














Preview text:
Chương 1:
Mô hình kinh tế là gì? Ý nghĩa, cho ví dụ minh họa. Tại sao khi trình bày mô
hình về một nền kinh tế, người ta không cần đưa đầy đủ tất cả các tác nhân
kinh tế tham gia? Trình bày mối quan hệ của hai tác nhân kinh tế cơ bản.
KN: Mô hình kinh tế là công cụ sử dụng trong nghiên cứu, phân tích kinh tế học
Ý nghĩa: được sử dụng nhằm biểu đạt các mối quan hệ kinh tế giữa các tác nhân
kinh tế hoạt động trong một nền kinh tế
VD: Mô hình về vòng chu chuyển của nền kinh tế biểu thị mối quan hệ tương
tác giữa những hộ gia đình và hãng kinh doanh trên các thị trường:
⮚ Thị trường hàng hóa và dịch vụ: người mua (hộ gia đình) – người bán (hãng kinh doanh) ⮚
Thị trường yếu tố sản xuất: người mua ( hãng kinh doanh) – người bán (hộ gia đình)
Khi trình bày mô hình về một nền kinh tế, người ta không cần đưa đầy đủ tất cả
các tác nhân kinh tế tham gia vì:
- Để đơn giản hóa vấn đề, người ta chỉ nhấn mạnh chủ thể có vai trò quan trọng
nhất trong hoạt động kinh tế thị trường.Hai lực lượng quan trọng nhất ta phân
tích trong thị trường là người mua,người bán. Chỉ cần đưa 2 tác nhân ra để phân
tích thì ta đã hiểu được nền kinh tế hoạt động như thế nào 1 cách đơn giản nhất.
- Tuy nhiên khi nền kinh tế đi vào hoạt động thì nó lộ ra những vấn đề khác, thì
ta mới nói đến tác nhân sẽ xuất hiện trong nền kinh tế bất ổn, đó là chính phủ Chương 2,3:
1. Trình bày các cách xây dựng đường cầu về một hàng hóa.
cách 1: dựa vào biểu cầu
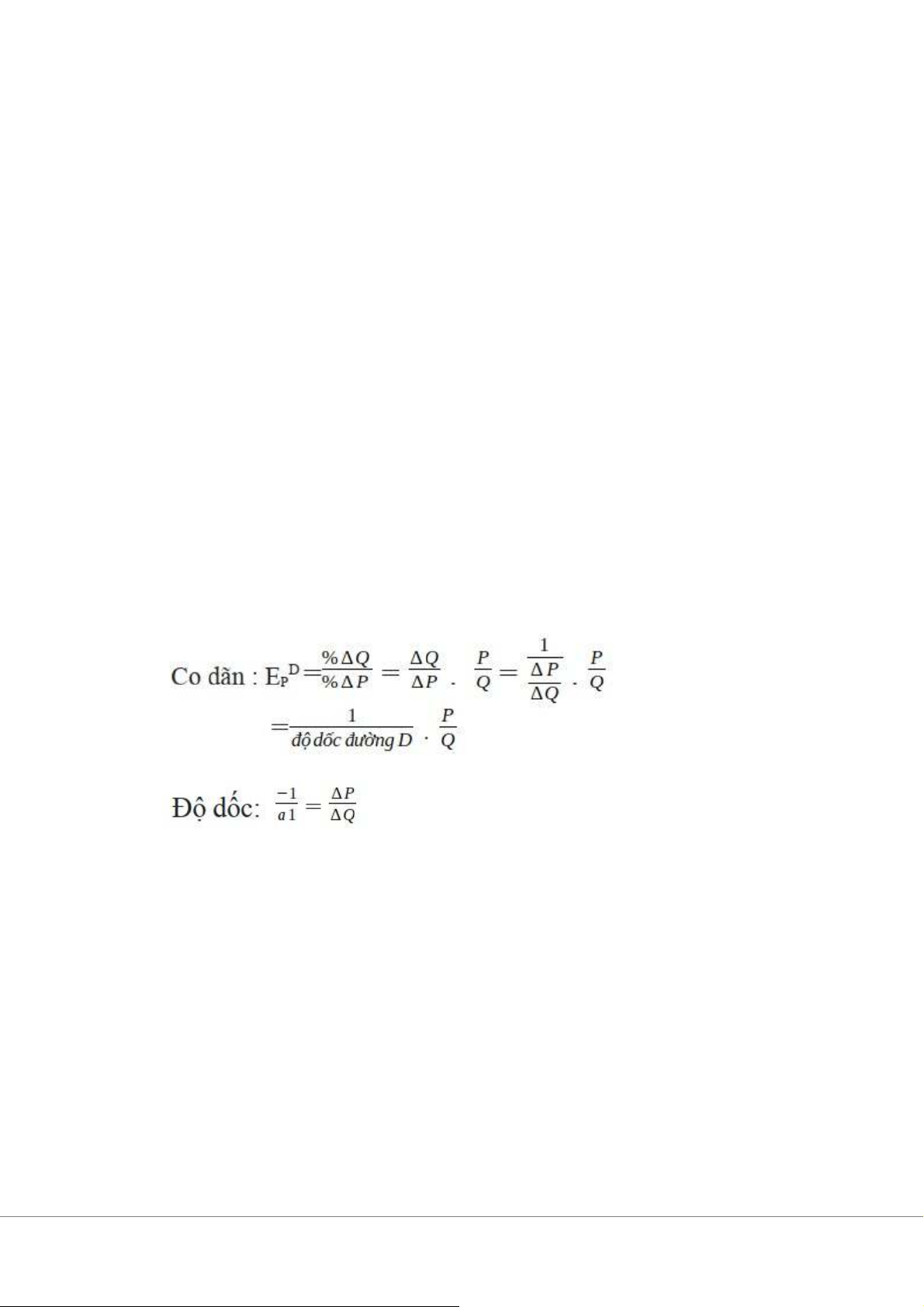
cách 2 : dựa vào hệ số co dãn của cầu EpD = -Q’(P).QP = -a1 . QP
cách 3: dựa vào đường lợi ích cận biên: MU=D
cách 4: dựa vào phương trình đường cầu: QD = a0 - a1P
