












Preview text:
lOMoARcPSD|61975156
Bài tập truyền động điện
Truyền động điện (Trường Đại học Bách khoa Hà Nội) Scan to open on Studeersnel
Studocu is not sponsored or endorsed by any college or university
Downloaded by giang lê (legiang6@gmail.com) lOMoARcPSD|61975156
Bài tập truyền động điện
Trịnh Bảo Ngọc - 20181680
Họ và tên: TRỊNH BẢO NGỌC
BÀI TẬP TRUYỀN ĐỘNG ĐIỆN MSSV 20181680 Mã lớp: 126004
1. Cho động cơ 1 chiều kích từ độc lập có các thông số sau:
Pđm = 31.5(kW), nrate = 995(rpm), Trate = 302(Nm), Irate = 90(A),
Hiệu suất 𝜂 = 79%, RA = 0.65(Ω), LA = 6.6(mH).
a. Vẽ đặc tính cơ điện tự nhiên của động cơ
b. Tính toán điện trở phụ để dòng điện đỉnh lúc khởi động ILR = 2.5Irate
c. Giả sử tải thế năng có TLoad = 0.5Trate.
• Tính điện trở phụ để hạ tải với vận tốc 𝑛ℎ = −0.5𝑛𝑟𝑎𝑡𝑒.
• Vẽ sơ đồ thực hiện và đặc tính cơ điện tương ứng GIẢI
a. Điện áp định mức của động cơ: 𝑃 31500 𝑈 đ𝑚 đ𝑚 = = = 443.04 (𝑉) 𝐼𝑟𝑎𝑡𝑒𝜂 90 × 0.79
Tốc độ định mức của động cơ: 𝑛 955 𝜔 𝑟𝑎𝑡𝑒 đ𝑚 = =
= 100 (𝑟𝑎𝑑/𝑠) 9.55 9.55
Phương trình đặc tình cơ điệ 𝑼
n: 𝝎 = 𝒂−𝑹𝒂𝑰𝒂 𝑲𝝓 𝑈 443.04 − 90 × 0.65
⇒ 𝐾𝜙 = đ𝑚 − 𝐼𝑟𝑎𝑡𝑒 × 𝑅𝑎 =
= 3.85 (𝑉. 𝑠/𝑟𝑎𝑑) 𝜔đ𝑚 100
Phương trình đặc tính cơ: 𝑼 𝑹 𝝎 = 𝒂 − 𝒂 𝑻 𝑲𝝓 (𝑲𝝓)𝟐
Đặc tính cơ tự nhiên của động cơ là đường thẳng đi qua 2 điểm sau:
• Điểm 1: A(ω=ωo; T=0) 𝑈 443.04 𝜔 = đ𝑚 =
= 115.08(𝑟𝑎𝑑/𝑠) 𝐾𝜙 3.85 ⇒ 𝐴 (115.08 ; 0)
• Điểm 2: B(ω=ωđm; T=𝑻đ𝒎) ⇒ 𝐵 (100 ; 302) 1
Downloaded by giang lê (legiang6@gmail.com) lOMoARcPSD|61975156
Bài tập truyền động điện
Trịnh Bảo Ngọc - 20181680
Từ hai điểm trên, ta có đường đặc tính cơ của động cơ như sau:
b. Chọn dòng điện khởi động lớn nhất:
𝐼𝐿𝑅 = 2.5𝐼𝑟𝑎𝑡𝑒 = 2.5 × 90 = 225 (𝐴)
