Report tài liệu
Chia sẻ tài liệu
Bài tập Phương trình vi phân và hệ phương trình môn Giải tích 3 | Trường Đại học Bách Khoa Hà Nội
Bài tập Phương trình vi phân và hệ phương trình môn Giải tích 3. Tài liệu được sưu tầm gồm 17 trang, giúp các bạn ôn luyện và phục vụ cho việc học tập, đạt kết quả tốt. Mời các bạn đón xem!
Môn: Giải tích 3 11 tài liệu
Trường: Đại học Bách Khoa Hà Nội 5.4 K tài liệu
Tác giả:

















Tài liệu khác của Đại học Bách Khoa Hà Nội
Preview text:
Bài tập phương trình vi phân: Thầy Trịnh Ngọc Hải
A. Phương trình cấp 1
1. Phương trình phân ly biến số: Bài tập:51-65
2. Phương trình đẳng cấp: Bài tập:101-129
3. Phương trình tuyến tính cấp 1: Bài tập:137-171
4. Phương trình vi phân toàn phần: Bài tập:186-220
5. Phương trình không giải được đối với đạo hàm: Bài tập:241-296
6. Các dạng phương trình bậc nhất khác: Bài tập:301-420
B. Phương trình cấp 2 1. Phương trình bậc 2 hạ cấp được: Bài tập:423-505
2. Phương trình tuyến tính cấp 2 hệ số biến thiên: Bài tập:511-611
3. Phương trình tuyến tính cấp 2 hệ số hằng số: Bài tập:681-700
C. Hệ phương trình
4. Hệ phương trình tuyến tính với hệ số hằng số: Bài tập:786-873
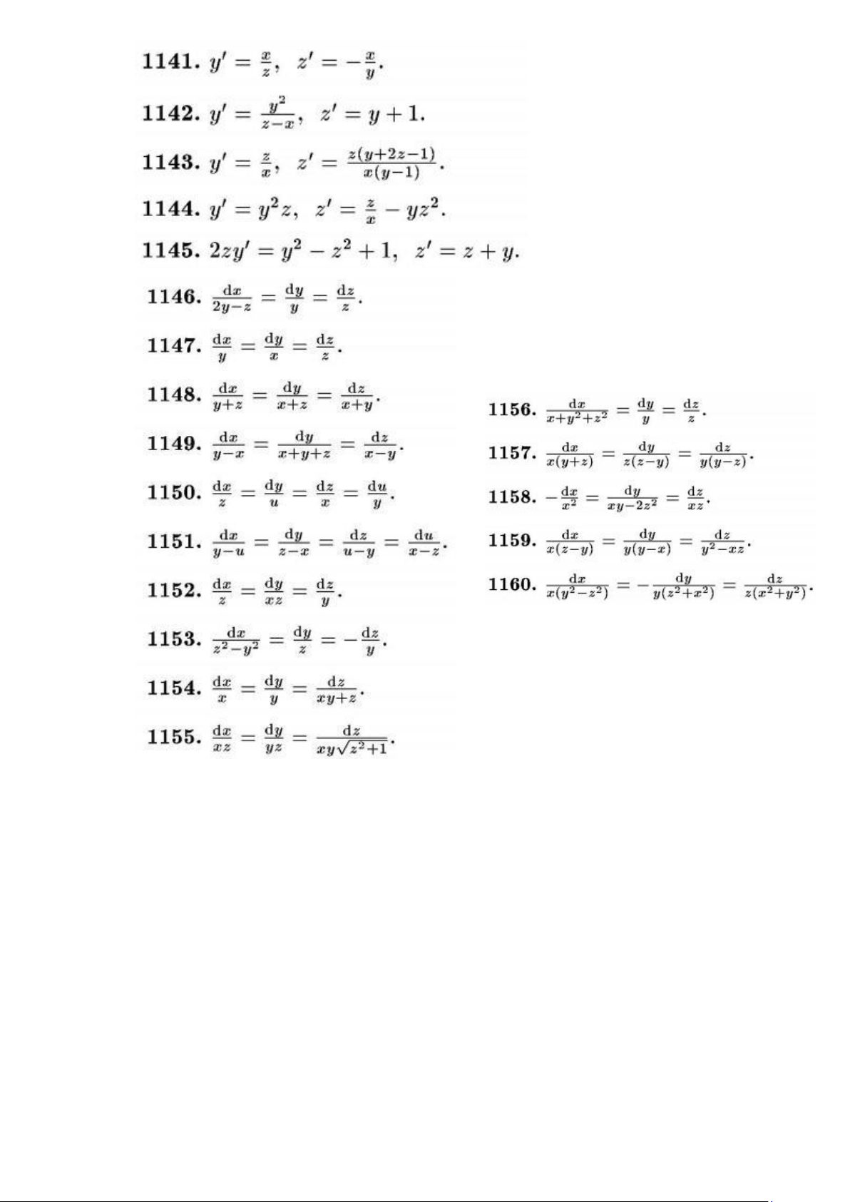
5. Hệ phương trình phi tuyến: Bài tập:1141-1160
Tài liệu liên quan:
-
Tài Liệu Tóm Tắt Lý Thuyết Giải Tích 3 - HUST (GT3)
11 6 -
Đề trắc nghiệm môn Giải tích 3 | Trường Đại học Bách Khoa Hà Nội
86 43 -
Tóm tắt lý thuyết và bài tập môn Giải tích 3 | Trường Đại học Bách Khoa Hà Nội
220 110 -
Bài 1: Tính chất và định nghĩa của chuỗi số dương môn Giải tích 3 | Trường Đại học Bách Khoa Hà Nội
88 44 -
Đề và lời giải chi tiết đề thi cuối kỳ môn Giải tích 3 | Trường Đại học Bách Khoa Hà Nội
106 53