2. Tại sao đường cầu dốc xuống. Độ dốc và độ co dãn có khác nhau không?
P tăng thì QD giảm. Lý do cho thấy lượng cầu có xu hướng giảm xuống khi
giá cả tăng lên có thể là:
⮚ Hiệu ứng thay thế: khi giá của một hàng hóa tăng lên người tiêu dùng sẽ
thay thế nó bằng cách chuyển sang tiêu dùng một hàng hóa khác tương tự
⮚ Hiệu ứng thu nhập khi giá một hàng hóa tăng lên người tiêu dung thấy
mình nghèo đi hơn trước vì vậy tự động cắt giảm việc tiêu dùng hàng hóa đó.
⮚ Do quy luật lợi ích cận biên giảm dần: lợi ích cận biên của việc tiêu dùng
thêm một đơn vị hàng hóa, dịch vụ sẽ có xu hướng giảm dần khi tăng số
lượng hàng hóa tiêu dùng đó trong quá trình lựa chọn. Giá sẵn sàng mua trên
đường cầu của mỗi cá nhân được xác định căn cứ vào lợi ích cận biên mà
mỗi đơn vị hàng hóa tiêu dung thêm đem lại. Căn cứ quy luật lợi ích cận biên
ta có thể xác định được đường cầu của mỗi cá nhân dốc xuống.
❖ Độ dốc và độ co dãn của đường cầu khác nhau: ⮚ Khái niệm:
▪ Co giãn :đo mức độ phản ứng của người tiêu dùng
▪ Độ dốc của đường cầu : độ nghiêng của đường cầu ⮚ Công thức tổng quát:
⮚ Độ co dãn không phải độ dốc của đường cầu D nhưng chúng có mối quan
hệ ngược chiều nhau. Độ dốc nhỏ thì độ co dãn lớn và ngược lại.
⮚ Dựa vào độ dốc ta phán đoán được độ co dãn tương ứng
⮚ Trên một đường cầu độ dốc tại mọi điểm không thay đổi còn độ co dãn thì
khác nhau tại các điểm khác nhau trên đường cầu
3. Phân biệt sự khác nhau giữa thay đổi của cầu và thay đổi lượng cầu. (sự
khác nhau giữa dịch chuyển và vận động của cầu).
4. Hàng hóa thay thế / hàng hóa bổ sung là gì? VD? Dựa vào thông tin nào
để nhận biết hai hàng hóa thuộc loại hàng thay thế hay hàng bổ sung cho nhau?