Chọn dòng điện khởi động nhỏ nhất:
𝐼2 = 1.1𝐼𝑟𝑎𝑡𝑒 = 1.1 × 90 = 9.9(𝐴)
Điện trở ứng với giá trị ILR : 𝑈 443.04 𝑅 đ𝑚 𝑀𝑎𝑥 = = = 1.97(Ω) 𝐼𝐿𝑅 225 𝐼 225
Lấy tỉ số các dòng điện khởi động không đổi: 𝜆 = 𝐿𝑅 = = 2.27 𝐼2 9.9
Điện trở các bậc khởi động:
𝑅1 = 𝜆𝑅𝐴 = 2.27 × 0.65 = 1.4755 (Ω)
𝑅2 = 𝜆𝑅1 = 2.27 × 1.4755 = 3.35 (Ω) > 𝑅𝑀𝑎𝑥
Các điện trở phụ:
𝑅𝑠𝑡1 = 𝑅1 − 𝑅𝐴 = 1.48 − 0,65 = 0.83 (𝛺)
𝑅𝑠𝑡2 = 𝑅2 − 𝑅1 = 3.35 − 1.48 = 1.87 (𝛺) 2
Downloaded by giang lê (legiang6@gmail.com) lOMoARcPSD|61975156
Bài tập truyền động điện
Trịnh Bảo Ngọc - 20181680 Sơ đồ thực hiện:
Đường đặc tính cơ điện: c. Tải thế năng:
𝑇𝑙𝑜𝑎𝑑 = 0.5𝑇𝑟𝑎𝑡𝑒 = 0.5 × 302 = 151(𝑁. 𝑚) Vận tốc hạ tải:
𝜔ℎ = −0.5𝜔𝑟𝑎𝑡𝑒 = −0.5 × 100 = −50 (𝑟𝑎𝑑/𝑠)
Áp dụng công thức hãm ngược do thế năng: 𝑉 𝑅𝑎 − 𝑅𝑎𝑑𝑗 𝜔 đ𝑚 ℎ = − 𝑇 𝐾𝜙 (𝐾𝜙)2 𝐿 𝑉 (𝐾𝜙)2 443.04 3.852 ⇒ 𝑅 đ𝑚 𝑎𝑑𝑗 = ( − 𝜔 − 𝑅 + 50)
− 0.65 = 15.56 (𝛺) 𝐾𝜙 ℎ) 𝑇 𝑎 = ( 𝐿 3.85 151
Vậy điện trở phụ để hạ tải với vận tốc -50 rad/s là 15.56 3
Downloaded by giang lê (legiang6@gmail.com) lOMoARcPSD|61975156
Bài tập truyền động điện
Trịnh Bảo Ngọc - 20181680 Sơ đồ thực hiện:
Đường đặc tính cơ điện: 4
Downloaded by giang lê (legiang6@gmail.com) lOMoARcPSD|61975156
Bài tập truyền động điện
Trịnh Bảo Ngọc - 20181680
2. Cho động cơ 1 chiều kích từ độc lập có các thông số sau:
Pđm = 127(kW), nrate = 1420(rpm), Trate = 885(Nm), Irate = 326(A),
Hiệu suất 𝜂 = 91%, RA = 0.074(Ω), LA = 1.91(mH).
a. Vẽ đặc tính cơ điện tự nhiên của động cơ.
b. Giả sử động cơ đang vận hành ở chế độ định mức thì đột ngột giảm một nửa điện áp
phần ứng. Hãy tính dòng điện ở thời điểm chuyển trạng thái và vẽ đặc tính cơ điện
trong quá trình chuyển điểm làm việc. GIẢI
