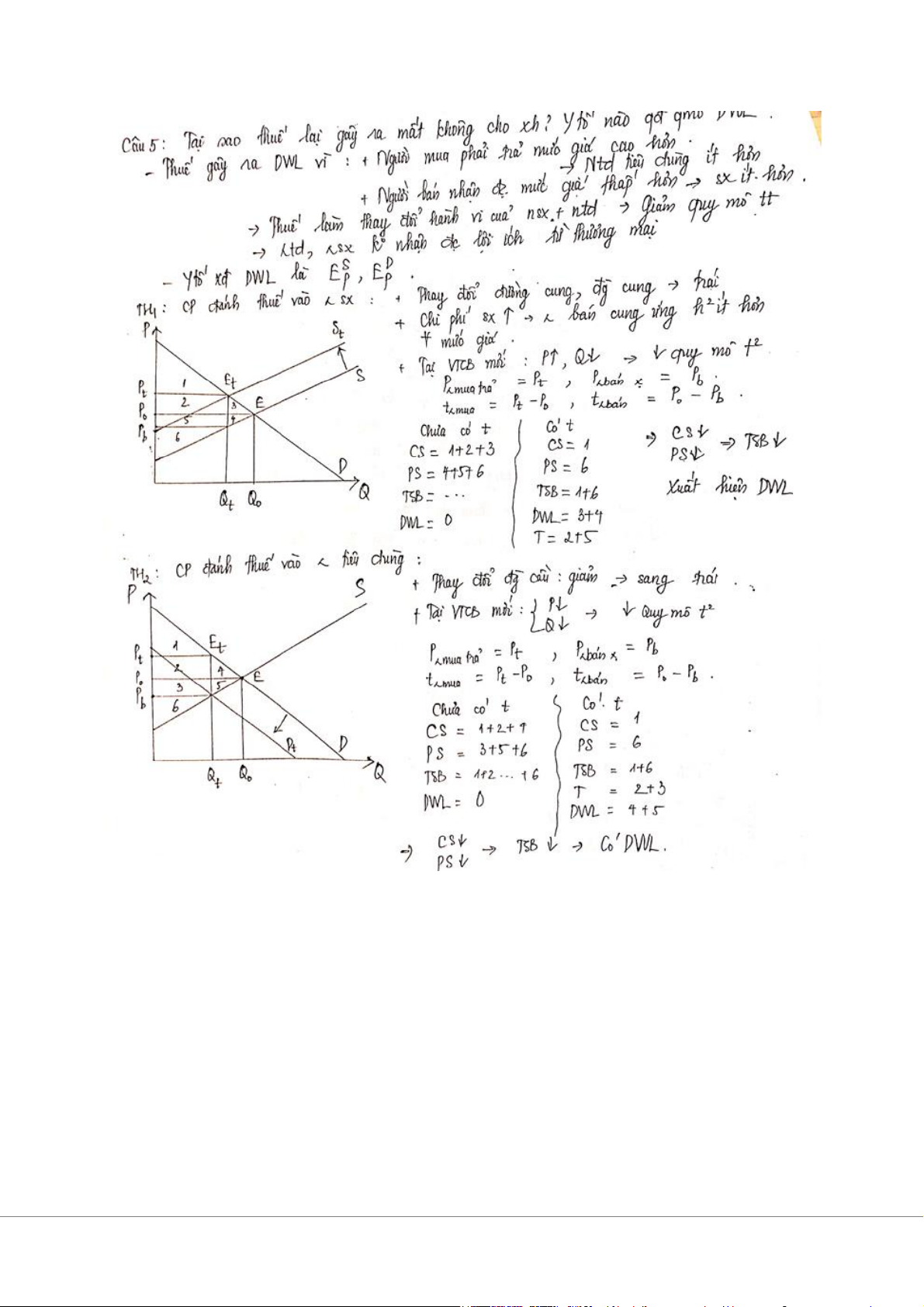
Preview text:
PNg mua trả=Pt, PNg bán=Pb
tNg mua trả=Pt – Po, tNg bán= Po - Pb Chưa có t Có t CS=1+2+4 CS=1 PS=3+5+6 PS=6 TSB=1+2+3+4+5+6 TSB=1+6 DWL=0 DWL=4+5 t=2+3
Khi có thuế, CS giảm, PS giảm TSB giảm xuất hiện DWL
Câu 17:” Khi đánh thuế vào người sản xuất thì chỉ tác động đến người sản xuất” Đúng hay sai? - Sai
- Thuế đánh vào sản xuất( người bán):
+ Chi phí sx tăng thay đổi lượng cung, NSX sản xuất ít hàng hóa hơn tại mọi
mức giá làm đườngcung dịch trái: S St
+ Tại điểm cân bằng mới: P tăng, Q giảm giảm quy mô TT PNg mua trả=Pt, PNg bán=Pb tNg mua trả=P t N – g P ư o ờ ,i tN m gu baá n= và P b oá - n P c b ù ng chia sẻ gánh nặng thuế Chưa có t Có t CS=1+2+3 CS=1 PS=4+5+6 PS=6 TSB=1+2+3+4+5+6 TSB=1+6 DWL=0 DWL=3+4
Khi có thuế, CS giảm, PS giảm TSB g iảm xuất hiện DW t= L 2+5
Câu 18: Tại sao chính sách thuế lại gây tổn thất XH? Nếu tăng mức thuế suất sẽ ảnh
hưởng như thế nào đến DWL?