- Hàng hóa thay thế: để thỏa mãn nhu cầu thì người tiêu dùng có thể lựa chọn
chọn sử dụng loại hàng hóa này hoặc loại hàng hóa kia
VD: Dùng giải khát người ta có thể chọn nước ngọt thay thế cho bia
- Hàng hóa bổ sung: để thỏa mãn nhu cầu thì người tiêu dùng phát sinh đồng
thời nhu cầu sử dụng cả hai loại hàng hóa kết hợp với nhau.
VD: khi mua xe máy thì cần phải mua thêm xăng để xe hoạt động
- Dựa vào EPYD = (%∆ QYX): (%∆ Py)
o Nếu <0 thì là hh bổ sung
o Nếu >0 thì là hh thay thế
- Dựa vào hệ số co dãn chéo để phân biệt 2 loại hàng hóa: : EDxPy là chỉ số
phản ánh mức độ phản ánh của người tiêu dùng trước hang hóa x trước sự
biến động về giá của hàng hóa i.
+ EDxPy > 0: 2 hàng hóa có quan hệ thay thế
+ EDxPy < 0: 2 HH có quan hệ bổ sung
+ EDxPy = 0: 2 HH không có mối quan hệ gì
5. Hàng hóa cao cấp / thứ cấp là gì? VD? Dựa vào thông tin nào để nhận
biết hai hàng hóa thuộc loại hàng cao cấp/ thứ cấp?
- Hàng hóa thứ cấp là hàng hóa khi mà thu nhập tăng thì lượng cầu của hàng
hóa thứ cấp giảm. VD: 1 cái túi chỉ được may bình thường
- Hàng hóa cao cấp là hàng hóa khi mà thu nhập tăng thì lượng cầu của hàng
hóa cao cấp cũng tăng theo. VD: 1 cái túi hàng hiệu
- Dựa vào hệ số co dãn của cầu theo thu nhập để phân biệt được hàng hóa cao
cấp và hàng hóa thứ cấp: EDI = X
-Phân loại hàng hóa theo EDI:
+) EDI > 0 : Hàng hóa thông thường EDI > 1: hàng hóa xa xỉ
+) 0+) EDI < 0 : Hàng hóa thứ cấp
6. Trình bày phương pháp phân loại hàng hóa dựa vào độ co dãn của cầu?
Hệ số co dãn của cầu theo chính giá của HH đấy: + |EDP| > 1: HH xa xỉ
+ |EDP| < 1: HH thiết yếu, độc quyền, đặc biệt
+ |EDP| = 1: HH co dãn đơn vị
Dựa vào hệ số co dãn của cầu theo thu nhập: chỉ số EDI - chỉ số phản ánh
mức độ phản ứng của người tiêu dùng trước những biến động về thu nhập
+ EDI > 0: hàng hóa thông thường
+ EDI > 1: hàng hóa xa xỉ
+ 0 < EDI < 1: hàng hóa thiết yếu + EDI < 0: HH thứ cấp
+ EDI = 0: HH không liên quan đến thu nhập
Dựa vào hệ số co dãn của cầu theo giá chéo: EDxPy là chỉ số phản ánh mức
độ phản ánh của người tiêu dùng trước hàng hóa x trước sự biến động về giá của hàng hóa i.
+ EDxPy > 0: 2 hàng hóa có quan hệ thay thế
+ EDxPy < 0: 2 HH có quan hệ bổ sung
+ EDxPy = 0: 2 HH không có mối quan hệ gì
7. Trình bày nội dung phương pháp xác định hệ số co dãn điểm.
8. Mất không là gì? Tại sao khi chính phủ can thiệp vào thị trường bằng
công cụ giá (giá trần, giá sàn), thì thường gây ra mất không cho xã hội?
Mất không (DWL): Là phần sụt giảm trong tổng lợi ích xã hội sau khi chịu
sự ảnh hưởng của áp dụng một chính sách nào đó.
* Giải thích: khi chính phủ can thiệp vào thị trường bằng công cụ giá (giá
trần, giá sàn), thì thường gây ra mất không cho xã hội.
- Khái niệm: Giá trần (PC) là mức giá tối đa mà chính phủ quy định được
phép giao dịch của một hàng hóa, dịch vụ trên thị trường.