a. Điện áp định mức của động cơ: 𝑃 127000 𝑈 đ𝑚 đ𝑚 = = = 428.1 (𝑉) 𝐼𝑟𝑎𝑡𝑒𝜂 326 × 0.91
Tốc độ định mức của động cơ: 𝑛 1420 𝜔 𝑟𝑎𝑡𝑒 đ𝑚 = =
= 148.69 (𝑟𝑎𝑑/𝑠) 9.55 9.55
Phương trình đặc tình cơ điệ 𝑼
n: 𝝎 = 𝒂−𝑹𝒂𝑰𝒂 𝑲𝝓 𝑈 428.1 − 326 × 0.074
⇒ 𝐾𝜙 = đ𝑚 − 𝐼𝑟𝑎𝑡𝑒 × 𝑅𝑎 =
= 2.717 (𝑉. 𝑠/𝑟𝑎𝑑) 𝜔đ𝑚 148.69
Phương trình đặc tính cơ: 𝑼 𝑹 𝝎 = 𝒂 − 𝒂 𝑻 𝑲𝝓 (𝑲𝝓)𝟐
Đặc tính cơ tự nhiên của động cơ là đường thẳng đi qua 2 điểm sau:
• Điểm 1: A(ω=ωo; T=0) 𝑈 428.1 𝜔 = đ𝑚 =
= 157.56(𝑟𝑎𝑑/𝑠) 𝐾𝜙 2.717 ⇒ 𝐴 (157.56 ; 0)
• Điểm 2: B(ω=ωđm; T=𝑻đ𝒎)
⇒ 𝐵 (148.69 ; 885) 5
Downloaded by giang lê (legiang6@gmail.com) lOMoARcPSD|61975156
Bài tập truyền động điện
Trịnh Bảo Ngọc - 20181680
Từ hai điểm trên, ta có đường đặc tính cơ của động cơ như sau:
b. Ở chế độ định mức: đặc tính cơ điện của động cơ là đường thẳng có phương trình: 𝑼 𝟒𝟐𝟖. 𝟏 𝟎. 𝟎𝟕𝟒 𝝎 𝒂 − 𝑹𝒂𝑰𝒂 1 = = − 𝑰 𝑲𝝓 𝟐. 𝟕𝟏𝟕
𝟐. 𝟕𝟏𝟕 𝒂 = 𝟏𝟓𝟕. 𝟓𝟔𝟑 − 𝟎. 𝟎𝟐𝟕𝑰𝒂
Giả sử động cơ đang vận hành ở chế độ định mức thì đột ngột giảm một nửa điện
áp phần ứng. Đường đặc tính cơ điện tương ứng với điện áp giảm một nửa có phương trình:
𝝎2 = 𝟕𝟖. 𝟕𝟖𝟐 − 𝟎. 𝟎𝟐𝟕𝑰𝒂
Ở thời điểm chuyển trạng thái:
𝜔2 = 𝜔1 = 148.69 (𝑟𝑎𝑑/𝑠)
⇒ 78.782 − 0.027𝐼𝑎 = 148.69 ⇒ 𝐼𝑎 = −2589.185 (𝐴) Đặc tính cơ điện: 6
Downloaded by giang lê (legiang6@gmail.com) lOMoARcPSD|61975156
Bài tập truyền động điện
Trịnh Bảo Ngọc - 20181680
3. Cho động cơ không đồng bộ 3 pha rotor lồng sóc có thông số sau:
frate = 50Hz, Δ/𝑌: 230/400𝑉
Prate = 15kW, nrate = 1475rpm, Trate = 97Nm, 𝑐𝑜𝑠𝜙𝑟𝑎𝑡𝑒 = 0.85, Irate = 28A, 𝐼
Hệ số dòng khởi động: 𝜆 𝐿𝑅 𝐼 = = 7.3 𝐼𝑟𝑎𝑡𝑒 𝑇
Hệ số mômen khởi động: 𝜆 𝐿𝑅 𝐿𝑅 = = 2.3 𝑇𝑟𝑎𝑡𝑒 𝑇 Hệ số quá tải: 𝜆 𝐵 𝐵 = = 3.0 𝑇𝑟𝑎𝑡𝑒
Coi đoạn đặc tính có s ≤ sth là thẳng và bỏ qua điện trở stator.