Câu 19: Thực chất của CS 𝒏 𝑪𝑺 = ∑𝒊(=𝑷 𝟏 𝒔𝒔 𝑷𝒕− 𝒕). 𝑸𝒊 Mà 𝑷𝒔𝒔 = 𝑴𝑼 𝒏 →𝑪𝑺 = ∑( 𝒊 𝑴 =𝟏 𝑼 𝑷𝒕 − 𝒕). 𝑸𝒊
CS là phần chênh lệch giữa MU với mức giá thực tế phải trả tại mức lượng họ được tiêu dùng.
Câu 20: Mqh giữa 𝑴𝑹𝑺𝒙𝒚 𝒗ớ𝒊 𝑴𝑼𝒙 𝒗à 𝑴𝑼𝒚
- 𝑀𝑅𝑆𝑥𝑦 ( tỉ lệ thay thế cận biên) là tỉ
lệ cho biết để tiêu dùng thêm 1 hh X
cần giảm tiêu dùng bao nhiêu đơn vị
hh Y để lợi ích không đổi.
- Khi di chuyển A B, có ∆𝑇𝑈 = 0
∆𝑇𝑈 = ∆𝑇𝑈𝑋+ ∆𝑇𝑈𝑌= 0
( 𝑀𝑈𝑋=∆𝑇𝑈𝑋∆𝑋 )
𝑀𝑈𝑋. ∆𝑋 + 𝑀𝑈𝑌. 𝑌 = 0 −∆𝑌 ∆𝑋 =𝑀𝑈𝑋
𝑀𝑈𝑌= 𝑀𝑅𝑆𝑥𝑦 Khi di chuyển từ A B {𝑋 𝑌 ↑ ↓ {𝑀𝑈𝑋↓
𝑀𝑈𝑌↑ ( Theo quy luật MU giảm dần)
𝑀𝑅𝑆𝑥𝑦 ↓→ ℎ𝑠𝑔 ↓ 𝑑ầ𝑛
→ 𝑈 𝑐𝑜𝑛𝑔 𝑙ồ𝑖 𝑠𝑜 𝑣ớ𝑖 𝑂
Câu 21: Tại sao lựa chọn điểm tiêu dùng tối ưu tại điểm mà tỉ lệ cận biên = tỉ lệ về giá
của hai HH. Trong điều kiện nào, điều kiện tối ưu không được thỏa mãn
- Đường bàng quan là đường chỉ ra các tập hợp X,Y mà sự thay đổi các tập hợp này
không làm thay đổi mức lợi ích
- Đường ngân sách là đường giới hạn khả năng tiêu dùng, mô tả các cách kết hợp
hhdv khác nhau mà người tiêu dùng có thể mua được từ một mức ngân sách nhất định.