- Mục đích : bảo vệ lợi ích cho người tiêu dùng
+) Giá trần đưa ra khi giá thị trường lên quá cao
+) giá trần phải thấp hơn giá thị trường
- Tác động của giá trần :
+) Giá trần thấp hơn giá thị trường sẽ giúp người tiêu dùng mua được hàng
hóa, làm cho một phần thặng dư sản xuất chuyển thành thặng dư tiêu dùng
=> có lợi cho người tiêu dùng
+) Làm lượng cung và cầu không cân đối với nhau , gây ra hiện tượng thiếu hụt
+)Làm giảm tổng lượng cung
+)Làm sản lượng hàng hóa lưu thông giảm từ Q0 đến Qs
+) Làm giảm tổng thăng dư của xã hội , gây DWL
9. Phân tích tác động của giá sàn trong 2 trường hợp: 1chính phủ không
mua hết số hàng hóa dư thừa và 2 trường hợp chính phủ mua hết số
hàng hóa dư thừa. Hãy so sánh tổn thất xã hội mà chính sách gây ra trong hai trường hợp.
Trường hợp 1: đưa ra giá sàn và để dư thừa
Trường hợp 2: đưa ra giá sàn và chính phủ mua lại lượng dư thừa
* Tính tại điểm E: trước khi áp dụng giá sàn Cs = 1,2,4 Ps= 3,5 ⇨ TSB=1,2,3,4,5
* Tính tại điểm I: sau khi áp dụng chính sách
Cs = 1 (vì lượng mua của chính phủ không tính vào tiêu dùng) Ps = 2,3,4,5,6
Lượng chính phủ bỏ ra: G= -(4,5,6,7) ⇨ TSBI = 1,2,3,- 7
sụt giảm TSB = 4,5,7 =DWL (2)
(1)(2) => DWL của trường hợp 2 nhiều hơn trường hợp 1.
10. Phân tích tác động của chính sách thuế đến kết quả hoạt động của thị
trường. So sánh hai trường hợp thuế đánh vào sản xuất và đánh vào tiêu
dùng. Nhân tố nào quyết định tỷ lệ phân chia gánh nặng thuế giữ người mua và người bán?
Đọc lại phần giá trần và giá sàn – gây ra DWL
Phân tích tác động của chính sách thuế đến kết quả hoạt động của thị trường:
- Phân tích: tác động làm thay đổi nhu cầu, đường cầu di chuyển sang trái,
dịch xuống dưới 1 khoảng bằng t. Trạng thái cân bằng mới có mức giá thấp
hơn và mức sản lượng cân bằng thấp hơn.
- Ảnh hưởng của thuế là: giảm thu mua của thị trường, người mua và người
bán đều chịu gánh nặng của thuế.
+ Đối với người bán: giá trị giảm xuống làm người bán thu được ít doanh thu
hơn so với lúc chưa có thuế à tiêu cực với người bán
+ Đối với người mua: giá mà người mua phải trả bị đội lên
Và TBS giảm, phần giảm đi là DWL
So sánh hai trường hợp thuế đánh vào sản xuất và đánh vào tiêu dùng 1. Giống: + Có sự phân bổ thuế
+ Thu hẹp quy mô thị trường + Đều gây ra DWL 2. Khác:
- Tác động của thuế đối với người mua:
+) NTD mua hàng hóa ít hơn tại mọi mức giá, làm đường cầu dịch chuyển sang trái D → Dt
+) Lúc này tại điểm cân bằng mới: P giảm, Q giảm giảm quy mô → thị trường
Tác động của thuế với người bán:
+) NSX sản xuất hàng hóa ít hơn tại mọi mức giá, làm đường cung dịch chuyển sang trái: S → St
+) Lúc này, tại điểm cân bằng mới: P tăng, Q giảm
Nhân tố quyết định tỉ lệ phân chia giữa người mua và người bán: độ co dãn của cả cung và cầu