a. Vẽ đường đặc tính cơ tự nhiên của động cơ
b. Tính tốc độ động cơ khi mômen tải bằng 0.5Trate
c. Nếu điện áp giảm còn 0.5Urate, động cơ khởi động được với mômen tải trong dải nào? GIẢI 60𝑓 a. Tốc độ rotor: 𝑛0 = với 𝑛 𝑝
0 ≈ 𝑛𝑟𝑎𝑡𝑒 và 𝑝 ∈ ℕ ∗ 60𝑓 60 × 50 ⇒ 𝑛0 = = = 1500 (𝑟𝑝𝑚) 𝑝 2 𝑛 1500 𝜔 0 0 = =
= 157.068(𝑟𝑎𝑑/𝑠) 9.55 9.55
Momen tới hạn: 𝑇𝐵 = 𝜆𝐵𝑇𝑟𝑎𝑡𝑒 = 3 × 97 = 291 (𝑁. 𝑚) Độ 𝑛 1500−1475 1
trượt động cơ định mức: 𝑠 𝑟𝑎𝑡𝑒− 𝑛0 𝑟 = = = 𝑛𝑟𝑎𝑡𝑒 1500 60
Coi đoạn đặc tính có 𝑠 ≤ 𝑠𝑡ℎ là thẳng và bỏ qua điện trở stator: Độ trượt tới hạn: 1 𝑠 2
𝑡ℎ ≈ 𝑠𝑟 (𝜆𝐵 + √𝜆𝐵 − 1) = (3 + √32 − 1) = 0.097 60
Áp dụng Phương trình momen giản lược: 2𝑇 2 × 291 𝑇 = 𝐵 𝑠 𝑠 = 𝑡ℎ 𝑠 0.097 𝑠 + 𝑡ℎ 𝑠 0.097 + 𝑠
Với 𝜔 = 𝜔0 − 𝜔0𝑠 = 157.068 − 157.068𝑠
Đặc tính cơ tự nhiên của động cơ đi qua các điểm sau:
• Điểm không tải A: T=0 (Nm) ; s=0 ⇒ 𝜔 = 𝜔0 − 𝜔0𝑠 = 157.068(𝑟𝑎𝑑/𝑠) Ta có A(157.068 ; 0)
• Điểm định mức B: T=Trate=97 (Nm) ; s=sx 2𝑇 2 × 291 𝑠
𝜔 = 68.262 (𝑟𝑎𝑑/𝑠) 𝑇 𝐵 𝑥 = 0.5654 𝑟𝑎𝑡𝑒 = 𝑠 ⇒ 97 = ⟹ [ ⟹ [ 𝑥 𝑠𝑡ℎ 𝑠𝑥 0.097 𝑠
𝜔 = 154.461 (𝑟𝑎𝑑/𝑠) 𝑠 + 𝑥 = 0.0166 𝑡ℎ 𝑠𝑥 0.097 + 𝑠𝑥 7
Downloaded by giang lê (legiang6@gmail.com) lOMoARcPSD|61975156
Bài tập truyền động điện
Trịnh Bảo Ngọc - 20181680
Ta có: B1 (68.262 ; 97) B2 (154.461 ; 97)
• Điểm tới hạn C: T=TB=291 (Nm) ; s=sth=0.097
⇒ 𝜔 = 𝜔0 − 𝜔0𝑠 = 141.832(𝑟𝑎𝑑/𝑠) Ta có: C (141.832 ; 291)
Điểm ngắn mạch D: s=1 ; T=Tn
⇒ 𝜔 = 𝜔0 − 𝜔0𝑠 = 0(𝑟𝑎𝑑/𝑠) 2 × 291 𝑇𝑛 = = 55.927 (𝑁. 𝑚) 1 0.097 0.097 + 1 Ta có: D (0 ; 55.927)
Đường đặc tính cơ tự nhiên của động cơ:
b. 𝑇 = 0.5𝑇𝑟𝑎𝑡𝑒 = 0.5 × 97 = 48.5(𝑁. 𝑚) 2 × 291 ⇒ 48.5 = ⇒ 𝑠 = 0.00814 𝑠 0.097 0.097 + 𝑠
⇒ 𝜔 = 𝜔0 − 𝜔0𝑠 = 157.068 − 157.068 × 0.00814 = 155.789(𝑟𝑎𝑑/𝑠)