- Cách lựa chọn tiêu dùng tối ưu: NTD lựa chọn hh nằm trên đường ngân sách và
đường bàng quan cao nhất có thể để có lợi ích tối đa và phù hợp với khả năng chi
trả của mình chọn tiêu dùng tại tiếp điểm của đường bàng quan với đường ngân sách − 𝑀𝑈𝑋
𝑀𝑈𝑌= − 𝑃𝑋𝑃𝑌 → 𝑀𝑈 𝑀 𝑋 𝑈𝑌= 𝑃𝑋𝑃𝑌 Trong đó: - 𝑀𝑈𝑋
𝑀𝑈𝑌: phản ánh đánh giá của người tiêu dùng về HHDV
- 𝑃𝑋𝑃𝑌: phản ánh đánh giá của thị trường về HHDV
𝑁𝑇𝐷 𝑠ẽ 𝑙ự𝑎 𝑐ℎọ𝑛 tiêu dùng tối ưu tại điểm mà tỉ lệ cận biên =
tỉ lệ về giá của hai HH
- Điều kiện tối ưu trong tiêu dùng không được thỏa mãn khi NTD chỉ tiêu dùng một
loại hàng hóa. Điểm tiêu dùng xuất hiện ở góc của đồ thị. Tại đó 𝑀𝑈 𝑀 𝑋 𝑈𝑌≠ 𝑃𝑋𝑃𝑌 Câu 22:
Câu 23: Hàm sản xuất không đổi theo qui mô. Chứng minh năng suất cận biên của
đầu vào tỉ lệ với năng suất bình quân của nó
- Hàm sản xuất không đổi theo quy mô
𝑸 = 𝑨. 𝑲𝜶. 𝑳𝟏−𝜶 (𝟎 < 𝜶 < 𝟏)
Ta có: 𝑴𝑷𝑳= 𝑸′(𝑳
= )𝑨. 𝑲𝜶.(𝟏 − 𝜶). 𝑳−𝜶
𝑨𝑷𝑳=𝑸𝑳=𝑨. 𝑲𝜶. 𝑳𝟏−𝜶
𝑳= 𝑨. 𝑲𝜶. 𝑳−𝜶 𝑴𝑷𝑳
𝑨𝑷𝑳= 𝟏 − 𝜶 = 𝜷
𝑴𝑷𝑳 𝒕ỉ 𝒍ệ 𝒕𝒉𝒖ậ𝒏 𝒗ớ𝒊 𝑨𝑷𝑳
𝑴𝑷𝑲= 𝑸(𝑲′)= 𝑨. 𝜶. 𝑲𝜶−𝟏. 𝑳𝟏−𝜶
𝑨𝑷𝑲=𝑸𝑲=𝑨. 𝑲𝜶−𝟏. 𝑳𝟏−𝜶
𝑳= 𝑨. 𝑲𝜶−𝟏. 𝑳𝟏−𝜶 𝑴𝑷𝑲 𝑨𝑷𝑲= 𝜶
𝑴𝑷𝑲 𝒕ỉ 𝒍ệ 𝒕𝒉𝒖ậ𝒏 𝒗ớ𝒊 𝑨𝑷𝑲
Vậy MP tỉ lệ thuận với AP
Câu 24: Chứng minh hình dạng của AVC và MC
- Xét quan hệ giữa chi phí cận biên và
sản phẩm cận biên (MC và MPL) +𝑀𝐶 =∆𝑇𝐶
∆𝑄 =∆𝐹𝐶 + ∆𝑉𝐶 ∆𝑄 =∆𝑉𝐶
∆𝑄 (𝐹𝐶𝑐ốđị𝑛ℎ)
𝑇𝑎 𝑐ó: 𝑉𝐶 = 𝐿. 𝑊 → ∆𝑉𝐶 = ∆𝐿. 𝑊 → 𝑀𝐶 =∆𝐿.∆𝑊 𝑄 = 𝑊 𝑀𝑃𝐿 (𝑀𝑃𝐿 =∆𝑄 ∆𝐿 ) Mqh nghịch biến MC có dạng chữ U
- Xét quan hệ giữa năng suất bình
quân (AP) và chi phí biến đổi bình quân (AVC)
+ 𝐴𝑉𝐶 = 𝑉𝐶𝑄=𝑊. 𝐿𝑄=𝑊 𝑄 𝐿 =𝑊 𝐴𝑃𝐿 (𝐴𝑃𝐿=𝑄 𝐿) Mqh nghịch biến AVC có hình chữ U
Câu 25: Tại sao đường đồng phí có dạng tuyến tính
- Đường đồng phí ( TC) là đường mô
tả các kết hợp K với L mà doanh
nghiệp có thể sử dụng với cùng một mức chi phí
- Phương trình: TC= R.K + W.L
𝐾 = 𝑇𝐶𝑅−𝑊 𝑅. 𝐿
- Hệ số góc của TC: −𝑊 𝑅
TC là đường thẳng dốc xuống TC có dạng tuyến tính
Câu 26: Tại sao DN cạnh tranh hoàn hảo muốn tối đa hóa lợi nhuận đều chọn sản
lượng theo nguyên tắc P=MC
- Để tối đa hóa lợi nhuận MR=MC
- Đối với DN CTHH: P=MR TPmax khi P=MC
Câu 27: Trình bày lựa chọn sản lượng của DN CTHH trong ngắn hạn
- Thị trường CTHH là thị trường có nhiều người bán và người mua, không quyết định
của người bán hay người mua nào có thể ảnh hưởng đến giá cả thị trường.