TH1: EDP < ESP: gây ra gánh nặng thuế cho người tiêu dùng
TH2: EDP > ESP: gánh nặng thuế cho người sản xuất
TH3: EDP = ESP: gánh nặng sẽ bỏ đi
11. Tại sao thuế lại gây ra mất không (DWL)? Yếu tố nào xác định quy mô của mất không?
Thuế gây ra mất không (DWL) vì:
- Thị trường thừa phân bố các nguồn lực khan hiếm có hiệu quả, nghĩa là
trạng thái cân bằng cung cầu đối với tối đa hóa tổng
- Tác động của thuế: nếu thuế tác động trong lĩnh vực sản xuất, nó sẽ làm cho
cung giảm, đường cung dịch lên trên một khoảng đúng bằng t
Giả sử thuế đánh vào người tiêu dùng làm thay đổi lượng cầu, làm đường cầu
dịch xuống 1 khoảng bằng t
*Yếu tố xác định quy mô của mất không:
- Hệ số co dãn lớn & nhỏ:
+ HSCD lớn: đường cầu thoải, chênh lệch q0 – q1 lớn à DWL lớn
+ HSCD nhỏ: đường cung & đường cầu dốc à DWL nhỏ
12. Nếu đường cung hoàn toàn co dãn thì toàn bộ gánh nặng thuế do ai
gánh chịu? Nếu đường cung hoàn toàn không có dãn thì gánh nặng thuế ai chịu?
- Nếu đường cung hoàn toàn co dãn (đường cung nằm ngang) thì gánh nặng
thuế sẽ do người tiêu dùng gánh chịu. Khi thêm mức thuế vào, mức giá sẽ
tăng lên 1 khoảng đúng bằng t.
- Nếu đường cung hoàn toàn không co dãn (đường cung nằm dọc xuống) thì
giá sẽ không thay đổi dẫn đến gánh nặng thuế do người sản xuất gánh chịu
13. Nếu đường cung hoàn toàn không co dãn, chính phủ áp đặt mức giá tối
đa trên thị trường, liệu có gây ra mất không không? Tại sao?
- Nếu đường cung hoàn toàn không co dãn, chính phủ áp đặt mức giá tối đa
trên thị trường thì không gây ra mất không. - Vì: TBS không thay đổi
+ Không co dãn thì đường cung thẳng đứng
+ Mức giá tối đa (giá trần) đặt ở điểm dưới cân bằng E
+ So sánh điểm cân bằng E khi chưa đặt & đặt mức giá trần
+ Vẽ đồ thị chỉ ra TBS à thấy không có DWL
14.Phân tích tác động của biện pháp cấm sử dụng thuốc lá và biện pháp
khuyên người dân không nên sử dụng thuốc lá vì có hại cho sức khỏe, tác
động đến thị trường tiêu thụ thuốc lá của Việt nam trong ngắn hạn.
15. Được mùa lại là không tốt vì thu nhập của nông dân giảm, giải thích tại
sao? Biện pháp chính phủ đưa ra để giải quyết vấn đề này?
- Khi được mùa, lượng cung tăng => đường cung dịch chuyển sang phải
khiến điểm cân bằng thay đổi từ E đến E’ => giá thị trường giảm (1)
- Nông sản là hàng hóa thiết yếu => đường cầu dốc, hệ số co dãn nhỏ (2)
(1)(2) => Gía nông sản giảm rất nhiều nhưng lượng mua tăng ít khiến cho
tổng doanh thu giảm => Người nông dân không phấn khởi Chương 4:
1. Thực chất thặng dư tiêu dùng là gì? Cách xác định như thế nào? Phân
tích tác động của việc thay đổi giá ảnh hưởng đến thặng dư tiêu dùng như thế nào?
- Thặng dư tiêu dùng: Là chênh lệch giữa số tiền mà người tiêu dung sẵn
sàng trả cho một hàng hóa hoặc dịch vụ với số tiền mà họ thực sự trả cho nó
- Thực chất của thặng dư tiêu dùng là chênh lệch lợi ích cận biên (MU)
- Thặng dư tiêu dùng được xác định bằng diện tích phần nằm dưới đường
cầu và trên đường giá.
- Thặng dư tiêu dùng = giá trị đối với người mua - số tiền người mua trả
- Tác động của giá đến thặng dư:
o Ban đầu với mức giá P0 thặng dư tương ứng với hình 1
o Khi giá thay đổi giảm từ P0 đến P1 => Q0 tăng đến Q1 => thặng dư tiêu
dùng tăng lên thành diện tích 3 hình 1,2,3 Trong đó :
+ (2): Thặng dư tăng thêm của người tiêu dùng ban đầu do giá giảm xuống
+ (3): Thặng dư tiêu dùng của những người mua mới tham gia thị trường
+ (1): Thặng dư của người tiêu dùng ban đầu
2. Hãy dựa trên quy luật lợi ích cận biên giảm dần để giải thích tại sao
mỗi cá nhân có một đường cầu khác nhau (giải thích tại sao đường cầu dốc xuống).
