Report tài liệu
Chia sẻ tài liệu
Bài tập tuần 1 - Môn Kỹ thuật điều khiển hệ thống. Môn Lý thuyết điều khiển tự động (UET) | Trường Đại học Công nghệ, Đại học Quốc gia Hà Nội.
Bài tập tuần 1 - Môn Kỹ thuật điều khiển hệ thống. Môn Lý thuyết điều khiển tự động (UET) | Trường Đại học Công nghệ, Đại học Quốc gia Hà Nội.
Tài liệu gồm 3 trang giúp bạn tham khảo, củng cố kiến thức và ôn tập đạt kết quả cao trong kỳ thi sắp tới. Mời bạn đọc đón xem!
Môn: Lý thuyết điều khiển tự động (UET) 17 tài liệu
Trường: Trường Đại học Công nghệ, Đại học Quốc gia Hà Nội 824 tài liệu
Tác giả:



Tài liệu khác của Trường Đại học Công nghệ, Đại học Quốc gia Hà Nội
Preview text:
lOMoAR cPSD| 58833082
Đinh Nhật Dương - 22026164 Bài tập tuần 1 1 H1= s
G=−2s−5 s +5s 1 H2=s+1 ● Hàm truyền tương đương: − 2
s +5s 10s+10 3 2 (s) G( ) U(s) 1 s 5
s +6s +5s+10 +1 s2+5 1+ s+1
Y(s)∗(s3+6s2+5s+10)=(10s+10)∗U(s)
● Biến đổi thành phương trình vi phân: (1) lOMoAR cPSD| 58833082 - Đặt biến:
x1=y x2=x1−β1r
x3=x2−β2r
x.3=−a2 x3−a1 x2−a0x + 1
β3r=¿❑−6x3−5x2−10x1+β3r¿ Khi đó: y=x1
y.=x.1=x2+β1 r❑❑
y..=x.2−β1 r.=x3+x2+β1r+β2 r.
y...=x.3+β2 r.+β1 r..=−6x3−5x2−10x1+β3 r+β2 r+β1r .. Thay vào VT của (1) có:
y...(t)+6 y..(t)+5 y.(t)+10 y(t)=−6x3−5x2−10x1+β3 r+β2r+β1 r..
+ (6x3+6β2r+6β1u.¿¿❑ + ¿ + 10x1
=β1r..+(β2+6β1)r. +β3+6β2+5β1¿r Với VT của (1) có :
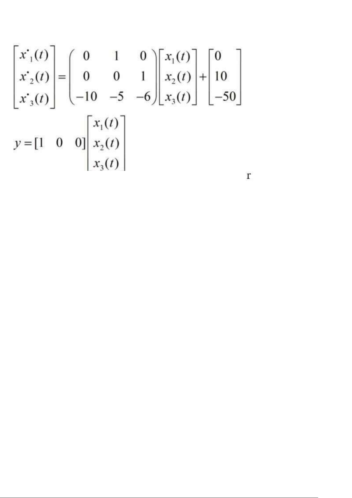
● Hệ phương trình trạng thái: x.1=x2
x.2=x3+10r
x.3=−10x1−5x2−6x3−50r
● Không gian trạng thái: lOMoAR cPSD| 58833082
Tài liệu liên quan:
-
Bài 12 - Ví dụ về Mô phỏng SIMULINK và Tín hiệu trong Hệ thống. Môn Lý thuyết điều khiển tự động (UET) | Trường Đại học Công nghệ, Đại học Quốc gia Hà Nội.
87 44 -
Bai9ltdktd - giải bài tập. Môn Lý thuyết điều khiển tự động (UET) | Trường Đại học Công nghệ, Đại học Quốc gia Hà Nội.
77 39 -
Btvntuan 3 - Đáp án Bài Tập Lý Thuyết Điều Khiển TD 2023. Môn Lý thuyết điều khiển tự động (UET) | Trường Đại học Công nghệ, Đại học Quốc gia Hà Nội.
84 42 -
Bài tập LTĐK Tuần 13: Phân Tích Hệ Thống và Biểu Đồ Bode. Môn Lý thuyết điều khiển tự động (UET) | Trường Đại học Công nghệ, Đại học Quốc gia Hà Nội.
82 41