Tốc độ động cơ: 𝜔 = 155.789(𝑟𝑎𝑑/𝑠)
c. Ở trạng thái khởi động: 𝜔 = 0 hay 𝑠 = 1 8
Downloaded by giang lê (legiang6@gmail.com) lOMoARcPSD|61975156
Bài tập truyền động điện
Trịnh Bảo Ngọc - 20181680 3𝑉 2 Momen tải tới hạn: 𝑇 𝑠 𝑒𝑀𝑎𝑥 = 2𝜔 2 2
0(𝑅𝑠+√𝑅𝑠 +𝑋𝑠𝑟 ) 3𝑉 2
Momen tải khởi động: 𝑇 𝑠 𝑠𝑡𝑎𝑟𝑡 = 2𝜔 2 2 𝑟(𝑅𝑠 +𝑋𝑠𝑟 ) Với V giảm còn 0.5Vrate;
TeMax=0.52TB=0.25 × 291 = 72.75(𝑁. 𝑚)
Tstart=0.52TLR=0.25 × 223.1 = 55.775(𝑁. 𝑚)
Vậy động cơ khởi động được với Momen tải trong dải từ 55.775 Nm đến 72.75 Nm 9
Downloaded by giang lê (legiang6@gmail.com) lOMoARcPSD|61975156
Bài tập truyền động điện
Trịnh Bảo Ngọc - 20181680
4. Cho động cơ không đồng bộ 3 pha rotor lồng sóc có thông số sau:
frate = 50Hz, Δ/𝑌: 230/400𝑉
Prate = 18.5kW, nrate = 2955rpm, Trate = 60Nm, 𝑐𝑜𝑠𝜙𝑟𝑎𝑡𝑒 = 0.88, Irate = 33.5A, 𝐼
Hệ số dòng khởi động: 𝜆 𝐿𝑅 𝐼 = = 7.9 𝐼𝑟𝑎𝑡𝑒 𝑇
Hệ số mômen khởi động: 𝜆 𝐿𝑅 𝐿𝑅 = = 2.9 𝑇𝑟𝑎𝑡𝑒 𝑇 Hệ số quá tải: 𝜆 𝐵 𝐵 = = 3.6 𝑇𝑟𝑎𝑡𝑒
Coi đoạn đặc tính có s ≤ sth là thẳng và bỏ qua điện trở stator.
a. Vẽ đường đặc tính cơ tự nhiên của động cơ.
b. Vẽ đường đặc tính cơ khi giảm điện áp còn 50% giá trị định mức. GIẢI 60𝑓 a. Tốc độ rotor: 𝑛0 = với 𝑛 𝑝
0 ≈ 𝑛𝑟𝑎𝑡𝑒 và 𝑝 ∈ ℕ ∗ 60𝑓 60 × 50 ⇒ 𝑛0 = = = 3000 (𝑟𝑝𝑚) 𝑝 1 𝑛 3000 𝜔 0 0 = = = 314.14 (𝑟𝑎𝑑/𝑠) 9.55 9.55
Momen tới hạn: 𝑇𝐵 = 𝜆𝐵𝑇𝑟𝑎𝑡𝑒 = 3.6 × 60 = 216 (𝑁. 𝑚) Độ 𝑛 3000−2955
trượt động cơ định mức: 𝑠 𝑟𝑎𝑡𝑒− 𝑛0 𝑟 = = = 0.015 𝑛𝑟𝑎𝑡𝑒 3000
Coi đoạn đặc tính có 𝑠 ≤ 𝑠𝑡ℎ là thẳng và bỏ qua điện trở stator: Độ trượt tới hạn: 𝑠 2
𝑡ℎ ≈ 𝑠𝑟 (𝜆𝐵 + √𝜆𝐵
− 1) = 0.015 (3.6 + √3.62 − 1) = 0.1059
Áp dụng Phương trình momen giản lược: 2𝑇 2 × 216 𝑇 = 𝐵 𝑠 𝑠 = 𝑡ℎ 𝑠 0.1059 𝑠 + + 𝑡ℎ 𝑠 0.1059 𝑠