Do quy luật lợi ích cận biên giảm dần: lợi ích cận biên của việc tiêu dùng
thêm một đơn vị hàng hóa, dịch vụ sẽ có xu hướng giảm dần
Khi tăng số lượng hàng hóa tiêu dùng đó trong quá trình lựa chọn.
Giá sẵn sàng mua trên đường cầu của mỗi cá nhân được xác định căn cứ vào
lợi ích cận biên mà mỗi đơn vị hàng hóa tiêu dùng them đem lại. căn cứ quy
luật lợi ích cận biên ta có thể xác định được đường cầu của mỗi cá nhân dốc xuống.
- Tại Q1 ta xác định P1 dựa vào điểm MU1, khi tăng sản lượng từ Q1 thành
Q2 ta xác định P2 dựa vào điểm MU2. Như vậy, đường cầu D sẽ tương ứng
với đường MU. Theo quy luật lợi ích cận biên giảm dần, đường MU dốc
xuống =>đường cầu dốc xuống
3. Đường bàng quan tại sao lại dốc xuống, hướng bề lõm lên trên? Bạn có
nhận xét gì về tỷ lệ thay thế tiêu dùng cận biên giữa hai hàng hóa trên đường bàng quan?
4. Đường ngân sách là gì? Tại sao đường ngân sách là đường thẳng.
- đường ngân sách là mô hình mô tả các kết hợp tiêu dùng X,Y khác nhau
mà người tiêu dùng có thể lựa chọn với cùng một mức ngân sách giống nhau.
- phương trình tổng quát: I=X.Px+Y.Py
- độ dốc = -Px Py => độ dốc phụ thuộc vào giá của X và Y . Giá 2
mặt hàng không đổi thì độ dốc giữ nguyên => đường ngân sách là đường thẳng
5. Trình bày cách lựa chọn tiêu dung tối ưu tiếp cận từ đường ngân sách
và đường bàng quan. Tại sao nguyên tắc lựa chọn tiêu dung tối ưu phải
thỏa mãn điều kiện tỷ lệ thay thế cận biên bằng tỷ lệ so sánh về giá của 2 hàng hóa?
1) - ng tiêu dùng quan tâm đến lợi ích nên ta dùng mô hình đường bàng quan
để mô tả mức lợi ích mà người tiêu dùng đạt được.
- ng tiêu dùng còn quan tâm đến ngân sách và giá cả nên ta phải
đưa ra mô hình đường ngân sách. - định nghĩa:
+ đường ngân sách: là mô hình mô tả các kết hợp tiêu dung X,Y khác nhau
mà người tiêu dùng có thể lựa chọn với cùng một mức ngân sách giống nhau
+ đường bàng quan: là đường mô tả những kết hợp hàng hóa tiêu dùng X,Y
khác nhau mà người tiêu dùng có thể lựa chọn để đạt được cùng 1 mức lợi ích như nhau.
- Cách lựa chọn kết hợp cả 2 mô hình:
+ tình huống 1:bài toán người nghèo - ưu tiên ngân sách
Đường ngân sách cố định,chọn điểm cao nhất của đường ngân sách giao với
đường bàng quan để đạt được lợi ích cao nhất với ngân sách không đổi,
chính là điểm tiếp xúc giữa đường bang quan và đường ngân sách (1)
+ tình huống 2:bài toán người giàu- ưu tiên lợi ích
Đường bàng quan cố định, chọn điểm thấp nhất của đường bang quan giao
với đường ngân sách để chi tiêu ngân sách ít nhất mà vẫn đạt được mức lợi
ích cố định, chính là điểm tiếp xúc giữa đường bàng quan và đường ngân sách (2)
(1)(2) => Chọn điểm lựa chọn tiêu dùng tối ưu chính là điểm tiếp xúc của
đường ngân sách và đường bàng quan.
2) Nguyên tắc lựa chọn tiêu dung tối ưu phải thỏa mãn điều kiện tỷ lệ thay
thế cận biên bằng tỷ lệ so sánh về giá của 2 hàng hóa vì: Tại điểm lựa chọn
tiêu dùng tối ưu độ dốc đường bàng quan và đường ngân sách bằng nhau: