





Preview text:
Bài tập Tích phân kép Blog: www.caotu28.blogspot.com
BÀI TẬP TÍCH PHÂN KÉP
(Lưu ý: Tài liệu đã cho chưa được thẩm định nên có phần chưa chính xác hoàn toàn) y
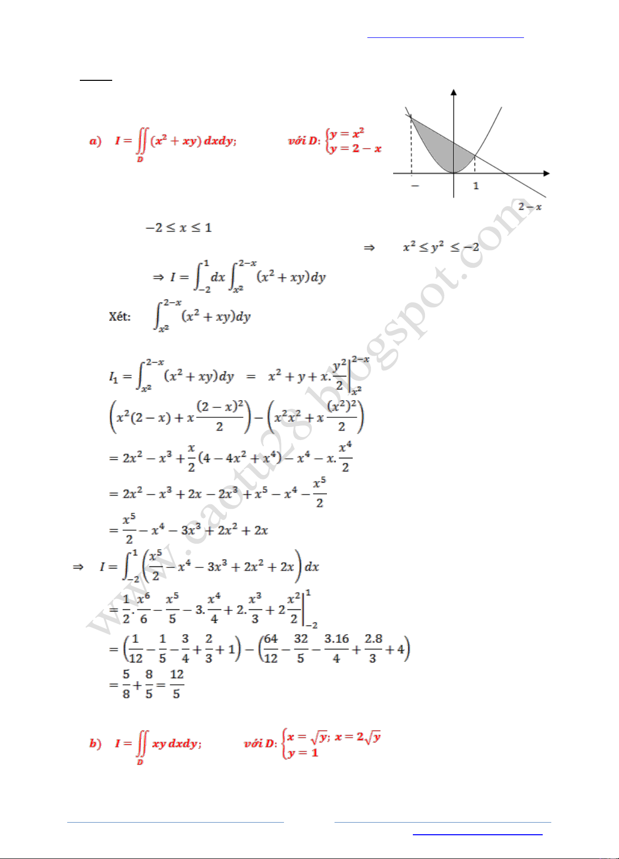
Tính các tích phân kép: y = x2
Cho x2 = 2 – x để xác định giao điểm của hai đường: x y = x2 và y = 2 – x 1= 2 x2= x x2 + x = 0 có 2 nghiệm: x y= 1 = 1 và x2 = – 2 Vậy:
Vì đường y = 2 – x nằm trên đường y = x2
Tính tích phân theo y, coi x như hằng số:
Để cho “dễ nhìn, quen mặt”, ta đặt x = y Trang 1
ST&BS: Cao Văn Tú
Email: caotua5lg3@gmail.com
Bài tập Tích phân kép Blog: www. y caotu28.blogspot.com dx = dy. y=2 Tích phân I không đổi. Vẽ 2 : y= x = 0, y = 0; 1 x = 1, y = 1; x = 4, y = 2. x Vẽ 4 Vậy: D: x = 1 nên: y= đổi trục tọa độ: x = rcos y = rsin 1 r2cos2 + r2sin2 1 r2(cos2 + sin2 1 r2 ((cos2 + sin2 y = 12 r2 22 1 r x y
lấy dấu = để tính 2 con x = y ; (vì x = y) Trang 2
ST&BS: Cao Văn Tú
Email: caotua5lg3@gmail.com
Bài tập Tích phân kép Blog: www.caotu28.blogspot.com y = ; Bấm máy y sai đặt: x – 1 = rcos r2cos2 + r2sin2 =12 x đúng y = rsin r2 =12 vậy: vì y (vì r không âm) (thì sin y x Trang 3
ST&BS: Cao Văn Tú
Email: caotua5lg3@gmail.com
Bài tập Tích phân kép Blog: www.caotu28.blogspot.com Xét: Đặt lại: x = rcos y = rsin r2 =2rcos r = 2cos Trang 4
ST&BS: Cao Văn Tú
Email: caotua5lg3@gmail.com
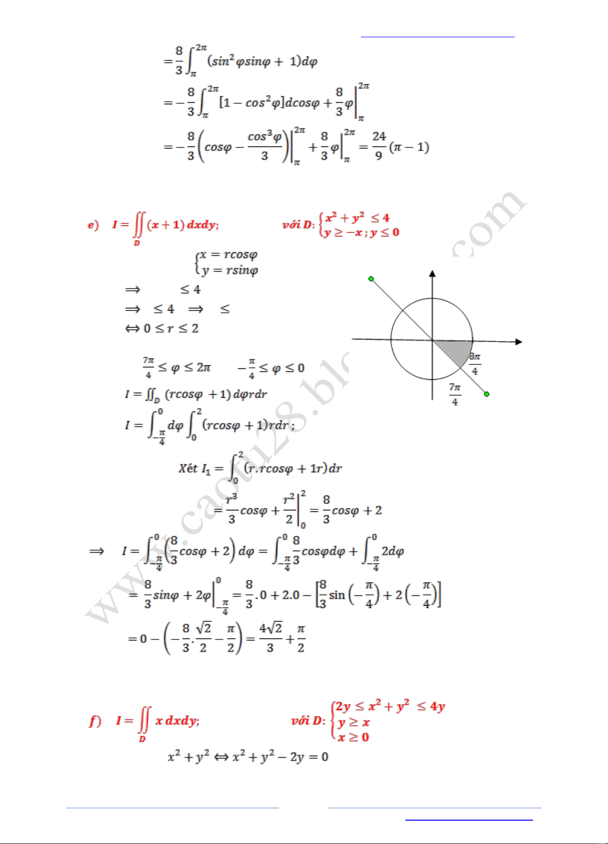
Bài tập Tích phân kép Blog: www.caotu28.blogspot.com Đổi biến: D: y x2 + y2 r2 r2 22 Nhìn vào hình: hay x y = x 2y = Trang 5
ST&BS: Cao Văn Tú
Email: caotua5lg3@gmail.com
Bài tập Tích phân kép Blog: www.caotu28.blogspot.com
(a) Đường tròn tâm I(0, 1) bán kính r = 1. y = x y (b) Đường
tròn tâm I (0, 2) bán kính r 1 1 = 2. (a) (b) x 1 2 Kết hợp: y x cận dưới x 0 cận trên Xét Trang 6
ST&BS: Cao Văn Tú
Email: caotua5lg3@gmail.com