Với 𝜔 = 𝜔0 − 𝜔0𝑠 = 314.14 − 314.14𝑠
Đặc tính cơ tự nhiên của động cơ đi qua các điểm sau:
• Điểm không tải A: T=0 (Nm) ; s=0 ⇒ 𝜔 = 𝜔0 − 𝜔0𝑠 = 314.14(𝑟𝑎𝑑/𝑠) Ta có A(314.14 ; 0)
• Điểm định mức B: T=Trate=60 (Nm) ; s=sx 2𝑇 2 × 216 𝑠
𝜔 = 79.32 (𝑟𝑎𝑑/𝑠) 𝑇 𝐵 𝑥 = 0.7475 𝑟𝑎𝑡𝑒 = 𝑠 ⇒ 60 = ⟹ [ ⟹ [ 𝑥 𝑠𝑡ℎ 𝑠𝑥 0.1059 𝑠
𝜔 = 309.43 (𝑟𝑎𝑑/𝑠) 𝑠 + + 𝑥 = 0.015 𝑡ℎ 𝑠𝑥 0.1059 𝑠𝑥
Ta có: B1 (79.32 ; 60) 10
Downloaded by giang lê (legiang6@gmail.com) lOMoARcPSD|61975156
Bài tập truyền động điện
Trịnh Bảo Ngọc - 20181680 B2 (309.43 ; 60)
• Điểm tới hạn C: T=TB=216 (Nm) ; s=sth=0.1059
⇒ 𝜔 = 𝜔0 − 𝜔0𝑠 = 280.87(𝑟𝑎𝑑/𝑠) Ta có: C (280.87 ; 216)
Điểm ngắn mạch D: s=1 ; T=Tn
⇒ 𝜔 = 𝜔0 − 𝜔0𝑠 = 0(𝑟𝑎𝑑/𝑠) 2 × 216 𝑇𝑛 = = 45.24 (𝑁. 𝑚) 1 0.1059 + 0.1059 1 Ta có: D (0 ; 45.24)
Đường đặc tính cơ tự nhiên của động cơ:
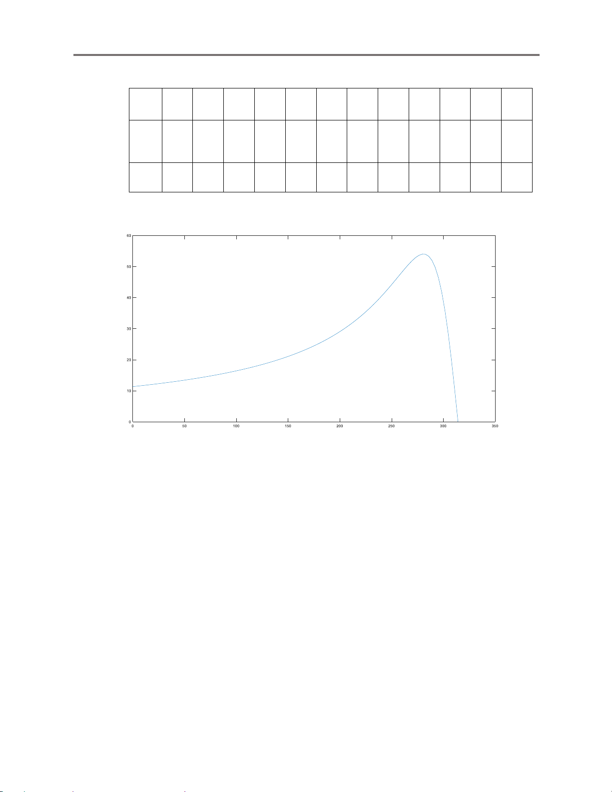
b. Khi điện áp giảm còn 50%:
Tốc độ rotor không đổi: 𝜔0 = 314.14 (𝑟𝑎𝑑/𝑠)
Độ trượt tới hạn không đổi: 𝑠𝑡ℎ = 0.1059
Momen tới hạn: 𝑇𝐵 = 0.52 × 216 = 54 (𝑁. 𝑚)
Áp dụng Phương trình momen giản lược: 2𝑇 2 × 54 𝑇 = 𝐵 𝑠 𝑠 = 𝑡ℎ 𝑠 0.1059 𝑠 + + 𝑡ℎ 𝑠 0.1059 𝑠
Với 𝜔 = 𝜔0 − 𝜔0𝑠 = 314.14 − 314.14𝑠 11
Downloaded by giang lê (legiang6@gmail.com) lOMoARcPSD|61975156
Bài tập truyền động điện
Trịnh Bảo Ngọc - 20181680
Với s=1~0, ta có bảng sau: s 0 0.1 0.1 0.2 0.3 0.4 0.5 0.6 0.7 0.8 0.9 1 059 T 0 53. 54 44. 33. 26. 21. 18. 15. 14. 12. 11. 911
664 900 720 892 486 973 050 534 310 𝜔 314. 282. 280. 251. 219. 188. 157. 125. 94.2 62.8 31.4 0 140 726 873 312 898 484 070 656 420 280 140
Đường đặc tính cơ tự nhiên của động cơ: 12
Downloaded by giang lê (legiang6@gmail.com)