*Lựa chọn sản lượng trong ngắn hạn
+ Tối đa hóa lợi nhuận: MR=MC, mà DN CTHH có P=MR P=MC + Ta có: TP=TR – TC
- Các trường hợp xảy ra:
TH1: DN có lãi khi 𝑃1> 𝐴𝑇𝐶𝑚𝑖𝑛
TH2: DN hòa vốn khi 𝑃2= 𝐴𝑇𝑐𝑚𝑖𝑛
𝑄ℎò𝑎 𝑣ố𝑛 =𝐹𝐶 𝑃 − 𝐴𝑉𝐶
+ Hòa vốn TP=0 𝑇𝑅 − 𝑇𝐶 = 0
𝑃. 𝑄 − (𝐹𝐶 + 𝐴𝑉𝐶. 𝑄)= 0
(𝑃 − 𝐴𝑉𝐶). 𝑄 = 𝐹𝐶
TH3: DN thua lỗ nhưng vẫn tiếp tục sản xuất khi AVCmin+ Nếu tiếp tục sx: P=MC TP=(P-ATC).Q=-SC3B3A3P3 thua lỗ
+ Nếu đóng cửa sản xuất thì DN phải thanh
toán toàn bộ chi phí cố định(FC)
FC= TC – VC= ATC.Q3 – AVC. Q3 = (ATC – AVC). Q3= SC3B3MN
FC>thua lỗ DN sẽ tiếp tục sản xuất vì
doanh thu sẽ được bù đắp toàn bộ chi phí
biến đổi và một phần chi phí cố định
TH4: DN đóng của sản xuất: P4 ≤ 𝐴𝑉𝐶𝑚𝑖𝑛
Vì trong TH này, chi phí cố định FC=thua lỗ đóng cửa
Câu 28: Trình bày đường cung của DN CTHH trong ngắn hạn
- DN CTHH lựa chọn sản xuất tại P=MC
- Khi P thay đổi quyết định sx
của DN thay đổi nhưng các
điểm sx luôn nằm trên đường
MC. Đồng thời, Dn sẽ đống của sx khi P=AVCmin Đường cung của DN CTHH trong ngắn hạn là
đường MC tính từ điểm AVCmin trở lên
Câu 29: Biểu hiện của PS trong thị trường CTHH
- Thặng dư sản xuất(PS) là phần chênh lệch giữa số tiền mà người bán nhận được với
chi phí sản xuất tại mức lượng họ bán được.
- Cách xác định PS: PS là phần diện tích nằm dưới đường giá trên đường cung tại
mức lượng họ bán được, PS0= 4 - Khi P tăng: PS= 4+5+6 ∆𝑃𝑆 = 5 + 6
Trong đó: 5: PS tăng thêm của những người đang sản xuất
6: PS của những người mới gia nhập thị trường
- Biểu hiện của PS trong thị trường cạnh tranh hoàn hảo:
+ P không thay đổi,MR co giãn hoàn toàn, (MR)=P
+ Mà trong thị trường CTHH thì đường cung là đường MC tính từ điểm AVCmin trở lên PS= SP0ACF
Mà PS =(P-MC).Q=(P-AVC).Q=P.Q – AVC.Q=TR – VC=SP0AKE
PS là phần chênh lệch giữa TR và VC
Câu 30: Tại sao trong ngắn hạn DN CTHH có thể bị lỗ nhưng vẫn hoạt động sản xuất
kinh doanh (TH3 của câu 27)
Câu 31: Tại sao trong dài hạn DN CTHH hoạt động TPkinhte = 0
Câu 32: Tại sao doanh nghiệp viễn thông khuyến mại 50% hay 100% mà vẫn có lãi
- DN viễn thông Vn là một dạng độc quyền tự nhiên
- DN độc quyền tự nhiên là doanh nghiệp đạt được tính KT theo quy mô
- Khuyến mại là để kích cầu quy mô tăng ATC giảm DN càng có lãi
Câu 33: Trường hợp DN ĐQ chiếm đoạt CS
Câu 34: Hãy phân tích sự thay đổi lợi nhuận khi DN thực hiện PBG C1
Câu 35: Sử dụng mô hình của nhà ĐQB để phân tích tác động của việc đánh thuế
t/đvsp vào đầu ra và cho biết tác động ntn đến người tiêu dùng? Trong trường hợp
nào nhà độc quyền phải chịu 100% số thuế?
Câu 36: Nguyên tắc lựa chọn sản lượng tối ưu của DN cạnh tranh trong dài hạn và
cách xác định đường cung trong dài hạn
- Thị trường CTHH là thị trường có nhiều người bán và người mua, không quyết định
của người bán hay người mua nào có thể ảnh hưởng đến giá cả thị trường.
*Lựa chọn sản lượng trong ngắn hạn
+ Tối đa hóa lợi nhuận: MR=MC, mà DN CTHH có P=MR P=MC + Ta có: TP=TR – TC
- Các trường hợp xảy ra:
TH1: DN có lãi khi 𝑃1> 𝐴𝑇𝐶𝑚𝑖𝑛
TH2: DN hòa vốn khi 𝑃2= 𝐴𝑇𝑐𝑚𝑖𝑛
𝑄ℎò𝑎 𝑣ố𝑛 =𝐹𝐶 𝑃 − 𝐴𝑉𝐶
+ Hòa vốn TP=0 𝑇𝑅 − 𝑇𝐶 = 0
𝑃. 𝑄 − (𝐹𝐶 + 𝐴𝑉𝐶. 𝑄)= 0
(𝑃 − 𝐴𝑉𝐶). 𝑄 = 𝐹𝐶
TH3: DN thua lỗ nhưng vẫn tiếp tục sản xuất khi AVCmin+ Nếu tiếp tục sx: P=MC TP=(P-ATC).Q=-SC3B3A3P3 thua lỗ
+ Nếu đóng cửa sản xuất thì DN phải thanh
toán toàn bộ chi phí cố định(FC)
FC= TC – VC= ATC.Q3 – AVC. Q3 = (ATC – AVC). Q3= SC3B3MN
FC>thua lỗ DN sẽ tiếp tục sản xuất vì
doanh thu sẽ được bù đắp toàn bộ chi phí
biến đổi và một phần chi phí cố định
TH4: DN đóng của sản xuất: P4 ≤ 𝐴𝑉𝐶𝑚𝑖𝑛
Vì trong TH này, chi phí cố định FC=thua lỗ đóng cửa
*Lựa chọn sản lượng trong dài hạn
- DN CTHH sản xuất tại: Tpmax P=LMC
- DN sản xuất tại A(P0,Q0), Tpmax=SP0ABC
- Trong dài hạn, DN CTHH không chấp nhận thua lỗ chỉ sản xuất khi 𝑃 ≥ 𝐿𝐴𝑇𝐶𝑚𝑖𝑛
Câu 37: Cách xác định P* của DN ĐQ có ảnh hưởng gì đến lợi ích XH? Trình bày các
biện pháp mà CP sử dụng để can thiệp vào DN độc quyền nhằm hạn chế tổn thất XH TT CTHH TT ĐQB CS=1+2+3 CS=1 PS=4+5+6 PS=2+4+6 TSB=1+2+3+4+5+6 TSB=1+2+4+6 DWL=0 DWL=3+5
Câu 38: “ Tại sao DN ĐQ có khả năng chi phối về giá” cách định giá của nhà độc
quyền sẽ gây ra mất không, hãy giải thích?
Câu 39: Phân loại chi phí
- Chi phí là tổn thất DN bỏ ra để thực hiện quá trình san xuất, kinh doanh của mình
*Căn cứ vào nội dung, tính chất
Tại sao khi đưa ra chi phí sản xuất cần tính cả chi phí cơ hội hiện và chi phí cơ hội
ẩn? giúp đưa ra quyết định kinh doanh tối ưu, giảm thiểu rủi ro và tối đa hóa lợi nhuận.
Câu 40: Trình bày cân bằng dài hạn và cân bằng ngắn hạn của thị trường cạnh tranh độc quyền CBNH CBDH
- DN sản xuất tại Tpmax MR=MC
- DN Sản xuất tại LMR=LMC
- Ban đầu, DN có Tpmax >0 tạo
động cơ cho những doanh nghiệp
mới gia nhập thị trường Thị
phần của DN giảm Đường cầu
dịch chuyển dần xuống dưới, đến
khi tiếp xúc với LATC. Tại đây Tpkte=0, CBDH đạt được
- Tóm lại, CBDH với TTCTĐQ {𝐿𝑀𝑅 = 𝐿𝑀𝐶
𝑃∗= 𝐿𝐴𝑇𝐶(= 𝐿𝐴𝑇𝐶𝑚𝑖𝑛)
Câu 41: So sánh cân bằng dài hạn của CTHH và CTĐQ? Tại sao chính phủ không
điều tiết thị trường này?
- CTĐQ là thị trường đó có nhiều người bán một sản phẩm nhất định nhưng sản phẩm
của mỗi người bán ít nhiều có sự phân biệt đối với người tiêu dùng
- CTHH là thị trường có nhiều người bán và người mua, không quyết định của người
bán hay người mua nào có thể thay đổi giá cả thị trường CTHH CTĐQ