Report tài liệu
Chia sẻ tài liệu
Bài tập ôn tập | Phương trình vi phân | Trường Đại học Khoa học Tự nhiên, Đại học Quốc gia Hà Nội
Tài liệu được sưu tầm và soạn thảo dưới dạng file PDF với mục đích hỗ trợ học tập và tham khảo. Nội dung tài liệu được trình bày rõ ràng, dễ tiếp cận, phù hợp cho việc ôn tập và củng cố kiến thức trong quá trình học đại học. Đây sẽ là nguồn tư liệu hữu ích giúp các bạn sinh viên chuẩn bị tốt hơn cho các buổi học, đồng thời mở rộng thêm hiểu biết về môn học. Hy vọng tài liệu này sẽ mang lại nhiều giá trị và hỗ trợ các bạn trong hành trình học tập. Mời bạn đọc cùng tham khảo!
Môn: Phương trình vi phân (HUS) 10 tài liệu
Trường: Trường Đại học Khoa học tự nhiên, Đại học Quốc gia Hà Nội 1.1 K tài liệu
Tác giả:


















Tài liệu khác của Trường Đại học Khoa học tự nhiên, Đại học Quốc gia Hà Nội
Preview text:
Bài tập ôn tập PTVP
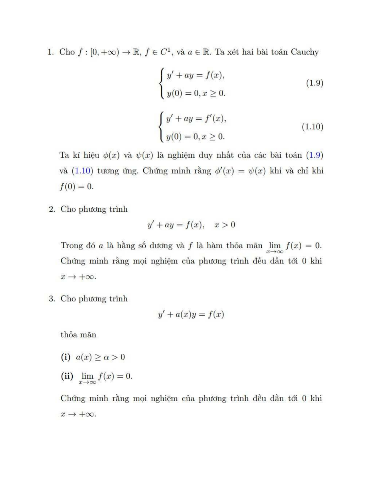
Ptvp cấp 1:
Bài tập định lượng
Bài tập định tính PTVP cấp cao
Bài tập định lượng
Bài tập định tính
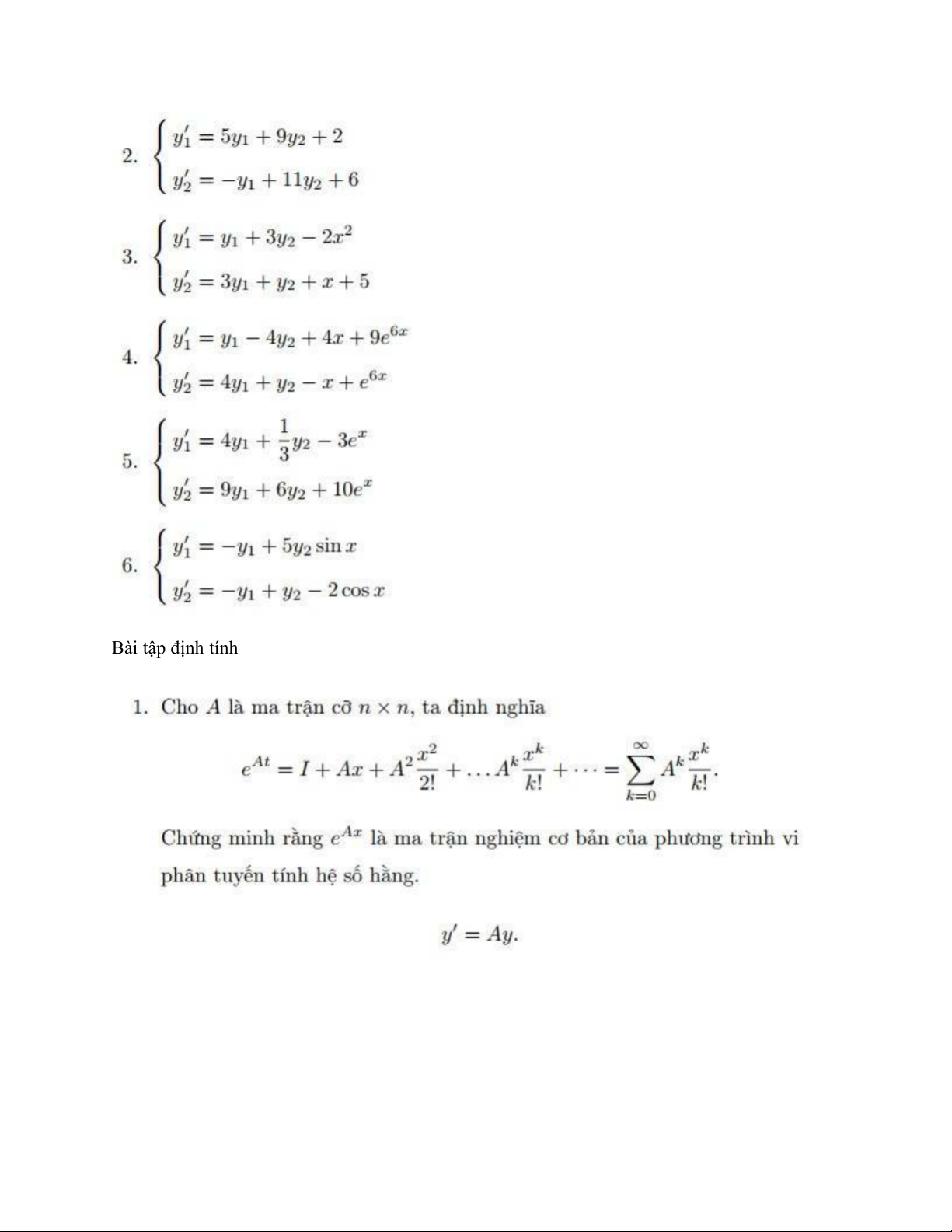
Hệ Phương trình
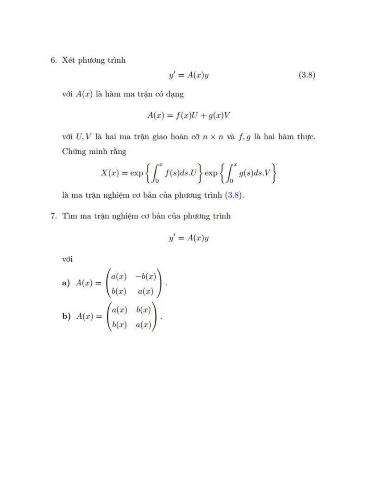
Bài tập định tính
Tài liệu liên quan:
-
Tổng hợp 201 Bài tập phương trình vi phân | Phương trình vi phân | Trường Đại học Khoa học Tự nhiên, Đại học Quốc gia Hà Nội
285 143 -
Tìm hiểu về Hệ thống Tệp Phân tán Hadoop | Phương trình vi phân | Trường Đại học Khoa học Tự nhiên, Đại học Quốc gia Hà Nội
63 32 -
Đề Thi Số 2 Môn Phương trình vi phân & Đạo Hàm riêng | Phương trình vi phân | Trường Đại học Khoa học Tự nhiên, Đại học Quốc gia Hà Nội
101 51 -
Bài tập áp dụng phương trình vi phân | Phương trình vi phân | Trường Đại học Khoa học Tự nhiên, Đại học Quốc gia Hà Nội
75 38